| 金尾矿固化氯离子的机理研究 |  [PDF全文] | 
2. 江西理工大学 江西省矿业工程重点实验室,江西 赣州 341000;
3. 天津舜能世嘉环保科技有限公司,天津 300000;
4. 西安科技大学 化学与化工学院,陕西 西安 710054;
5. 上海艾彬建筑科技有限公司,上海 200190
2. Jiangxi Key Laboratory of Mining Engineering, Jiangxi University of Science and Technology, Ganzhou 341000, China;
3. Tianjin Sunenergy Sega Environmental Science & Technology Co. Ltd, Tianjin 300000, China;
4. School of Chemistry and Chemical Engineering, Xi'an University of Science and Technology, Xi'an 710054, China;
5. Shanghai Ibeam Building Technology Co., Ltd., Shanghai 201900, China
钢筋锈蚀是导致钢筋混凝土结构耐久性损伤的主要原因。研究表明[1, 2, 3],在混凝土呈碱性情况下,钢筋因氧化保护膜的存在不致锈蚀,但如果混凝土中游离氯离子含量较高,氯离子会强烈促进锈蚀反应、破坏保护膜、加速钢筋锈蚀,所以混凝土材料对氯离子的固化显得尤为重要。国内外学者在氯离子入侵混凝土过程[4]、矿物掺合料、胶凝材料矿物组成[5]、水化反应产物[6]等对氯离子的固化作用进行了研究,其中关于以矿物掺合料对氯离子固化的研究为最多[7, 8, 9],从矿物掺合料种类来讲,关于这方面研究较多的有粉煤灰、矿渣、煤矸石和钢渣等固废,初步研究表明这类材料掺入混凝土,可改善混凝土内部结构和工作性能,增进后期强度,提高混凝土耐久性和抗渗能力[10, 11]。以上研究普遍认为胶凝材料合理的使用矿物掺合料能有效的提升其力学性能和耐久性能,树立了矿物掺合料应用的典范,但对于不同掺合料组成的胶凝材料微观结构以及固化机理方面研究还相对缺乏,且矿物掺合料种类单一。2017年初,我国金矿资源储量为12 167 t,位居世界第二[12],金矿资源的开采便造成了大量难处理堆存的尾矿,给我国环境治理加大了负担,由于金尾矿的胶凝活性低、含泥量大和技术等问题,还不能像矿渣、粉煤灰、煤矸石等固废有效利用,目前金尾矿大多都是重新回收金,或制备陶粒、免烧砖,作水泥混合材等[13]。基于矿物掺合料是以活性SiO2、Al2O3为组分和具有胶凝活性的粉体材料,具有潜在水硬性、火山灰活性[14]。本文根据其他固废处理方法和利用途径,充分利用金尾矿高硅高铝的特性,运用机械力活化和高温煅烧方式激发尾矿中活性SiO2、Al2O3以及其他活性矿物成分,研究不同活化方式金尾矿单掺情况下水泥材料对氯离子的固化能力及固化机理,为尾矿作矿物掺合料在混凝土耐久性方面的合理利用提供资料。
1 试验原料及方法 1.1 试验原料(1) 金尾矿:试验所用金尾矿取自陕西山阳秦鼎矿业有限公司大洞沟尾矿库,尾矿粒径集中分布在20~200 μm之间,0.15 mm以下产率为75.24%,其化学成分见表 1。由表 1可知尾矿主要成分是SiO2,含量高达80.74%,其次是Al2O3、CaO、MgO等成分,属高硅型类矿物材料。从图 1可以看出金尾矿主要矿物组成为石英、白云石、方解石以及少量高岭石和斜长石。
| 表 1 原材料的化学成分 /% Table 1 Chemical compositions of raw materials | 
|  | 
|  | 
| 图 1 金尾矿的XRD的图谱 Fig.1 XRD pattern of gold tailings | 
(2) 水泥:采用P.I 42.5硅酸盐基准水泥,水泥的化学成分见表 1,比表面积为338 m2/kg,标准稠度用水量为25.2%,初凝时间为138 min,终凝时间为215 min。
(3) 砂:采用ISO标准砂。
(4) 水:蒸馏水。
1.2 试验方法 1.2.1 试样制备(1) 机械粉磨:称取-0.15 mm金尾矿5 kg装入SMΦ500 mm×500 mm型球磨机,进行不同程度的粉磨,粉磨时间分别为15、30、45、60、75 min。
(2) 高温煅烧:将粉磨60 min后的金尾矿放入马弗炉中在300、450、600、750、900 ℃温度环境下分别热活化处理1 h,取出后自然冷却备用。
(3) 净浆及砂浆试块的制备:选择不同活化方式的金尾矿粉按表 2配合比,制备30 mm×30 mm×50 mm的净浆试样及40 mm×40 mm×160 mm砂浆试块,水溶液中Cl-浓度为0.5 mol/L,成型后放入温度为(20±1)℃,湿度不低于90%的标准养护箱,养护24 h后拆模并继续进行标准养护至规定养护龄期。
| 表 2 水泥净浆及砂浆配合比 Table 2 Mix proportions of cement paste and cement mortar | 
|  | 
1.2.2 测试
胶砂试块力学性能测试按照GB/T 17671—1999《水泥胶砂强度检验方法(ISO法)》,采用YAW-3000型微机控制电液伺服压力试验机测试。净浆样品处理参照《JTJ 270—98水运工程混凝土试验规程》,将相应龄期试样敲碎放入无水乙醇中浸泡7 d以终止水化,然后置于105±5 ℃烘箱中烘2 h。取样约30 g研磨至全部通过0.63 mm筛,最后放入干燥皿内备用。准确称取20 g(精确到0.01 g)置于三角烧瓶中,加入200 mL蒸馏水,剧烈震荡2 min,浸泡24 h后取滤液。
胶凝材料净浆试样固化体对Cl-的固化能力用固化量RCl=Ct-Cf表征,样品中Cl-总含量Ct由制样过程中掺含Cl-的水溶液确定,本试验净浆样品中Cl-总含量7.091 mg/g,试样中游离Cl-含量Cf按《JTJ 270—98水运工程混凝土试验规程》滤取法计算,公式如下:
| $ {C_f} = \frac{{{M_{{\text{AgN}}{{\text{O}}_3}}} \times {V_{{\text{AgN}}{{\text{O}}_3}}} \times 35.453}}{{G \times \frac{{{V_3}}}{{{V_4}}}}} $ | (1) | 
式中:Ct—试样中氯离子总量,7.091 mg/g;Cf—游离氯离子量,mg/g;MAgNO3—滴定用的硝酸银的摩尔浓度,0.02 mol/L;VAgNO3—滴定时试样所消耗的硝酸银体积,mL;V3—测定时提取滤液量,mL;V4—浸样时所加蒸馏水量,mL;G—样品质量,g。
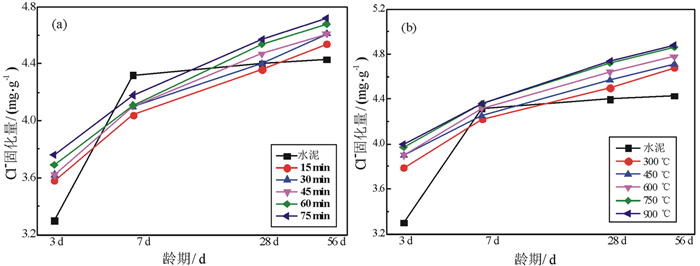
2 试验结果与讨论 2.1 活化工艺对胶凝材料性能影响图 2和图 3分别为由金尾矿粉组成的胶凝材料固化氯离子量和抗压强度图。
|  | 
| 图 2 不同胶凝材料固化Cl-能力图 Fig.2 Curing ability of different cementing materials to Cl- (a)掺入机械力活化金尾矿粉;(b)掺入复合活化金尾矿粉 | 
|  | 
| 图 3 不同胶凝材料抗压强度 Fig.3 Compressive strength of different cementitious materials (a)掺入机械力活化金尾矿粉;(b)掺入复合活化金尾矿粉 | 
从图 2(a)中可以看出,粉磨金尾矿粉的掺入改善了水泥材料对氯离子的固化能力,固化能力随金尾矿粉细度的提升而增大,氯离子固化量曲线呈平缓增涨趋势。在3 d龄期,水泥材料对氯离子的固化能力高于纯水泥,说明金尾矿粉初始对Cl-就有一定的固化能力,金尾矿粉可能对其产生了吸附作用[15]。然而7 d龄期时,固化效果不如纯水泥,但随着水化反应的进行,金尾矿粉的作用在水化反应后期得以发挥,从图中可以看出含金尾矿粉的水泥材料在28 d和56 d龄期时对氯离子的固化高于纯水泥,且固化还在继续发展,对水泥材料固化氯离子做出贡献。
从图 2(b)中可以看出,水泥材料对Cl-固化量随着热活化温度的升高而增加,从300~750 ℃氯离子固化量逐渐增加,温度从750~900 ℃氯离子固化趋势平缓。与掺机械粉磨方式活化的金尾矿粉相比,水泥材料各龄期对氯离子的固化进一步提升。此时28 d龄期氯离子固化量与纯水泥相比从4.40 mg/g提升到了4.72 mg/g,而纯水泥材料28 d龄期固化量(4.40 mg/g)与56 d龄期几乎无差异。以上证实了经活化后的金尾矿粉具有一定的火山灰活性,在水泥材料中参与反应,对氯离子的固化起到了很好的促进作用。说明在机械粉磨的基础上采用热活化能更好的发挥尾矿粉的反应活性,使得水泥材料对氯离子固化量提升幅度更大,尤其体现在水化反应后期。另从图 3金尾矿的胶凝活性反应图中也可得出:通过复合活化工艺使得金尾矿粉反应活性增加明显,尤其是热活化条件为750 ℃时,胶砂块抗压强度达40.2 MPa最大值,温度再升高又使得活性降低。
2.2 XRD分析图 4中(a)和(b)为由不同活化方式金尾矿胶凝材料不同龄期水化产物XRD分析图谱。
|  | 
| 图 4 不同龄期胶凝材料水化产物XRD图 Fig.4 XRD patterns of hydration products of cementitious materials at various ages | 
由图 4可知,在3 d龄期物相分析中,在2θ为25°~35°的角度范围内,从峰的特征可以判断出对应的主要矿物有钙矾石(AFt)、水化硅酸钙(C-S-H),说明水泥熟料中的铝酸三钙(C3A)、铁铝酸四钙(C4AF)及石膏中的CaSO4共同参与水化反应,在早期水化产物中就大量的生成了这类含非晶态成分多和结晶程度差的矿物,因此出现图谱中宽泛的凸包背景现象,在其衍射角度看到有钙矾石(AFt)、水化硅酸钙(C-S-H)的衍射峰。随着水化过程的进行,掺活化金尾矿粉的胶凝材料固化体在后期出现Friedel盐的衍射峰增强,表明水泥材料中C3A、C4AF等矿物与氯离子化学结合生成的Friedel盐数量增多,活化尾矿粉的掺入促进了Friedel盐的生成[16, 17],同时从水化龄期图对比可以看出,水化反应后期氢氧化钙(CH)特征衍射峰强度降低,水化硅酸钙凝胶(C-S-H)增多,这是由于金尾矿粉中的活性氧化硅、氧化铝在碱性环境下的火山灰活性得以激发,二次水化反应消耗氢氧化钙(CH)的缘故。硅酸钙凝胶(C-S-H)增多的同时也使得带电荷胶粒比表面积增大,增强了对氯离子的物理吸附作用[18, 19],从而使固化氯离子性能优于纯水泥,这与图 2中不同的胶凝材料对氯离子固化量随不同活性尾矿粉的掺入而变化的现象相吻合。
2.3 FT-IR分析图 5为含金尾矿粉胶凝材料试样与空白试样3 d和28 d水化产物FT-IR分析对比图。
|  | 
| 图 5 不同龄期胶凝材料水化产物FT-IR图谱 Fig.5 FT-IR patterns of hydration products of cementitious materials at various ages | 
由图 5可知,含金尾矿粉试样与水泥试样各龄期在1 000 cm-1以下存在差异,其余图谱大致相同。从图(a)和图(b)可以看出,随着水化程度的加深,吸收峰的位置逐渐在向波数低的方向偏移,并且吸收峰在逐渐增强,这说明金尾矿粉中矿物颗粒的硅氧四面体在逐渐解离,生成更多聚合度高的硅酸钙(C-S-H)凝胶和钙矾石(AFt)等产物。28 d龄期图中掺热活化金尾矿粉吸收峰的伸缩振动频率变缓,逐渐变锐,这说明净浆试样硬化体系中的硅酸盐矿物更加复杂化和C-S-H凝胶、AFt产物量的增多。28 d龄期图中3 644 cm-1位置附近吸收峰为氢氧化钙的O-H伸缩振动,3 432 cm-1和1 640 cm-1位置吸收峰为H2O的弯曲振动,说明自由水参与水化反应生成凝胶或含结晶水的物质,1 425 cm-1为水化产物C-S-H凝胶的一个吸收峰,1 000 cm-1附近Si—O(Al)的非对称伸缩振动[20],不同聚合度的硅氧四面体基团中的Si-O伸缩振动频率随聚合度的增加而增大。掺活化尾矿粉波峰数为954 cm-1和964 cm-1,而纯水泥相应位置的波峰数为943 cm-1,在798 cm-1附近出现了凸显吸收峰,而水泥试样中没有,分析认为,该吸收峰为钙矾石中Si-O的弯曲振动,这是金尾矿粉中含石英的矿物,这说明随着水化龄期延长,金尾矿粉中更多的Si-O键断裂,键能降低,金尾矿粉充分参与反应,生成更多的AFt和C-S-H。964 cm-1处出现的是硅酸盐、Si-O键及C-S-H凝胶吸收峰[21]。综合分析,掺活化尾矿粉胶凝材料的水化产物中硅酸盐结构复杂,有较多能吸附氯离子的C-S-H凝胶和AFt产物,同时丰富的水化产物对浆体起到很好的充填作用,提高其密实性,从而降低游离氯离子在孔隙中的传输效率,使得硬化浆体对氯离子具有很好的固化作用,这可能是改善水泥材料对氯离子固化能力的因素。
2.4 扫描电镜分析图 6为掺不同活化工艺金尾矿粉胶凝材料与纯水泥3 d和28 d净浆试样的SEM照片对比图。
|  | 
| 图 6 胶凝材料的SEM照片 Fig.6 SEM photos of cementitious materials 水泥3 d(a)和28 d(b);掺入机械力活化金尾矿粉3 d(c)和28 d(d);掺入复合活化金尾矿粉3 d(e)和28 d(f) | 
从图 6(b)28 d龄期图中可以看出纯水泥净浆试样有片状的Ca(OH)2存在,而掺活化尾矿粉的(d)和(f)图中未发现,这是由于尾矿粉原料中的活性组分参与二次水化,火山灰效应得以充分发挥的缘故,另从XRD分析图中也可发现Ca(OH)2衍射峰减弱强度随水化龄期延长而减弱。图(d)中可隐约观察到针棒状钙矾石与硅酸钙凝胶相互穿插交织,未反应的尾矿细颗粒起填充作用,相比之下掺机械活化尾矿粉的净浆试样孔隙结构比纯水泥净浆试样更加完善。图(f)中则发现大量絮状硅酸钙凝胶聚集,并完全将钙矾石晶体完全包覆,分析认为热活化的尾矿粉活性增强,粉体中活性SiO2、Al2O3量增多,更加促进了二次水化作用,使得掺金尾矿粉的胶凝材料浆体结构改善,孔隙率降低,孔结构细化和密实性更加优良,共同形成了一个密实而完整硬化浆体体系,从而促进了胶凝材料净浆试样对氯离子的固化作用,胶砂块力学性能增强也侧面证实了这一现象。另水化产物中有更多的能吸附氯离子的C-S-H凝胶,以及未完全参与反应的金尾矿中活性组分也对Cl-有一定的吸附作用[15],同时活性尾矿粉参与反应对C3A、C4AF与氯离子结合生成Friedel盐提供了条件,增强了对Cl-的固化作用。
3 结论(1) 水泥材料中掺复合活化金尾矿粉胶凝材料固化Cl-效果显著,初始对Cl-就有一定物理固化能力,也对水泥材料中C3A、C4AF的矿物与氯离子化学结合生成Friedel盐具有重要的促进作用。
(2) 通过750 ℃条件下热活化粉磨60 min处理含硅铝原料丰富的金尾矿,激发其潜在活性,使矿物中的活性SiO2、Al2O3粉体组分增多,有效的提高了活性尾矿粉二次水化作用。
(3) 掺复合活化工艺金尾矿粉的胶凝材料,其水化产物有更多能吸附氯离子水化产物硅酸钙凝胶(C-S-H)和钙矾石(AFt)矿物,在试样密实度提升的同时,其固化氯离子的能力也提升。
| [1] | 
        Michael D A T, Phil B B. Modelling cholride diffusion in concrete effect of fly-ash and slag[J]. Cement and Concrete Research, 1999(29): 487-495.     | 
| [2] | 
        Tang L, Nilsson L O. Chloride binding capacity and binding isotherms of OPC pastes and mortars[J]. Cement and Concrete Research, 1993, 23(2): 247-253. DOI:10.1016/0008-8846(93)90089-R     | 
| [3] | 
    胡融刚. 钢筋/混凝土体系腐蚀过程的电化学研究[D]. 厦门: 厦门大学, 2004.                    http://dspace.xmu.edu.cn/handle/2288/35173
 | 
| [4] | 
    梁哲兵. 氯离子入侵水泥基材料过程分析[D]. 天津: 河北工业大学, 2012.                   
 | 
| [5] | 
    Zibara H. Binding of external chloride by cement pastes[D]. Toronto: University of Toronto, 2001.     
 | 
| [6] | 
    勾密峰, 管学茂, 张海波. 钙矾石结合氯离子能力的研究[J].  材料导报, 2013, 27(5): 136-139.         | 
| [7] | 
    余红发, 翁智财, 孙伟. 矿渣掺量对混凝土氯离子结合能力的影响[J]. 硅酸盐学报, 2007, 35(6): 801-806. DOI:10.3321/j.issn:0454-5648.2007.06.028         | 
| [8] | 
    刘斌云, 李凯, 赵尚传. 复掺粉煤灰和硅灰对混凝土抗氯离子渗透性和抗冻性的影响研究[J]. 混凝土, 2011(11): 83-85. DOI:10.3969/j.issn.1002-3550.2011.11.025         | 
| [9] | 
    胡红梅, 马保国. 矿物功能材料改善混凝土氯离子渗透性的试验研究[J].  混凝土, 2004(2): 16-20.         | 
| [10] | 
    谢友均, 马昆林, 龙广成, 等. 矿物掺合料对混凝土中氯离子渗透性的影响[J]. 硅酸盐学报, 2006(11): 1345-1350. DOI:10.3321/j.issn:0454-5648.2006.11.011         | 
| [11] | 
    胡红梅. 矿物功能材料对混凝土氯离子渗透性影响的研究[D]. 武汉: 武汉理工大学, 2002.                    http://cdmd.cnki.com.cn/Article/CDMD-10497-2002110737.htm
 | 
| [12] | 
    中国地质调查局. 中国矿产资源报告(2017)亮点纷呈[N]. 中国矿业报, 2017-09-29(002).                   
 | 
| [13] | 
    谭明洋, 吕宪俊, 姜梅芬, 等. 某金矿尾矿用作水泥混合材的试验研究[J].  黄金, 2015, 36(4): 78-82.         | 
| [14] | 
        Ye D D, He W, Li Z, et al. Functional substitution of coordination polyhedron in crystal structure of silicates[J]. Science in China, Ser. D, 2002, 45(8): 702-708. DOI:10.1007/BF02878427     | 
| [15] | 
    勾密峰, 管学茂. 水泥基材料固化氯离子的研究现状与展望[J].  材料导报, 2010, 24(6): 124-127.         | 
| [16] | 
    曹青, 谭克锋. 水泥基材料氯离子固化能力的研究[J]. 武汉理工大学学报, 2009, 31(6): 24-27. DOI:10.3963/j.issn.1671-4431.2009.06.007         | 
| [17] | 
        Aryac, Buenfeld N R, Newman J B. Factors influencing chloride binding in concrete[J]. Cem Concr Res, 1990, 20(2): 291-300. DOI:10.1016/0008-8846(90)90083-A     | 
| [18] | 
        Zibara H, Hooton R D. Influence of the C/S and C/A ratios of hydration products on the chloride ionbinding capacity of lime-SF and lime-MK mixtures[J]. Cem Concr Res, 2008, 38: 422. DOI:10.1016/j.cemconres.2007.08.024     | 
| [19] | 
    王晓刚, 史才军, 何富强, 等. 氯离子结合及其对水泥基材料微观结构的影响[J].  硅酸盐学报, 2013, 41(2): 187-198.         | 
| [20] | 
        Hanna R A, Barrie P J, Cheeseman C R, et al. Solid state Si and 27Al NMR and FTIR study of cement pastes containing industrial wastes and organics[J]. Cem Concr Res, 1995, 25(7): 1435. DOI:10.1016/0008-8846(95)00138-3     | 
| [21] | 
        Yu P, Kirkpatrick R J, Poe B, et al. Structure of calcium silicate hydrate (C-S-H):nearmid and farinfrared spectroscopy[J].  Journal of the American Ceramin Society, 1999, 82(3): 742-748.     | 
 2018
 2018 

