2. 中国科学院大学, 北京 100049
2. University of Chinese Academy of Sciences, Beijing 100049, China
杂散光是到达光学系统像面的非成像光线。对于望远镜系统,杂散光增加像面的背景噪声,降低星像的信噪比[1]。在国内外关于开放桁架式望远镜杂散光抑制的研究中,最常用的方法是使用遮光筒和挡光环[2-3],如图 1。在望远镜主镜中心孔处安装遮光筒可有效抑制大角度入射的杂散光。挡光环通常安装在主镜遮光筒内部,用于阻挡内部散射光线,与遮光筒相比,杂散光抑制能力稍弱。然而,空气经过遮光筒后会产生扰流(圆筒绕流),影响主镜上方区域的气流运动, 造成星像抖动,降低望远镜的成像质量。2.5 m斯隆数字巡天(Sloan Digital Sky Survey, SDSS)望远镜[4]和LCOGT (Las Cumbres Observatory Global Telescope Network, LCOGT)的1 m望远镜[5]即采用独立挡光环的形式避免遮光筒造成的气流扰动。
|
| 图 1 (a)兴隆2.16 m望远镜主镜遮光筒; (b) SDSS望远镜独立挡光环 Figure 1 (a) Primary baffle of the 2.16m Telescope at Xinglong station; (b) Vane structure of the SDSS telescope |
计算流体动力学(Computational Fluid Dynamics, CFD)软件是通过计算机数值计算和图像显示,分析包含流体流动和热传导等相关物理现象的系统[6]。为辅助选取合适的消杂散光装置,本文以兴隆基地50 cm望远镜为例,应用计算流体动力学软件分析遮光筒和独立挡光环两种情况下主镜区域温度、湍流强度及风速的分布,并通过温度数据给出主镜视宁度。结合主镜视宁度的半经验公式验证计算流体动力学模型的准确性。
1 计算流体动力学软件介绍计算流体动力学软件广泛应用于航空航天、工业设计、环境模拟、建筑设计、生物医学等诸多领域。近年来,也有少量研究人员将其应用到望远镜设计上[7-8]。
本文采用的ANSYS@FLUENT是享誉业界的流体分析工具,已经被充分验证并广泛应用,可用于模拟不可压缩到高度可压缩范围内的复杂流动,包含丰富先进的物理模型,可以精确模拟无粘流动、层流和湍流模型①。尽管计算流体力学方法存在边界条件与实际不符、物理模型不完备等缺点,但由于成本较低,可以给出很多无法测量的结果,对流体力学分析有着难以替代的作用。将FLUENT应用到望远镜设计上具有以下优点:
①http://148.204.81.206/Ansys/readme.html
(1) 可模拟复杂的实验环境,在任意位置设置测点,给出实测中难以得到的数据;
(2) 通过图形用户界面,可以直观地表现气流运动;
(3) 无需实测即可为望远镜设计和后期改造提供依据,减少成本昂贵的实验工作。
2 计算流体动力学仿真模型描述 2.1 模型介绍兴隆基地50 cm望远镜(图 2)主镜直径500 mm,中心孔直径130 mm,厚约60 mm,材料为微晶玻璃。主镜遮光筒外径140 mm,内径138 mm,高515 mm。挡光环共有7级,每级厚度1 mm,外径138 mm,内径均不相同,挡光环最高处与主镜表面距离为380 mm。遮光筒和挡光环均使用发黑处理的铝材料。主镜区域另包含镜盖、主镜室及底支撑和侧支撑。
|
| 图 2 50 cm望远镜示意图 Figure 2 Layout of the 50 cm Telescope |
FLUENT软件求解过程如图 3。
|
| 图 3 FLUENT求解过程 Figure 3 Solution procedure of FLUENT |
对遮光筒扰流的分析只需模拟主镜区域,包含主镜及遮光筒/挡光环。同时为减小计算机负荷及处理时间,将50 cm望远镜模型简化(对有遮光筒的情况,由于挡光环在遮光筒内部,无需考虑挡光环的作用)。在简化模型外设置方形的流体域,用于模拟空气流动区域。流体域尺寸为1.5 m × 1.5 m × 1.085 m (若流体域过小,不能分辨流动空气经过遮光筒产生的绕流,且壁面会对结果产生影响;而流体域过大又会使网格增加,延长计算时间。经过多次模拟,除底面外的其余边界与望远镜距离均为0.5 m较为合适。主镜底面流体无需考虑,因此设置底边界距主镜底面0.01 m)。图 4为望远镜原始模型与计算流体动力学软件简化模型,图中的立方体即为流体域。
|
| 图 4 (a)原始模型;(b) CFD简化模型(有遮光筒);(c)独立挡光环 Figure 4 (a) Original model; (b) CFD simplified model with baffle; (c) CFD simplified model with vanes |
网格划分应用ANSYS@Workbench的Mesh组件,具有强大的前处理功能。考虑设置时间、计算成本和数值耗散,对模型采用适应性较好的四面体网格。由于本文是对扰流及主镜散热的分析,所以只对流体域及主镜划分网格。
在流体力学中,常用雷诺数Re表征流体的流动情况。利用雷诺数可区分流体的流动是层流或湍流。
| $ Re=\frac{DV}{\upsilon }=\left\{ \begin{align} & <2000层流 \\ & 2000\tilde{\ }4000过渡状态. \\ & >4000湍流 \\ \end{align} \right. $ | (1) |
该模型特征长度(遮光筒直径)D=0.14 m,0 ℃时空气运动粘度为υ=13.27 mm2/s。因此当V >0.38 m/s,雷诺数Re > 4 000,模型处于湍流状态;当风速V < 0.19 m/s时,Re < 2 000,模型处于层流状态。根据兴隆基地气象站实测数据,良好的观测夜平均风速大约为V=1 m/s,此时Re=10 550,望远镜基本处于湍流状态,因此只考虑湍流模型。
经过多次模拟,常用几种湍流物理模型在望远镜流场分析中差别不大,且工程应用精度要求不高,因此湍流模型选择工程上应用广泛的改进型RNG k-ε模型[9],同时强调壁温及浮升力作用。传热模型包含热传导和自然对流换热,忽略主镜辐射散热。假设初始环境温度为0 ℃,主镜温度为5 ℃。在流体域左侧设置速度进口模拟圆顶天窗,风速设置为1 m/s,右侧为出口,符合完全发展条件,设置为自由流出边界。流体域四周无影响,采用无滑移的壁面条件。
3 计算结果分析 3.1 流体力学分析遮光筒和独立挡光环模型(以下简称工况1、2)均在15 000 s左右收敛,此时温度基本稳定无差异。在整个瞬态模拟的中间部分,两种工况下各参量对比较为显著,因此取程序开始后两小时(取整小时)的数据作分析。在分析中创建3个横截面以方便观察,各截面方向如下:风速方向为+X轴;侧视图法线方向为+Z轴;温度散点图法线方向为-X轴;俯视图距主镜表面10 cm,法线方向为+Y轴。
图 5为湍流状态下工况1、2的温度云图与温度散点图,散点图中白色点表示主镜表面温度,红色点表示主镜上方10 cm处的温度。从温度云图可以看出,工况1遮光筒内部与周围环境有温差。主镜散热不均匀,背风面散热慢,造成主镜表面空气存在温度差。由于处在望远镜光路中,温度差异引起的湍流会降低望远镜的分辨率。工况2主镜散热均匀,主镜表面温度梯度较小。从散点图看,工况2在主镜上方10 cm处没有温度差异,且主镜表面温度比工况1小。而工况1主镜上方10 cm处仍有温差存在于遮光筒内。
|
| 图 5 工况1、2温度云图与散点图。(a)工况1温度侧视图; (b)工况2温度侧视图; (c)工况1温度散点; (d)工况2温度散点 Figure 5 Temperature contours and scatter diagrams of working status 1 and 2. (a) Temperature contour of status 1;(b) Temperature contour of status 2; (c) Scatter diagram of status 1; (d) Scatter diagram of status 2 |
FLUENT软件还可以给出湍流强度的分布,如图 6。由三维湍流云图可以看到,工况1整个模型湍流强度最大为21.63%,在遮光筒外中上部分占据的区域很小,可以忽略。由于湍流强度I与特征长度D成反比(I∝D-1/8),工况2湍流强度最大为31.63%,沿挡光环连接杆分布,距连接杆仅有4 mm,所占面积较小。从俯视图可以看出,工况1影响较大的部分是黄色和绿色区域,湍流强度最大为16.33%。而工况2影响最大的在挡光环右侧的蓝色区域,湍流强度仅为9.82%。
|
| 图 6 工况1、2湍流强度分布云图(黑色圆为主镜轮廓)。(a)工况1三维湍流分布; (b)工况2三维湍流分布; (c)工况1湍流分布俯视图; (d)工况2湍流分布俯视图 Figure 6 Turbulent intensity contours (black circle indicates the mirror′s profile). (a) 3D turbulent intensity contour of status 1;(b) 3D turbulent intensity contour of status 2; (c) Vertical view of the turbulent intensity contour of status 1; (d) Vertical view of the turbulent intensity contour of status 2 |
流体经过绕流圆柱体时会产生卡门涡街②,形成交替的涡流。这种交替的涡流使阻流体两侧流体的瞬间速度不同。如图 7,对于工况1,遮光筒之前风速呈对称分布,在遮光筒后形成了非对称的绕流漩涡对。从侧视图看,速度分布不均匀,遮光筒前后风速差别较大,最大速度为1.42 m/s。相比之下,工况2最大速度为1.37 m/s,无绕流现象。挡光环之前仍呈对称分布,1 mm厚度对气流影响很小,整体上速度分布较工况1均匀。综合以上分析,工况1、2下温度、湍流强度和速度的范围如表 1。
②http://www.digizeitschriften.de/dms/img/?PID=GDZPPN002502755
|
| 图 7 速度分布云图。(a)工况1速度分布; (b)工况2速度分布; (c)工况1速度分布俯视图; (d)工况2速度分布俯视图 Figure 7 Velocity contours. (a) Velocity contour of status 1; (b) Velocity contour of status 2; (c) Vertical view of the velocity contour of status 1; (d) Vertical view of the velocity contour of status 2 |
| 参数 | 工况1 | 工况2 |
| 温度范围/℃ | 0~2.54 | 0~1.79 |
| 湍流强度范围/% | 0.44~21.63 | 0.47~31.63 |
| 速度范围/(m/s) | 0~1.42 | 0~1.37 |
当主镜与周围环境有温差时,主镜表面的湍流层会降低图像质量,表现为星像半高全宽(FWHM)的增大。文[10]和文[11]对视宁度做了深入研究,将湍流惯性域中温度结构函数与大气折射率的柯西表达式结合,并忽略湿度影响,得到:
| $ C_{\text{T}}^{2}=\frac{<{{\left[T(r)-T\left( r+\Delta r \right) \right]}^{2}}>}{\Delta {{r}^{2/3}}}, $ | (2) |
| $ C_{\text{N}}^{2}=\text{C}_{\text{T}}^{2}{{\left( 80\times {{10}^{-6}}\frac{P}{{{T}^{2}}} \right)}^{2}}. $ | (3) |
其中,CN2、CT2分别为折射率和温度结构系数;Δr为间距;λ为波长(μm);P为压强(mbar);T为温度(K)。星像半高全宽为点扩散函数峰值半高处的角直径θ:
| $ \theta =1.085 4\times {{10}^{6}}{{\lambda }^{-\frac{1}{5}}}{{\left[{{\left( cos\gamma \right)}^{-1}}{{\int }_{H}}C_{N}^{2}\left( z \right)dz \right]}^{\frac{3}{5}}}. $ | (4) |
假设天顶距γ=0°,λ=500 nm,兴隆基地海拔960 m (大气压约90 125 Pa),P=901 mb,z为距主镜表面的高度,则:
| $ \theta =\frac{8.418\times {{10}^{5}}}{{{T}^{2.4}}}{{\left[ {{\int }_{H}}C_{T}^{2}\left( z \right)\text{d}z \right]}^{\frac{3}{5}}}. $ | (5) |
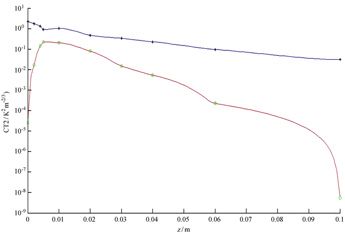
根据以上公式,只需探测镜面上方不同位置处的温度值,即可计算得到主镜视宁度。在计算流体动力学软件中设置主镜上方10 cm处对不同高度距离相同的温度监视点(Δr=0.3),根据(2)、(5)式计算主镜视宁度。计算得到不同高度下CT2的散点及拟合曲线如图 8。由于工况1、2温度差随高度增加而降低,整体上CT2呈下降趋势。工况2在主镜上方10 cm处基本没有温差,因此CT2下降很快。在主镜表面到5 mm高度范围内,CT2逐渐增大到0.23 K2m-2/3后开始下降。最终计算得到工况1主镜视宁度θ=0.15″,而工况2为0.04″,与工况1相比降低了74%。因此,工况2条件下主镜视宁度优于工况1,但此时两种工况下主镜视宁度均很小,对望远镜成像不会产生实质性影响。
|
| 图 8 工况1、2 CT2随高度变化曲线 Figure 8 CT2 of working status 1 and 2 changing with height |
文[12]从25 cm望远镜[13]和62 cm望远镜[14]主镜视宁度研究中,得到了通风条件下星像半高全宽的半经验公式:
| $ \theta =0.18{{\left( \frac{gD}{T{{U}^{2}}} \right)}^{0.3}}\Delta {{T}^{1.3}}, $ | (6) |
其中,g为重力加速度;D为主镜直径;U为主镜表面风速;T为参考温度;ΔT为主镜表面与环境温度差。由于主镜口径接近,将其应用到50 cm望远镜主镜视宁度计算中,并设置参考温度为0 ℃。表 2为不同温差和风速条件下(6)式和计算流体动力学软件计算的主镜视宁度对比,可以看出二者差异较小,主镜视宁度主要对温度变化较为敏感,这一点与文[15]的研究结果一致。
| ΔT /℃ |
速度U m/s |
公式计算 seeing/″ |
CFD计算 seeing/″ |
| 0.5 | 0.5 | 0.03 | 0.02 |
| 0.5 | 1 | 0.02 | 0.02 |
| 0.5 | 2 | 0.01 | 0.02 |
| 1 | 0.5 | 0.08 | 0.04 |
| 1 | 1 | 0.05 | 0.05 |
| 1 | 2 | 0.04 | 0.05 |
| 2 | 0.5 | 0.20 | 0.10 |
| 2 | 1 | 0.13 | 0.11 |
| 2 | 2 | 0.09 | 0.11 |
本文以兴隆50 cm望远镜为例,建立计算流体动力学仿真计算模型,分析遮光筒和独立挡光环结构两种工况下主镜区域的扰流状态,给出了实际测试中难以得到的温度、速度场与湍流的分布图,并根据温度数据计算得到主镜视宁度。通过对这几个参量的分析可知,独立挡光环结构在空气环流和主镜散热方面要优于传统的遮光筒。
由于计算流体动力学模型是建立在简化和假设的物理模型基础上,实际的湍流及大气不稳定性很难用数学模型完整描述。文中可定性地说明在主镜视宁度控制上独立挡光环结构优于遮光筒。关于流场定量分析的准确性还需要与实测数据对比,但50 cm望远镜实验成本高,速度和湍流分布难以实测,测量点和结果存在局限性,实测难度较大。因此,本文给出的模拟结果意义在于分析遮光筒与独立挡光环结构的扰流特点,为后续合理选择消杂散光装置提供参考依据。相比于有遮光筒的情况,采用独立挡光环具有以下优点:
(1) 主镜散热均匀,整个模型内温度梯度较小;
(2) 在主镜区域影响较大的部分,湍流强度降低了6.51%;
(3) 无绕流漩涡,挡光环厚度对空气流动影响很小,速度分布比有遮光筒时均匀;
(4) CT2降低,主镜视宁度下降了74%。
综合以上扰流与杂散光分析结果,可选取合适的消杂散光装置。在后期的研究中,将计算流体动力学方法模拟的主镜散热过程与实测对比,可推广到分析任何望远镜的气流场和视宁度,对望远镜及圆顶的设计有一定应用价值。
| [1] | Bely P Y. The design and construction of large optical telescopes[M]. Berlin: Springer. 2003. |
| [2] | Siegmund W A, Limmongkol S, Hull C L, et al. Sloan digital sky survey 2.5-m telescope:light baffles[C]//Proceedings of SPIE. 1998. |
| [3] |
赵飞, 王森. 兴隆1 m光学望远镜杂散光效应研究[J]. 天文研究与技术—国家天文台台刊
, 2010 , 7 (2) : 158 –167 Zhao Fei, Wang Sen. Study of stray light for the Xinglong 1-meter optical telescope[J]. Astronomical Research & Technology—Publications of National Astronomical Observatories of China , 2010 , 7 (2) : 158 –167. |
| [4] | Gunn J E, Siegmund W A, Mannery E J, et al. The 2.5 m telescope of the sloan digital sky survey[J]. The Astronomical Journal , 2006 , 131 (4) : 2332 –2359. DOI: 10.1086/500975 |
| [5] | Haldeman B J, Haynes R M, Posner V, et al. Design and performance characterization of the LCOGTN one-meter Telescope Optical Tube Assembly[C]//Proceedings of SPIE. 2010. |
| [6] |
王福军. 计算流体动力学分析:CFD软件原理与应用[M].
北京: 清华大学出版社. 2004.
|
| [7] | Pazder J S, Vogiatzis K, Angeli G Z. Dome and mirror seeing estimates for the Thirty Meter Telescope[C]//Proceedings of SPIE. 2008. |
| [8] | 张俊.蜂窝镜温度与镜面视宁度控制方法研究[D].北京:中国科学院大学(光电技术研究所), 2013. |
| [9] |
唐家鹏. FLUENT14.0超级学习手册[M].
北京: 人民邮电出版社. 2013.
|
| [10] | Tatarskii V I. Wave propagation in turbulent medium[M]. New York: McGraw-Hill. 1961. |
| [11] | Roddier F. V the effects of atmospheric turbulence in optical astronomy[J]. Progress in Optics , 1981 , 19 : 281 –376. DOI: 10.1016/S0079-6638(08)70204-X |
| [12] | Zago L. Engineering handbook for local and dome seeing[C]//Proceedings of SPIE. 1997. |
| [13] | Iye M, Noguchi T, Torii Y, et al. Evaluation of seeing on a 62-cm mirror[J]. Publications of the Astronomical Society of the Pacific , 1991 , 103 : 712 –722. DOI: 10.1086/132870 |
| [14] | Lowne C M. An investigation of the effects of mirror temperature upon telescope seeing[J]. Monthly Notices of the Royal Astronomical Society , 1979 , 188 (2) : 249 –259. DOI: 10.1093/mnras/188.2.249 |
| [15] | Vogiatzis K, Upton R. TMT studies on thermal seeing modeling:mirror seeing model validation[C]//Proceedings of the SPIE. 2006. |

