嫦娥三号的同波束VLBI技术研究过程中,曾提出在探测器上搭载多频点的S波段信标,通过VLBI数据处理计算无模糊度的差分相时延[1-2],最后,由于经济和载荷限制等原因未能实现。于是,利用SELENE的观测数据和嫦娥二号数据,研究将含整周模糊度的差分相时延平移到差分群时延中,得到偏移差分相时延的方法,并进行模拟相对定位[3-4]。根据嫦娥三号的实际信标,利用嫦娥二号两个VLBI信标信号的观测数据验证了上述方法和软件,得到偏移差分相时延,差分相时延闭合时延偏倚量在0.5 ns[5];嫦娥三号执行任务过程中,利用嫦娥三号同波束VLBI技术成功计算出偏移差分相时延,并运用运动学统计定位软件成功解算出巡视器相对于着陆器的位置,定位精度约1 m[6]。
本文利用中国VLBI网在嫦娥三号任务中,观测得到的60 h同波束VLBI数据,进一步分析嫦娥三号同波束VLBI技术和差分相时延,包括差分相时延多项式拟合后残差、三基线闭合时延、相对定位后残差。研究嫦娥三号同波束VLBI技术,发现由于两个探测器信号中心频率间隔34 MHz,导致系统误差中存在电离层差分时延,从而影响差分相时延的变化趋势。通过闭合时延偏移量的研究,发现差分相时延的偏移量在定位过程成功计算,从而成功解算出差分相时延的整周模糊度,得到皮秒量级的系统误差的差分相时延。研究差分相时延多项式拟合后残差,发现中性大气时延误差、氢钟误差和地面装置时延误差等因素可以忽略不计。残差中主要是由于巡视器用全向天线发射遥测信号,而巡视器自身携带的晶振提供的基准信号稳定度不高,导致相位存在噪声。研究相对定位后残差,发现巡视器发射数传信号时,残差约为0.05 mm,发射遥测信号时,残差为0.2~0.7 mm。
1 嫦娥三号同波束VLBI技术嫦娥三号同波束VLBI技术观测模式由中国 VLBI网首先观测约 30 min的校准源,然后波束对准月面着陆器连续观测数小时,由于巡视器和着陆器间隔在数十米量级,射电望远镜能同时接收着陆器和巡视器发射的信号,结束探测器观测后,再观测约30 min的校准源。
由于着陆器和巡视器在月面间隔很近,两个信号在空间传输路径几乎相同,信号到达各台站后,通过相同的接收机将信号输送给数字基带转换器,进行模拟信号数字化,下变频后,用两个不同的通道记录两个信号。图 1给出了两台射电望远镜同时对准月面上的巡视器和着陆器,接收两器发射的信号。其中 τ1R和 τ2R表示巡视器信号分别到达地面两个台站所用的时间 ;τ1L和 τ2L表示着陆器信号分别到达地面两个台站所用的时间; θ1和θ2 表示巡视器与着陆器信号传输路径的夹角,约0.013 6′。通常VLBI解算的巡视器和着陆器时延可以用 τ1R-τ2R和τ1L-τ2L 表示,嫦娥三号同波束VLBI技术差分时延则用 (τ1R-τ2R)-(τ1L-τ2L) 表示。
|
| 图 1 同波束VLBI技术模型 Figure 1 SBI observation |
着陆器总时延 τ1L-τ2L 的表达式为
|
(1) |
其中, τgeoL是根据着陆器在月面的位置(44.120 6°N,-19.512 4°E,高程-2 632 m,相对1 737.4 km月面,定位精度在50 m左右[7-8])计算得到的几何时延预测值。巡视器也采用此几何时延预测值进行数据处理。在计算几何时延预测值时,月固坐标系下着陆点位置转换到天球坐标系时采用喷气推进实验室 (Jet Propulsion Laboratory,JPL)推荐的行星/月球历表DE421[9]。 τΔgeoL是着陆器残余几何时延,残余几何时延包含了着陆器真实位置与解算位置在地球和月球相对运动中时延变化的差异。 τ Lerr定义为总误差,包含信号传输和处理等过程中的中性大气、电离层、氢钟和装置内部残余时延等误差,同时也包括上述模型本身存在的系统误差。
嫦娥三号同波束VLBI技术差分相时延 τdpd,即 (τ1R-τ2R)-(τ1L-τ2L) 表达式为
|
(2) |
巡视器总时延减去着陆器总时延时,几何时延预测值差分为0,中性大气时延影响也几乎为0。两者残余几何时延差分正是需要解算的差分时延 (τΔgeoR -τΔgeoL ) ,差分时延主要反应了巡视器位置和着陆器位置随着地球与月球相对运动中时延变化的差异。信号在空间中传输路径夹角很小,中性大气和电离层因为路径不同的影响很小。但是,因为着陆器和巡视器信号中心频率不同,而电离层时延与频率的平方成反比,所以导致电离层差分时延误差 (τionR -τionL ) 无法通过差分消除。数字基带转换器用两个通道分别记录两个信号,存在装置时延变化的误差 (τΔequR -τΔequL ) ,由于信号数字化之后才不同,这部分误差很小。 σ 表示其他误差因素,主要是热噪声和未知误差因素。
电离层差分时延误差 (τionR -τionL ) 可以根据以下计算得到。巡视器信号中心频率8 462 MHz,着陆器信号中心频率8 496 MHz,根据(3)式可以分别计算巡视器和着陆器的电离层时延[10]。
|
(3) |
其中, k =40.28 m3/s2;Δ TEC 表示射电望远镜视线方向总电子含量之差,可以根据模型或者全球定位系统(Global Position System,GPS)观测数据进行解算; c 为光速; f 表示信号频率。根据(3)式就能得到电离层差分时延 (τionR -τionL ) (4)式。其中巡视器信号中心频率为 fROV;着陆器信号中心频率为 fLAN。
|
(4) |
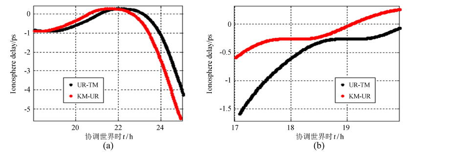
假设X波段8 400 MHz某基线电离层时延约1 ns,则巡视器信号中心频率8 462 MHz,电离层时延减去着陆器信号中心频率8 496 MHz的电离层时延得到的电离层差分时延为7.9 ps,说明电离层差分时延是嫦娥三号同波束VLBI技术差分相时延解算过程中不得不考虑的误差因素。图 2给出了根据介质修正提供的数据解算的昆明(KM)-乌鲁木齐(UR)、 乌鲁木齐-天马(TM)基线电离层差分时延的结果,其中图 2(a)是21日观测数据,图 2(b)是23日观测数据。电离层差分时延在晚上要小于白天,俯仰角大于30°时也远远小于低仰角时,这些都是同波束VLBI技术观测所要考虑的因素。
|
| 图 2 KM-UR和UR-TM基线电离层差分时延 Figure 2 Differential ionosphere delay of two baselines KM-UR and UR-TM |
图 3给出了2013年12月23日UR-TM基线差分相时延的8次多项式拟合后的残差,图 3(a)差分相时延巡视器高增益定向天线发射8 MHz的数传信号,图 3(b)差分相时延巡视器低增益全向天线发射4 KHz的遥测信号,同时,着陆器发射5 MHz的数传信号。图 3(a)差分相时延的均方根为0.085 ps,图 3(b)差分相时延的均方根为0.192 ps。而根据链路估算分析,着陆器5MHz带宽数传信号相位精度为0.002 8°,巡视器数传信号相位精度为0.003 5°,巡视器遥测信号相位精度为0.049 2°,从而计算得到巡视器发射数传信号时,差分相时延误差约为0.001 4 ps,巡视器发射遥测信号时,差分相时延误差约为0.016 ps。差分相时延随机误差实际值大于理论值,是因为一些误差因素无法通过同波束VLBI技术双差分扣除。
|
| 图 3 UR-TM基线差分相时延多项式拟合残差 Figure 3 DPD residuals of baseline UR-TM after eighth-order polynomial fitting |
由图 3可以明显看到差分相时延残差中存在周期性变化。分析6 d的观测数据得知,所有的差分相时延残差都存在周期项。对差分相时延残差进行快速离散傅里叶变换,可以分析残差中周期项的周期。(5)式是快速傅里叶变换的计算公式。图 4给出了图 3中差分相时延残差快速傅里叶变换幅频图,图 3(a)中有1 603个点, N 取2 048,图 3(b)中有3 576个点, N 取4 096。图 4(a)有0.055 Hz(约18 s)的周期项。图 4(b)除了0.055 Hz的周期项外,还有1 × 10-3、2.183 × 10-3、3.15 × 10-3和7.275 × 10-3 Hz等明显的周期项。最后,统计6 d数据发现0.055 Hz的周期项一直存在,其他周期项一直在变化,从30 min到1 s,出现周期项的个数也不固定。巡视器发射数传信号时,周期项个数少于5个,巡视器发射遥测信号时,残差中周期项个数大于10个。
|
(5) |
|
| 图 4 快速傅里叶变换的幅频图 Figure 4 FFT Amplitude-frequency characteristics |
为了分析周期项出现的原因,这里分析差分相时延残余时延的阿伦方差,可以判断出差分相时延中存在的误差类型 [11-13]。图 5给出了2013年12月23日UR-TM基线差分相时延残差的阿伦方差。黑色虚线是高斯噪声的参考线。黑色曲线表示巡视器发射数传信号的结果。红色曲线表示巡视器发射遥测信号的结果。黑色曲线类似于高斯噪声,说明差分相时延残差中几乎不存在系统误差,也就说明中性大气和地面装置等误差因素几乎消除。红色曲线中双箭头线表示差分相时延残差中包含相位随机游走噪声,黑色实心线表示差分相时延残差中存在频率随机游走噪声,单箭头线表示残差中存在零偏不稳定度噪声[11-13]。处理嫦娥三号所有差分相时延数据,巡视器发射数传信号得到的差分相时延残差几乎不存在系统误差,而发射遥测信号的数据存在以上3种噪声,这说明差分相时延残差中存在的系统误差与巡视器发射的信号有关。后续得知,巡视器用低增益全向天线发射遥测信号,全向天线使用巡视器自带的晶振提供的基准信号,而晶振频率稳定度在10-7水平。巡视器用高增益定向天线往地面发射数传信号时,天线使用地面氢钟提供的基准信号,基准信号频率稳定度在10-13水平。从而说明,巡视器发射遥测信号的全向天线基准信号频率稳定度不高,是导致差分相时延残差中存在相位随机游走、频率随机游走和零偏不稳定度噪声的主要原因。
|
| 图 5 UR-TM基线差分相时延残差的阿伦方差 Figure 5 Allan Standard variance of DPD residual of baseline UR-TM |
由于巡视器距离着陆器很近,导致差分相时延率很小[14],在计算差分相时延闭合时延时,并没有将3条基线的时刻对齐,而是根据同一地心时刻计算的各条基线差分相时延直接进行加减处理。例如,将KM-UR基线差分相时延减去KM-TM基线差分相时延,加上UR-TM基线差分相时延,最终得到图 6所示的3台站差分相时延的闭合时延。北京(BJ)、KM、UR 3台站、 BJ、KM、TM 3台站和 BJ、UR、TM 3台站组成的3基线差分相时延闭合结果与图 6类似。很明显在0.1 ps量级,差分相时延的闭合时延保持一条直线,这说明差分相时延闭合成功。差分相时延的闭合时延存在一个偏移量,如图 6,偏移量为407.35 ps,这是由于差分相时延虽然利用差分群时延修正整周模糊度,可是依然存在纳秒量级的偏移量。在利用差分相时延进行相对定位过程中,每一条基线的偏移量都被计算出来,差分相时延的闭合时延能验证计算的偏移量是否正确。表 1给出了4种组合差分相时延的闭合时延偏移量和相对定位过程解算的差分相时延系统误差的闭合结果。4种情况下的差分相时延闭合时延存在的偏差分别为0.458、0.208、0.407、0.157 ns。相对定位过程解算出每一条基线的系统误差,将解算的系统误差进行闭合处理,闭合系统误差与差分相时延的闭合时延偏差数值基本相同,符号相反,说明相对定位过程中成功解算出了差分相时延每一条基线的系统误差,也就是说差分相时延的整周模糊度计算成功。
|
| 图 6 KM-UR、UR-TM和KM-TM 3基线23日差分相时延闭合时延 Figure 6 The closure delay of DPD between these three baselines KM-UR,KM-TM,UR-TM. The data were obtained on 23 |
| BJ-KM-UR/ps | BJ-UR-TM/ps | KM-UR-TM/ps | BJ-KM-TM/ps | |
| 闭合时延偏移量 | 458.85 | -208.47 | 407.36 | -156.99 |
| 系统误差闭合值(数传信号) | -458.88 | 208.44 | -407.42 | 156.98 |
| 系统误差闭合值(遥测信号) | -458.85 | 208.68 | -407.18 | 157.01 |
差分相时延的闭合时延均方根约为0.015 9 ps,远远低于差分相时延残差的均方根,而且巡视器交替发射遥测信号和数传信号,并不影响差分相时延的闭合时延。在分析闭合时延组成成分时,发现闭合时延计算模型中,探测器时延和差分时延三基线闭合为0;中性大气、电离层等影响因素闭合时延也为0;3基线闭合时延不为0的主要原因是射电源观测计算的装置内部残余时延。探测器时延和差分时延闭合为0,说明探测器发射信号的天线影响可以闭合,所以不管巡视器用低增益天线发射遥测信号,还是用高增益天线发射数传信号,对差分相时延的闭合结果没有影响,这也解释了闭合时延随机误差没有因为巡视器发射信号的不同而不同。
4 差分相时延相对定位后的残差本文分析了2013年12月21、22和23日巡视器在E点(正北-17.4 ± 0.05,正东-0.37 ± 0.02)[6, 8],观测得到的差分相时延减去定位过程模型计算的差分时延的结果。如果解算的巡视器正北正东位置与巡视器真实位置相符,差分相时延的趋势项应该在定位过程中差分去除,残差平均值为0。图 7给出了这3天差分相时延相对定位后的残差。图 7(a)、(b)、(c)、(d)都是21日残差,其中,图 7(a)、(b)、(c)为巡视器高增益天线发射信号,图 7(d)为巡视器低增益天线发射信号;图 7(e)和(f)是22日残差,巡视器高增益天线发射信号;图 7(g)和(h)是23日残差;图 7(g)为巡视器高增益天线发射信号,图 7(h)为巡视器低增益天线发射信号。图 7中残差平均值小于0.1 mm,所以可以认为相对定位过程将差分相时延的趋势项拉平,也就是说成功利用差分相时延的趋势项进行相对定位 。统计相对定位后的残差均方根,依次为0.119 8、0.059 8、0.060 9、0.722 7、0.041 5、0.075 8、0.048、0.230 7 mm。巡视器高增益天线发射数传信号时,残差均方根约为0.05 mm,是同波束VLBI技术得到的最好结果,巡视器低增益天线发射遥测信号时,残差在0.2~0.7 mm之间。
|
| 图 7 相对定位后的残差 Figure 7 The residual after relative position determination |
利用差分群时延估算差分相时延中的整周模糊度,得到含有偏移量的差分相时延。差分相时延系统误差依然在纳秒量级,可以分为整周模糊度导致的偏移量、电离层差分时延和巡视器天线基准信号频率稳定度太低导致的噪声。电离层差分时延主要是由于巡视器和着陆器发射的信号中心频率不同导致的,是影响偏移差分相时延趋势的主要因素,在同波束VLBI技术差分相时延解算过程中需要扣除。每条基线的差分相时延整周模糊度偏移量会随着相对定位过程计算出来。
同波束VLBI技术在嫦娥三号任务中得到了成功的验证,为未来嫦娥五号同波束VLBI技术的应用打下了良好的基础。嫦娥五号交会对接远程导引段,轨道器环绕月球飞行,上升组合体从月面发射绕月球飞行,追赶轨道器,两器绕飞过程中,随着时间的推移同波束VLBI技术观测机会变多,连续观测时间也不断加长,如果解算出半小时以上连续的差分相时延,也能利用差分相时延进行两个探测器的高精度定轨。
6 总 结嫦娥三号同波束VLBI技术的差分相时延成功应用于巡视器和着陆器间的相对定位。对差分相时延以及多项式拟合后残差研究发现误差因素主要为整周模糊度导致的偏移量、电离层差分时延和巡视器天线基准信号频率稳定度太低导致的噪声。差分相时延的闭合时延保持一条平行直线,误差均方根为0.015 9 ps。偏移量与相对定位过程解算的系统误差闭合结果数值相同,说明相对定位过程中成功解算出每条基线的系统误差,也说明差分相时延的整周模糊度问题得到解决。分析差分相时延相对定位后的残差,巡视器发射数传信号时,残差约为0.05 mm,发射遥测信号时,残差为0.2~0.7 mm。
| [1] | Liu Qinghui, Chen Ming, Xiong Weiming, et al. Relative position determination of a lunar rover using high-accuracy multi-frequency same-beam VLBI[J]. Science China Physics, Mechanics&Astronomy , 2010 , 53 (3) : 571 –578. |
| [2] | Liu Q H, Chen M, Goossens S, et al. Applications of same-beam VLBI in the orbit determination of multi-spacecrafts in a lunar sample-return mission[J]. Science China Physics, Mechanics&Astronomy , 2010 , 53 (6) : 1153 –1160. |
| [3] | Chen Ming, Liu Qinghui, Wu Yajun, et al. Relative position determination of a lunar rover using the biased differential phase delay of same-beam VLBI[J]. Science China Physics, Mechanics&Astronomy , 2011 , 54 (12) : 2284 –2295. |
| [4] | 陈明, 刘庆会, 陈冠磊, 等. 同波束干涉测量差分相位计算与DOR时延精度验证[J]. 测绘学报 , 2013 , 42 (6) : 817 –823 Chen Ming, Liu Qinghui, Chen Guanlei, et al. Calculation of differential phases in same-beam VLBI and accuracy verification of DOR delay[J]. Acta Geodaeticaet Cartographica Sinica , 2013 , 42 (6) : 817 –823. |
| [5] | 郑鑫, 刘庆会, 吴亚军, 等. 双月球探测器相对定位的同波束VLBI技术研究[J]. 宇航学报 , 2014 , 35 (9) : 1030 –1035 Zheng Xin, Liu Qinghui, Wu Yajun, et al. Research on same-beam VLBI technique for relative position determination of two lunar spacecrafts[J]. Journal of Astronautics , 2014 , 35 (9) : 1030 –1035. |
| [6] | Liu Qinghui, Zheng Xin, Huang Yong, et al. Monitoring motion and measuringrelative position of the Chang'E-3 rover[J]. Radio Science , 2014 , 49 (11) : 1080 –1086. DOI: 10.1002/rds.v49.11 |
| [7] | Huang Yong, Chang Shengqi, Li Peijia, et al. Orbit determination of Chang'E-3 and positioning of the lander and the rover[J]. Chinese Science Bulletin , 2014 , 59 (29-30) : 3858 –3867. DOI: 10.1007/s11434-014-0542-9 |
| [8] | 李培佳, 黄勇, 昌胜骐, 等. 基于地基观测的嫦娥三号着陆器与巡视器高精度定位[J]. 科学通报 , 2014 , 59 (32) : 3162 –3173 Li Peijia, Huang Yong, Chang Shengqi, et al. Positioning for the Chang'E-3 lander and rover using Earth-based observations (in Chinese)[J]. Chinese Science Bulletin , 2014 , 59 (32) : 3162 –3173. DOI: 10.1360/N972014-00207 |
| [9] | Folkner W M, Williams J G, Boggs D H.The planetary and lunar ephemeris DE 421[R]//The Interplanetary Network Progress Report. 2009:1-34. |
| [10] | 张捍卫, 盘关松, 马高峰, 等. VLBI观测的电离层延迟改正模型研究[J]. 测绘学院学报 , 2003 , 20 (1) : 14 –18 Zhang Hanwei, Pan Guansong, Ma Gaofeng. Research on the ionosphere delays correction model for VLBI observation[J]. Journal of Institute of Surveying and Mapping , 2003 , 20 (1) : 14 –18. |
| [11] | Walls F L, Allan D W. Measurement of frequency stability[J]. Proceedings of the IEEE , 1986 , 74 (1) : 162 –168. DOI: 10.1109/PROC.1986.13429 |
| [12] | 张小红, 朱锋, 薛学铭, 等. 利用Allan方差分析GPS非差随机模型特性[J]. 测绘学报 , 2015 , 44 (2) : 119 –127 Zhang Xiaohong, Zhu Feng, Xue Xueming, et al. Using Allan variance to analyze the zero-differenced stochastic model characteristics of GPS[J]. Acta Geodaeticaet Cartographica Sinica , 2015 , 44 (2) : 119 –127. |
| [13] | 吴亚军, 刘庆会, 陈冠磊, 等. VLBI 相时延及其在深空探测器测定轨中的应用[J]. 中国科学:信息科学 , 2014 , 44 (2) : 221 –230 Wu Yajun, Liu Qinghui, Chen Guanlei, et al. VLBI phase delay and its application in orbit determination of spacecraft[J]. Scientia Sinica:Informationis , 2014 , 44 (2) : 221 –230. |
| [14] | 贺庆宝, 刘庆会, 郑鑫, 等. 同波束VLBI 差分时延率研究[J]. 天文研究与技术,国家天文台台刊 , 2014 , 11 (3) : 247 –254 He Qingbao, Liu Qinghui, Zheng Xin, et al. A study of difference delay rates derived from processing of same-beam VLBI data[J]. Astronomical Research&Technology,Publications of National Astronomical Observatories of China , 2014 , 11 (3) : 247 –254. |

