明安图射电频谱日像仪(MUSER)是新一代太阳射电望远镜,它采用综合孔径成像的方法,实现同时以高空间、高时间和高频率分辨率对太阳爆发活动的动力学性质进行观测。它由低频阵和高频阵组成,分别工作于0.4~2 GHz和2~15 GHz频段,其中高低频阵列的设备建设已经完成,系统正处于调试和试观测过程中。
灵敏度反映的是系统能够测量到的最弱射电辐射源,它主要取决于接收输出端的噪声起伏。对于一台射电望远镜,这一噪声正比于它的系统温度Tsys。射电天文中,灵敏度定义为“最小可检测”的辐射流量密度Smin[1]。理论上,通过增加积分时间,提高带宽以及增加观测次数,望远镜的系统噪声可以被减小到任意期望的水平。然而,由于实际观测以及对射电源频谱信息的需要,积分时间以及带宽不可能被无限增加。
1 天线和干涉仪的灵敏度 1.1 天线系统的灵敏度对于单个天线系统,其最低可检测温度由下式给出:
由瑞利-金斯定律可以获得最小可检测亮度,进而可以得到天线的最小可检测流量[1]:
这里Ks代表灵敏度常量,对于不同类型的接收机,它的值有所不同。K=Ae/2kB,表示天线性能的一个测量参数,其中 kB为波尔兹曼常数;Ae等于天线的有效面积;Δv 是预检测的带宽;t和n分别代表积分时间和观测次数。
1.2 干涉仪的灵敏度在干涉仪接收系统中,天线i、j分别接收来自天体的辐射信号s 和各种噪声信号n,则干涉仪相关器输出的功率可以表示为
这里g代表电压的增益因子;ηs 为相关效率;SC为相关输出的流量密度。
相关器输出的信号呈现噪声特性,其均方根(RMS)起伏决定了相关测量的精度,进而也反映干涉仪的灵敏度。通过因子的转换,再对其进行时间和带宽的平缓,则得到以流量密度表示的灵敏度[2]:
式中,ST表示天线接收的总的流量密度;Tsys为系统的等效噪声温度;K的定义如(2)式。假定天线i和天线j特性一致,则:
考虑到日像仪系统源的尺寸远大于基线的分辨率,因此SC≈0,则灵敏度可以进一步简化为
根据综合孔径的原理,天空中射电源的亮度和可见度函数是一个傅里叶变换对。实际观测的射电图像可以由下式表示[2]:
式中,C为归一化因子;Tk、Wk和wk分别为锥形(Tapering)函数、权重函数和信噪比函数;Vk为可视度函数。考虑图像中心点的噪声与其它点的噪声相同[2],为了计算图像的噪声,将上式简化为一个简单的离散傅里叶变换:
每一个傅里叶变量的误差由SRk的误差决定,也就是ΔSk,这意味着相应的方差(ΔIm)2是每一个傅里叶变量的方差之和。于是通过求平方根得到:
为了将灵敏度的结果用流量每波束表示,选取C=1/(2∑Lk=1TkWkwk)作为归一化因子。在考虑没有Taper(Tk=1)和自然权(Wk=1)的情况,假定日像仪所有的天线特性是一致的,则信噪比也是一致的,wk=w,上式简化为
式中L=N(N-1)(tint/
)/2。假定日像仪每对基线的灵敏度相同ΔSk=ΔS,应用(6)式则上式进一步简化为
瑞利-金斯定律描述了射电源亮度与亮温之间的关系。假定一个流量密度为S,立体角为Ω的源,则由瑞利-金斯定律计算它的亮温:
由此可以根据综合孔径阵列图像的灵敏度推导出图像最小可检测亮温,也就是亮温的灵敏度,如下[2]:
式中,c为光速;Ωs为天线阵的综合波束;θHP 和φHP 分别为综合波束的两个方向的半功率波束宽度。
1.4 日像仪的灵敏度日像仪是一个专门观测太阳射电信号的天文望远镜,由以上的分析可以得到天线系统以及阵列图像的灵敏度。然而,太阳作为一个强的射电展源,和一般的射电源比较有其特殊性。对观测太阳的望远镜来说,天线系统接收的信号中来自太阳的信号占主要部分,它的强度取决于太阳的流量,而太阳的流量又随频率变化很大,因此由以上分析得到的太阳望远镜的灵敏度会随着频率的变化而变化。为了更准确地反映太阳望远镜的灵敏度性能,通常也采用宁静太阳观测时最小可检测温度与天线温度的比值ΔT/Tant以及最小可检测流量与太阳流量比值ΔS/Ssun反映天线系统的检测能力。而对于天线阵列的图像灵敏度可以由宁静太阳时的最小可观测亮温ΔTb(K)反映。同样,如果用流量表示,由于太阳是个展源,其尺寸远大于望远镜的综合波束,阵列的图像灵敏度则由阵列每波束的流量ΔTm(sfu/beam)表示。
2 天线系统的噪声温度分析通常来说,射电望远镜接收的噪声信号来自各种信号源,包括天空背景噪声、天空源的信号、来自地面的噪声、天线的损失噪声和接收机的噪声等等。在射电天文领域,为了分析望远镜系统的噪声温度,需要设定一个系统温度的参考点,天线前或是第1级放大器前端,其中常用的是第1级放大器前端。此时,天线系统的噪声温度可以表示为
式中,Tant为天线接收信号的噪声温度;Tamb为环境温度,通常为290 K;TR为接收机的噪声温度;而ηtran代表传输线的传输效率。
进一步,天线的噪声温度可以分解为天空射电源的温度Ts,天空背景的温度Tbg,大气的温度Tatm,天线的欧姆损耗Tloss以及天线的旁瓣噪声Tsd。考虑到大气的传输效率ηatm、天线的欧姆损耗效率ηloss以及天线旁瓣相对于主瓣的比率Gsl,天线的噪声温度可以表示如下:
其中,天空背景的噪声温度与天线的仰角以及频率有关,也与当地的环境有关。
在日像仪低频阵的噪声温度分析中,文[5]给出天空背景的噪声模型,用(8)式计算天线接收的噪声温度,如图 1。这里假定大气的传输效率ηatm≈0.98;天线的欧姆损耗ηloss≈0.02;测量结果显示日像仪天线的旁瓣相对于主瓣大约低15 dB,计算得Gsl≈0.032。图 1(b)中,长点线是天空背景的噪声模型,点线是据此模型计算所得的天线噪声模型,实线则是日像仪低频阵所有天线测试报告测量所得的接收噪声温度(实际只测了3个频率:590、1 200和1 900 MHz),可以看出文中模型与测量值吻合地比较好,这验证了模型的正确性。
在观测太阳时,天线接收的信号中一部分来自太阳,它可以由太阳的流量密度和天线的有效面积计算得到。其中,天线来自太阳的噪声温度可以表示如下:
为了测量日像仪的灵敏度,需要得到系统的最小可检测噪声温度,或是最小可检测流量。由上面的分析可知,为此必须求得系统的噪声温度,而系统的噪声温度又分为几部分,其中未知的部分为接收机的噪声温度,因此关键是求得日像仪系统接收机的等效噪声温度。Y因子法通常用来测量系统的噪声系数,而系统的噪声温度和噪声系数又是等价的。在应用Y因子法时,需要知道两个已知噪声温度的噪声信号源,通常为50 Ω负载和已知的噪声源。在日像仪系统中,每个前端接收机都有一个定标用的噪声源,原则上可以利用这一噪声源作为已知的噪声源。但是,实际使用中,由于这一噪声源为二极管噪声源,随着时间和环境的变化,它的超噪比(ENR)变化比较大,而对其又很难进行定标,所以用它作为已知噪声源很难准确地测量系统噪声。通过分析发现,当天线的仰角大于 10°时,来自地面的反射噪声信号可以忽略,此时天空背景的噪声可以看做一个近乎理想的噪声源,它具有很好的稳定性和一致性,信号随着时间的变化不大,且天线阵所有的天线接收的信号完全相同。由文[5, 6]可知,天空背景的噪声也基本上是确定的,也就是说可以将50 Ω和天空背景作为Y因子法所需的已知噪声源。这一方法也广泛应用于国外的天线阵列,例如日本的Nobeyama日像仪阵列。
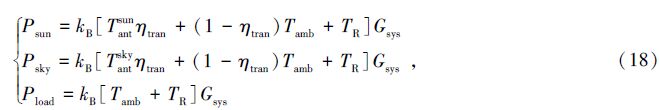
实际的测量中,利用日像仪的低频阵分别对负载、天空背景和太阳进行观测,通过天线和模拟接收机,最后由数字相关接收机输出的自相关信号记录各个频率通道的信号功率。分析整个系统的信号链路,可以建立如下方程组:
式中的Tsunant和Tskyant可以由(8)式求得,
方程组(18)中有3个未知变量,分别是天线的效率ηant、接收机的等效噪声温度TR和系统的增益Gsys。通过求解这3个方程可以得到以上3个未知量。有了接收机的噪声温度,就可以求得天线系统的噪声温度,进而由(6)、 (7)、 (12)和(14)式计算出天线系统的灵敏度以及天线阵的图像灵敏度,同时给出天线阵每个天线的效率以及系统的增益。
4 测量结果分析在灵敏度的测量中,选择一个没有太阳爆发的时候(2014年1月15日)对天空背景、负载和太阳在0.4~2 GHz频率范围内分别进行观测,通过数字相关接收机输出各自的自相关功率。然后运用第3节的方法分别计算得到天线的效率、接收机的增益以及系统的噪声系数/噪声温度,进一步的计算则可以得出天线系统以及阵列的温度灵敏度和流量灵敏度。
观测时的太阳流量如图 2(a),利用国际上给出的太阳标准流量进行线性插值,得到所有观测子频带的太阳流量,同时计算得到太阳的表面亮温如图 2(b)。
|
| 图 2 宁静太阳时观测的标准流量(2014-01-15)以及太阳的表面亮温 Fig. 2 (a) Measured fluxes of the quite sun in January 15. 2014; (b) Measured brightness temperatures of the quite sun |
功率的测试结果如图 3,其中有些天线处于维修状态并没有记录数据,而且有些天线的某些通道存在干扰或是有问题,导致测试的功率并非线性,舍弃这一部分结果。通过上述功率的测量,建立如(18)式的方程组,最终计算得到的天线及接收机的噪声温度、天线效率以及系统增益如图 4。
|
| 图 3 MUSER低频阵中4个天线接收到的太阳(圆形)、负载(方形)以及天空背景(三角形)的信号功率 Fig. 3 Power spectra of the Sun (circle),the load (square),and the sky (triangle) measured by the MUSER antenna array |
|
| 图 4 测量所得的MUSER低频阵天线的噪声温度、接收机的噪声温度、天线效率以及系统增益 Fig. 4 Measured receiver noise temperatures,antenna temperatures induced by solar fluxes,antenna efficiency values,and system gain-factor values of the MUSER antenna array |
日像仪的设计中,系统对天线的指标要求是效率≥40%,接收机的总体噪声系数要求≤2.5,也就是整机噪声要≤226 K。图 4(a)和(b)分别表示测试所得的低频天线以及接收机的噪声温度,其中粗的点线表示所有天线的平均值。可以看到,系统接收机测得的噪声温度保持在200 K左右,也就是噪声系数在2.3 dB左右,基本满足设计指标的要求。然而,在频段间的衔接处,由于系统增益的截止影响,导致测试结果不准确,而且其中一些天线的某些频率由于存在干扰或是天线状态的原因测到的结果并不满足要求,对此将做进一步的分析,从而找到原因并加以解决。另一方面,这一方法为判断整个日像仪系统的工作状态提供了重要参考。
图 4(c)表示天线的效率,同样粗的点线表示40个天线的平均值,由图可以看出大部分天线在观测频段内满足效率大于40%的要求。在1.8~2.0 GHz频段,天线的效率则略低于指标要求,分析后发现,在这一频段天线馈源的驻波以及电桥的插入损耗比较大,而在计算中,由于每个天线的所有频率上的驻波和插损都不相同,其对应的是信号的传输效率,而逐一测试并输入各自对应的插损值进行计算并不现实,因此对所有频段采用了相同的信号传输效率,这导致了计算所得的效率有些偏低。
图 4(d)显示了测试所得的系统增益因子,可以看到在频段内系统的增益很一致,分析后得知增益的平坦度满足系统±1.5 dB的指标要求。而同噪声温度的测量一样,在频段衔接处增益平坦度有一定的偏差。
由灵敏度的计算公式可知,它与射电源的流量有关,这里采用如图 3的太阳流量。利用以上系统噪声和天线效率的测量结果,运用(1)和(2)式分别计算得到射电日像仪天线系统的温度与流量灵敏度,如图 5。日像仪的观测子频率带宽为25 MHz,积分时间最小为3 ms。可以看出,测量的天线温度灵敏度在整个频带小于10 K,相当于宁静太阳时天线温度的0.4%(虚线)以下。而流量灵敏度小于0.5个太阳流量单位(sfu),相当于宁静太阳流量的0.4%(虚线)以下。
|
| 图 5 MUSER天线系统测量的温度和流量灵敏度 Fig. 5 Measured temperatures and sensitivities of the MUSER antenna array |
阵列图像的灵敏度可以利用以上的测量结果分别由(12)和(14)式计算得到,如图 6。观测带宽为25 MHz,当积分时间为3 ms、1 s和1 h时,图像的亮温灵敏度分别为105 K、6 000 K和100 K左右,所对应的流量灵敏度则分别为5×10-3 sfu/beam、3×10-4 sfu/beam和5×10-6 sfu/beam左右。
|
| 图 6 MUSER阵列图像的亮温和流量灵敏度 Fig. 6 Measured brightness temperatures and sensitivities in images obtained using the MUSER antenna array |
文中分析了明安图射电频谱日像仪天线以及阵列图像的灵敏度,运用Y因子法提出了灵敏度的测试方法,给出了温度和流量灵敏度的具体测量结果。结果显示,系统的灵敏度达到了预期的要求。由于灵敏度还与其他因素包括Taper函数、权重函数以及可见度函数的幅度和相位误差等等有关,文中的测试暂时没有考虑这些因素,而且由于日像仪高频阵仍在调试中,这里的测试也没有包括高频阵。下一步将改进测试方法,对高频阵也进行测试。文中的方法能够同时对各个天线的效率、接收机的噪声温度以及系统的增益因子进行测试,通过进一步的分析计算还可以得到各个天线系统的噪声系数以及增益一致性,这一方法间接上也为检测整个日像仪系统的工作状态提供了重要参考。
| [1] | Kraus J D. Radio astronomy[M]. New York: McGraw-Hill, 1966. |
| [2] | Taylor G B, Carilli C L, Perley R A. Synthesis imaging in radio astronomy Ⅱ[C]//Astronomical Society of the Pacific Conference Series. 1999. |
| [3] | Thompson A R, Moran J M, Swenson Jr G W. Interferometry and synthesis in radio astronomy[M].2nd ed. New York: John Wiley & Sons Incorporated, 2001. |
| [4] | 王威, 窦玉江, 颜毅华, 等. CSRH灵敏度分析[J]. 天文研究与技术——国家天文台台刊, 2013, 10(1): 22-25. Wang Wei, Dou Yujiang, Yan Yihua, et al. Analysis of the sensitivity of the CSRH[J]. Astronomical Research & Technology——Publications of National Astronomical Observatories of China, 2013, 10(1): 22-25. |
| [5] | Blake L V. A guide to basic pulse-radar maximum-range calculation[R]//Naval Research Laboratory Report. 1962: 48-50. |
| [6] | Sklar B. Digital communications-fundamentals and applications[M]. London: Prentice Hall, 1988. |


