氢原子钟是天文卫星的核心部件[1-2],它的高精密计时器和时间频率标准[3-4]广泛用于空间天文卫星以及守时授时[5]、同步通讯[6]、火箭和导弹发射[7]、舰艇导航[8]等领域。为了氢原子钟更适合在天文领域的应用,它的轻量化、小型化十分必要[9]。目前,氢原子钟的小型化研究主要集中在物理系统和真空系统上[10-11],而对吸氢系统的轻量化,却少有研究。目前氢原子钟的吸氢材料大多为多孔钛,激活温度在800 ℃以上,质量在1 kg左右,不利于氢原子钟的轻量化发展。
1 氢原子钟氢源系统氢原子钟的工作原理如图 1。氢气由氢源产生,经过镍管提纯器纯化后进入高频振荡器和选态器,分裂成F=1, m=0; F=1, m=1; F=0, m=0和F=1, m=-1 4个能级,其中F=1, m=0和F=1, m=1态的原子汇聚到储存泡中,与谐振腔内的辐射场发生作用而跃迁。通过检测跃迁产生的固定频率(1.424 057 51 GHz) 可实现高精度计时[12-14]。
|
| 图 1 氢原子钟的工作原理 Fig. 1 The principle of hydrogen atomic clock |
在氢原子完成能级跃迁后,不同能级的氢原子需要尽快被吸氢材料吸收,以保持跃迁的连续性,实现氢原子钟的不间断计时[15-16]。目前国内氢原子钟的吸氢系统采用多孔钛材料,吸氢速度慢,吸氢量低,不利于降低氢原子钟的质量[17]。因此,研究一种适合用于氢原子钟的新型吸氢合金具有重要意义。
2 试验方法首先按照设计的成分配置一系列Zr56.97V35.85Fe7.18-xCrx (x为原子百分比,x=0, 3.59和7.18) 合金,原料为纯度99.99%以上的Zr,V,Fe和Cr。在非自耗真空电弧熔炼炉中熔炼成15 g的纽扣锭,每个锭子翻身熔炼6次,同时电磁搅拌,保证合金成分均匀。随后在真空度高于10-3 Pa条件下对样品进行均匀化退火处理,退火工艺为1 273 K×16 h。之后将样品打磨、切割,经过酸洗和丙酮清洗,去除表面的氧化皮。处理后的样品放置在真空箱内保存,用于后续的分析测试。
我们在压力-容量-温度(P-C-T) 平台上进行合金的吸氢动力学性能测试,系统的极限真空度可达5×10-5 Pa。测试前,样品需要进行激活和活化[18]。激活过程:首先将样品装入样品室,将系统抽真空至3×10-4 Pa以下,随后将样品室加热至773 K,保温30 min后冷却至室温,完成激活过程。压力-容量-温度曲线测试前的活化过程:装入样品,将样品室抽真空至3×10-4 Pa以下,在573 K保温4 h,充入0.09 MPa氢气,使合金充分吸氢。重复以上步骤,直至合金完全活化。
3 结果与讨论 3.1 合金的相结构分析图 2是Zr56.97V35.85Fe7.18-xCrx (x=0, 3.59和7.18) 的X射线衍射仪图谱。从图 2可以看出,在Cr含量从0变化到7.18的过程中,合金的相结构没有发生变化,主要由α-Zr和C15-ZrV2两相组成,两相均为吸氢相。对合金的晶体结构参数进行计算[19]发现,C15-ZrV2相的晶胞体积随着Cr含量的增加逐渐增大,这是由于Cr原子的半径(0.185 nm) 大于Fe原子的半径(0.172 nm),在固溶体中增加大原子半径的元素含量时,晶格常数增大。合金原子之间的间隙变大,使氢原子的扩散加快,提高了吸氢速率。
|
| 图 2 Zr-V-Fe-Cr合金吸氢前X射线衍射仪图谱 Fig. 2 XRD pattern before hydrogen absorption of Zr-V-Fe-Cr alloy |
图 3为Zr56.97V35.85Fe7.18-xCrx合金在扫描电子显微镜2 000倍下图像。从扫描照片可以看出,合金主要由白色类层片状组织和黑色板条状组织构成,其中白色类层片状组织弥散分布在黑色板条状组织基体中。合金在吸氢时,晶界可以作为氢原子扩散的通道,加快吸氢速率[20]。
|
| 图 3 Zr56.97V35.85Fe7.18-xCrx合金的扫描电子显微镜图。(a) x=0; (b) x=3.59; (c) x=7.18 Fig. 3 SEM image of Zr56.97V35.85Fe7.18-xCrx alloy. (a) x=0; (b) x=3.59; (c) x=7.18 |
随后我们对图中的黑色区域A和白色区域B进行能谱分析,结果如表 1。表 1列举了Zr56.97V35.85Fe7.18-xCrx (x=0, 3.59和7.18) 合金中白色片层状组织(B区域)和黑色固溶体相(A区域) 的化学成分。黑色区域A由少量Zr元素、V元素、Fe元素和Cr元素组成,为初生的ZrV2固溶体相。白色区域B大多是Zr元素,含有少量V元素,可以判断类层片状组织为α-Zr和ZrV2的不规则共晶组织。能谱结果表明,V,Cr和Fe主要分布在黑色区域C15-ZrV2相中,有少量的V在白色区域内,而Zr在白色区域较多形成α-Zr相,黑色区域只有少量分布。
| Alloy | Region | Zr | V | Fe | Cr |
| x=0 | A | 36.67 | 52.84 | 10.49 | 0 |
| B | 98.14 | 1.86 | 0 | 0 | |
| x=3.59 | A | 36.94 | 52.70 | 7.64 | 2.72 |
| B | 96.93 | 3.07 | 0 | 0 | |
| x=7.19 | A | 38.91 | 54.63 | 0 | 6.47 |
| B | 97.05 | 2.95 | 0 | 0 |
由X射线衍射仪和扫描电子显微镜的检测结果可知,合金由α-Zr相和C15-ZrV2相组成,其中黑色区域为ZrV2固溶体相,白色区域为α-Zr和ZrV2的不规则共晶组织,与典型的共晶凝固组织相吻合。
3.3 合金的储氢性能合金吸氢的动力学特性通常用最大吸氢量90%所用的时间(t0.9) 来表示。图 4为Zr56.97V35.85Fe7.18-xCrx (x=0, 3.59和7.18) 合金在298 K时的吸氢动力学曲线。对该系列合金的吸氢动力学性能研究发现,随着Cr含量增加,合金的吸氢动力学性能逐步提升。Cr含量分别为0,3.59和7.18时,吸氢合金的t0.9分别为90 s,40 s和25 s。
|
| 图 4 Zr56.97V35.85Fe7.18-xCrx (x=0, 3.59和7.18) 合金在298 K时的吸氢动力学曲线 Fig. 4 Hydrogen absorption kinetics curve of Zr56.97V35.85Fe7.18-xCrx (x=0, 3.59 and 7.18) alloy at 298 K |
结果表明,随着Cr含量的增加,Zr56.97V35.85Fe7.18-xCrx (x=0, 3.59和7.18) 系列合金的吸氢动力学性能逐步提升。主要原因有两点:(1) 晶胞体积增大,晶格间隙尺寸增大,导致氢原子占据间隙位置时产生的阻力减小,氢原子在拉弗斯(Laves) 相中的四面体间隙位置处的结合能降低,从而减弱了吸氢过程中对氢原子的束缚,降低扩散激活能,进而改善吸氢动力学过程;(2) 在拉弗斯相中Cr与Zr未成对电子之间较强的交互作用,减弱了Cr对已解离氢原子的结合,降低了氢气分子在拉弗斯相表面的解离能,从而有利于氢气在吸氢合金表面的吸附过程,提升吸氢动力学性能[21-22]。
合金的氢容量随着Cr含量的增加而提高,质量分数从2.19%逐渐增大到2.24%。氢容量与合金晶格内空余的间隙有关[23]。如前所述,Zr56.97V35.85Fe7.18-xCrx合金的晶胞体积随着Cr含量的增加而增大,合金中吸氢相的间隙变大,吸氢相能储存更多的氢原子,所以随着Cr含量的增加,氢容量逐渐提高。
为了使合金达到最佳的活化效果,Zr56.97V35.85Fe7.18-xCrx (x=0, 3.59和7.18) 合金经过773 K、30 min激活后分别进行1次、2次、3次加氢活化,结果如图 5。从图 5可以看出,Zr-V-Fe-Cr合金经过773 K,30 min激活后,在第1次吸氢时的吸氢速率较慢。经过一次吸放氢循环后,第2次加氢时,吸氢速率得到明显改善,在很短时间内吸氢饱和。从曲线可以看出,Zr-V-Fe-Cr合金经过两次吸放氢循环后的吸氢速率和一次吸放氢循环后的吸氢速率一致,从而得出合金经过两次吸放氢循环后的处理效果与一次吸放氢循环后的效果相同,即合金经过一次吸放氢循环后吸氢效果最佳。因此,Zr56.97V35.85Fe7.18-xCrx合金的最佳处理条件应为773 K,30 min的条件下真空加热,再进行1次吸放氢循环。
|
| 图 5 Zr56.97V35.85Fe7.18-xCrx吸氢合金的活化性能曲线。(a) x=0; (b) x=3.59; (c) x=7.18 Fig. 5 Activation Curve of Zr56.97V35.85Fe7.18-xCrx. (a) x=0; (b) x=3.59; (c) x=7.18 |
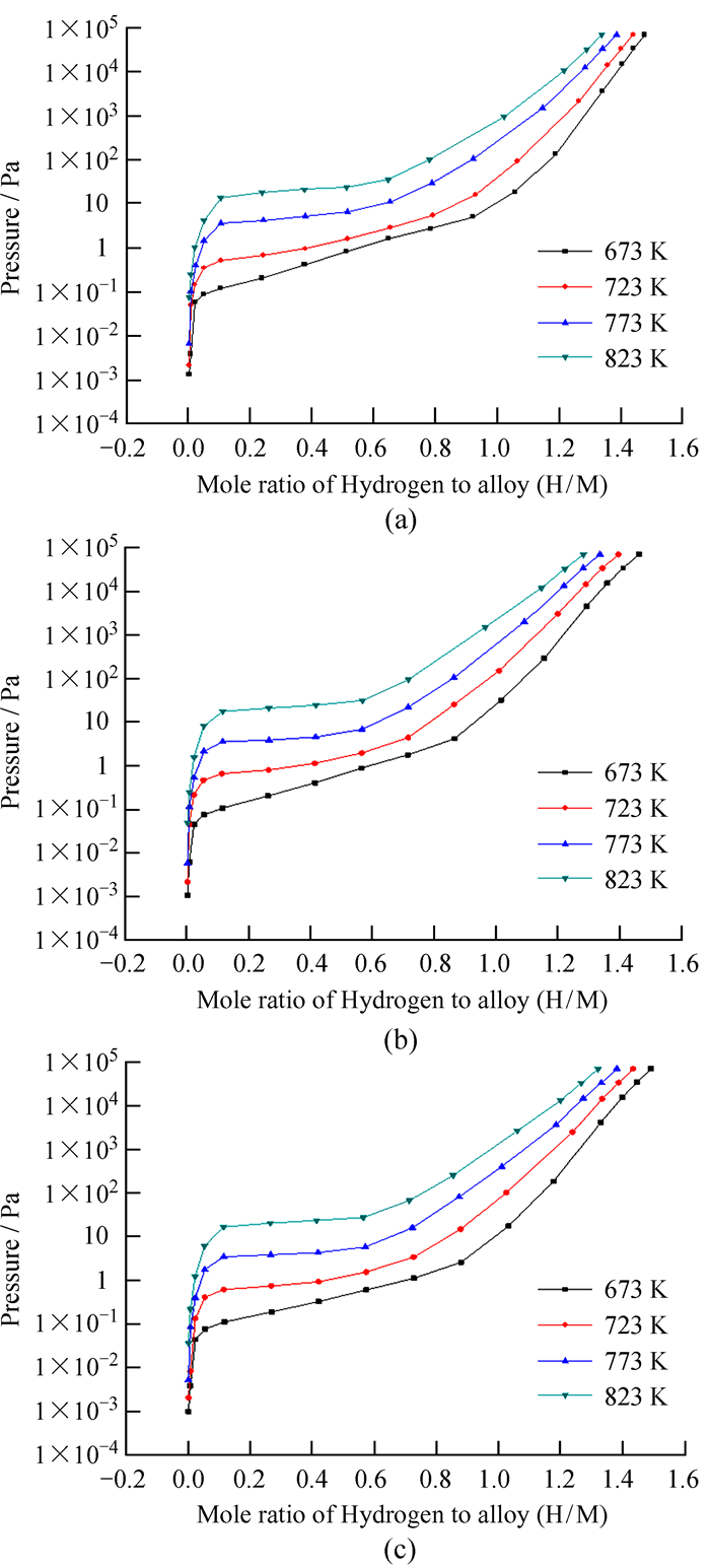
图 6给出了Zr-V-Fe-Cr系列合金样品在673 K,723 K,773 K和823 K条件下的吸氢压力-容量-温度曲线。其中横坐标是氢含量(H/M),纵坐标为平衡时氢气的压力。从图 6可以看出,随着温度上升,平台压逐渐上升。压力-容量-温度曲线中的α相阶段为0~0.1 (H/M),合金形成α固溶体的阶段非常短暂,在这个阶段主要是氢气吸附在合金表面以及氢逐渐进入合金间隙形成固溶体的过程。在此过程中,合金的表面形状和组织形貌不发生变化,合金硬度提高,不会发生粉化现象。压力-容量-温度曲线中的(α+β) 相阶段为0.1~0.7 (H/M),在这个阶段,α相逐渐转变为β相,此时合金晶胞参数逐渐增大,合金生成氢化物相并逐渐粉化。当大于0.7 (H/M) 时,随着氢含量的增加,β相逐渐接近化学计量组成,此时主要是氢原子在金属氢化物晶胞中的内扩散过程[24]。
|
| 图 6 Zr56.97V35.85Fe7.18-xCrx合金在不同温度下的吸氢压力-容量-温度曲线。(a) x=0; (b) x=3.59; (c) x=7.18 Fig. 6 P-C-T curves of Zr56.97V35.85Fe7.18-xCrx alloy at different temperatures. (a) x=0; (b) x=3.59; (c) x=7.18 |
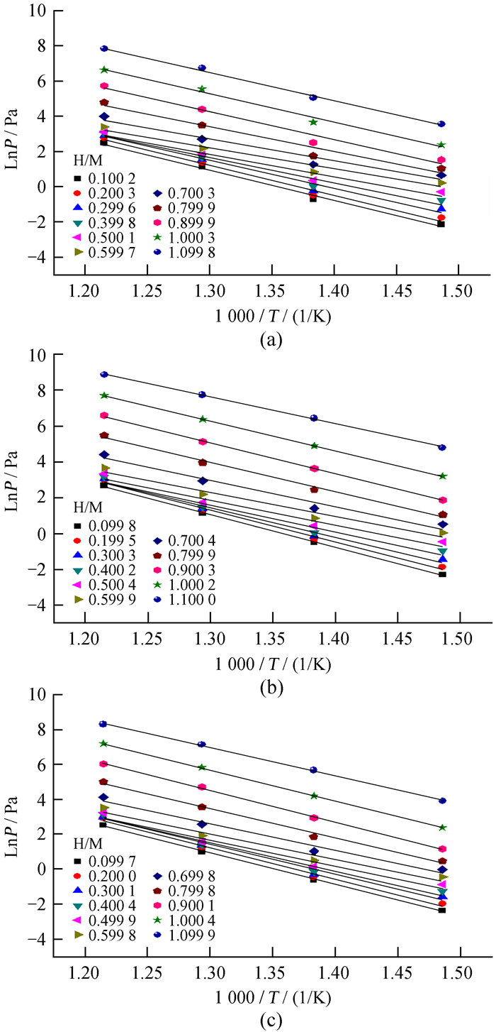
随后对Zr56.97V35.85Fe7.18-xCrx系列合金选取一组吸氢量下不同实验温度时的平衡压力,以LnP为纵坐标,1 000/T为横坐标做图,如图 7。由图 7可知,合金热力学拟合具有良好的线性相关性。
|
| 图 7 Zr56.97V35.85Fe7.18-xCrx系列合金吸氢范特霍夫拟合曲线。(a) x=0; (b) x=3.59; (c) x=7.18 Fig. 7 Van′t Hoff fitting curve of Zr56.97V35.85Fe7.18-xCrx alloy. (a) x=0; (b) x=3.59; (c) x=7.18 |
根据拟合线的斜率和截距可以得到焓变ΔHΘ和熵变ΔSΘ,范特霍夫(Van′t Hoff) 方程[25]为
| $ {\mathop{\rm In}\nolimits} \left( {{P_{{\rm{eq}}}}} \right) = \frac{{\Delta {H^\Theta }}}{{RT}} - \frac{{\Delta {S^\Theta }}}{R}, $ | (1) |
其中,Peq为系统平衡压;T为热力学温度;R为气体常数;ΔHΘ和ΔSΘ分别为标准摩尔焓和摩尔熵。根据合金的压力-容量-温度曲线和范特霍夫方程可以得出,随着Cr含量的提高,合金的室温平衡压从10-10 Pa量级降低到10-13 Pa量级,合金氢化物的稳定性逐渐提高。
4 结论(1) Zr56.97V35.85Fe7.18-xCrx (x=0, 3.59和7.18) 系列合金由α-Zr相和C15-ZrV2相组成。随着x增大,C15-ZrV2相的晶胞体积逐渐增大,合金的吸氢动力学性能逐步提升,t0.9由90 s逐渐提高到25 s。主要原因是晶胞体积增大降低了扩散激活能,合金吸氢量的质量分数从2.19%逐渐增大到2.24%。
(2) 合金达到最佳吸氢性能的处理工艺为773 K,30 min条件下真空加热,再进行1次吸放氢循环。
(3) 从压力-容量-温度曲线计算得出,在较宽的(α+β) 两相区域,随着Cr含量增加,室温平台压总体呈现逐渐下降趋势。主要是因为随着Cr含量增加,晶胞体积增大,导致氢原子占据间隙位置时产生的阻力减小,从而使合金吸氢平台压下降,氢化物稳定性提高。
| [1] |
帅涛, 谢勇辉. 导航卫星星载氢原子钟[J]. 科学, 2016, 68(5): 11–15 SHUAI T, XIE Y H. Hydrogen atomic clock for navigation satellite[J]. Science, 2016, 68(5): 11–15. |
| [2] |
李树洲, 王茂磊, 肖胜红. 环境温度对氢原子钟稳定度的影响[J]. 现代导航, 2017, 8(2): 118–121 LI S Z, WANG M L, XIAO S H. Frequency stability of hydrogen maser affected by environment temperature[J]. Modern Navigation, 2017, 8(2): 118–121. |
| [3] |
李荣凯, 李锡瑞, 蔡勇. 基于机器学习方法的氢原子钟故障诊断研究[J]. 天文研究与技术, 2020, 17(3): 349–356 LI R K, LI X R, CAI Y. Research on fault diagnosis of hydrogen maser based on machine learning[J]. Astronomical Research & Technology, 2020, 17(3): 349–356. |
| [4] |
潘志兵, 谢勇辉, 帅涛, 等. 星载氢原子钟用多段线圈式C场的仿真及应用[J]. 天文研究与技术, 2020, 17(3): 341–348 PAN Z B, XIE Y H, SHUAI T, et al. Simulation and application of multi-section coil for C field used in space passive hydrogen maser[J]. Astronomical Research & Technology, 2020, 17(3): 341–348. |
| [5] |
魏伟, 武云云. 惯性/天文/卫星组合导航技术的现状与展望[J]. 现代导航, 2014(1): 62–65 WEI W, WU Y Y. Status and prospect of INS/CNS/GNSS integrated navigation technology[J]. Modern Navigation, 2014(1): 62–65. |
| [6] |
赵敏, 赵丽屏. 全球卫星导航定位系统抗干扰技术[J]. 指挥信息系统与技术, 2016, 7(1): 37–40 ZHAO M, ZHAO L P. Anti-jamming technologies for global satellite navigation and positioning systems[J]. Command Information System and Technology, 2016, 7(1): 37–40. |
| [7] | MATTIONI L, BELLONI M, BERTHOUD P, et al. The development of a passive hydrogen maser clock for the Galileo navigation system[C] // Proceedings of the 34th Annual Precise Time and Time Interval (PTTI) Meeting. 2002. |
| [8] | BERTHOUD P, PAVLENKO I, WANG Q, et al. The engineering model of the space passive hydrogen maser for the European global navigation satellite system Galileo[C] // Proceedings of the 2003 IEEE International Frequency Control Symposium Jointly with the 17th European Frequency and Time Forum. 2003: 90-94. |
| [9] | DROZ F, MOSSET P, BARMAVERAIN G, et al. The on-board Galileo clocks: rubidium standard and passive hydrogen maser-current status and performance[C] // Proceedings of the 20th European Frequency and Time Forum. 2012: 420-426. |
| [10] |
王文明, 张燕军, 杨浩. 双真空主动型氢脉泽真空系统设计[J]. 真空科学与技术学报, 2012, 32(3): 252–255 WANG W M, ZHANG Y J, YANG H. Design of dual-vacuum system dedicated to active hydrogen maser[J]. Chinese Journal of Vacuum Science and Technology, 2012, 32(3): 252–255. DOI: 10.3969/j.issn.1672-7126.2012.03.15 |
| [11] |
戴家瑜, 林传富. 镧镍储氢技术在氢原子钟中的应用[J]. 中国科学院上海天文台年刊, 2007(1): 160–165 DAI J Y, LING C F. Hydrogen absorbing alloys application in hydrogen maser[J]. Annals of Shanghai Astronomical Observatory, Chinese Academy of Sciences, 2007(1): 160–165. |
| [12] | PARKER T E, ROMISCH S. A clock ensemble using only active hydrogen masers[C] // Proceedings of the Precise Time & Time Interval Systems & Applications Meeting. 2017. |
| [13] | BOBYLEV V V, BAJKOVA A T. The z distribution of hydrogen clouds and masers with kinematic distances[J]. Astronomy Letters, 2016, 42(3): 182–192. DOI: 10.1134/S1063773716030026 |
| [14] | SALAS A G, ATTAI W, OYADOMARI K, et al. PhoneSat in-flight experience results[C] // Proceedings of the Small Satellites Systems and Services Symposium. 2014. |
| [15] | ROCHAT P, DROZ F, MOSSET P, et al. The onboard Galileo rubidium and passive maser, status and performance[C] // Proceedings of the 2005 IEEE International Frequency Control Symposium and Exposition. 2005: 26-32. |
| [16] | DROZ F, ROCHAT P, BARMAVERAIN G, et al. On-board Galileo RAFS, current status and performances[C] // Proceedings of the 2003 IEEE International Frequency Control Symposium Jointly with the 17th European Frequency and Time Forum. 2003: 105-108. |
| [17] | 张继红, 李晶, 操春燕. 被动型氢钟小型化轻量化研制进展[C] // 第四届中国卫星导航学术年会. 2012. ZHANG J H, LI J, CAO C Y. Development of miniaturized and lightweight passive hydrogen clocks[C] // The 4th China Annual Conference on Satellite Navigation. 2012. |
| [18] | ICHIMURA K, MATSUYAMA M, WATANABE K, et al. Recovery and storage of tritium by Zr-V-Fe getter[J]. International Journal of Applied Radiation and Isotopes, 1985, 36(7): 592. |
| [19] | ZUO T T, LI R B, REN X J, et al. Effects of Al and Si addition on the structure and properties of CoFeNi equal atomic ratio alloy[J]. Journal of Magnetism and Magnetic Materials, 2014, 371: 60–68. DOI: 10.1016/j.jmmm.2014.07.023 |
| [20] | LEE S M, LEE J Y. The trapping and transport phenomena of hydrogen in nickel[J]. Metallurgical Transactions A, 1986, 17(2): 181–187. DOI: 10.1007/BF02643893 |
| [21] | WU E, LI W H, LI J. Extraordinary catalytic effect of Laves phase Cr and Mn alloys on hydrogen dissociation and absorption[J]. International Journal of Hydrogen Energy, 2012, 37(2): 1509–1517. DOI: 10.1016/j.ijhydene.2011.10.016 |
| [22] | MA P, WU E D, LI W H. Hydrogen storage properties and microstructures of Ti0.7Zr0.3 (Mn1-xVx) 2 (x=0.1, 0.2, 0.3, 0.4, 0.5) alloys[J]. International Journal of Hydrogen Energy, 2014, 39(25): 13569–13575. DOI: 10.1016/j.ijhydene.2014.03.178 |
| [23] | YE H, ZHANG H, CHENG J X, et al. Effect of Ni content on the structure, thermodynamic and electrochemical properties of the non-stoichiometric hydrogen storage alloys[J]. Journal of Alloys and Compounds, 2000, 308(1): 163–171. |
| [24] | KUMAR M K, RAMAPRABHU S. Hydrogen absorption characteristics in MmxTb1-xCo2 (x=0, 0.05, 0.1, 0.15, 0.2)[J]. International Journal of Hydrogen Energy, 2007, 32(12): 1890–1897. DOI: 10.1016/j.ijhydene.2006.09.016 |
| [25] | LIBOWITZ G G, MAELAND A J. Hydride formation by B. C. C. solid solution alloys[J]. Materials Science Forum, 1988, 31: 177–196. DOI: 10.4028/www.scientific.net/MSF.31.177 |



