| Cr-Mn-Ni-N奥氏体不锈钢再结晶激活能计算与模型建立 |
2. 广东广青金属科技有限公司, 广东 阳江 529500
2. Guangdong Guangqing Metal Technology Co., Ltd., Yangjiang 529500, Guangdong, China
Cr-Mn-Ni-N不锈钢是节镍型奥氏体不锈钢,其合金成分中Ni元素含量远低于304不锈钢,Mn元素含量远高于304,而Cr-Mn-Ni-N不锈钢的退火工艺、耐腐蚀及硬度等性能也不同于其他奥氏体不锈钢[1-5]。实际生产中,Cr-Mn-Ni-N不锈钢的化学成分比较固定,为了获得期望的性能,制定退火制度显得尤为重要,因此,需要根据现场设备参数、能力等研究其退火再结晶过程,为退火工艺参数制定提供依据[6-13]。本文研究Cr-Mn-Ni-N奥氏体不锈钢热轧板的退火再结晶行为,测定并分析热轧钢板在不同退火工艺条件下的硬度曲线和组织变化规律,根据Arrhenius公式计算试验钢的再结晶激活能,确定不同退火温度条件下的再结晶时间,为现场生产的工艺制定提供理论指导。
1 试验材料与工艺 1.1 试验材料试验材料为国内某钢厂Cr-Mn-Ni-N奥氏体不锈钢热轧板,其主要化学成分见表 1。试验材料的生产工艺流程为AOD炉→LF炉→连铸(连铸坯断面尺寸为200 mm×1 245 mm)→热轧。热轧板实际厚度为2.4 mm,洛氏硬度HRC为29.1。热轧态试验钢金相组织呈絮状结构,如图 1所示。
|
|
表 1 试验钢主要化学成分 |
![]() |
| 图 1 热轧态试验钢金相组织 |
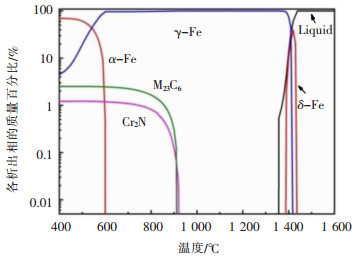
Cr-Mn-Ni-N不锈钢属于典型的亚稳态奥氏体不锈钢,通过热力学软件Thermo-Calc(TCFE8)计算表 1所示成分体系由高温液相冷却至400 ℃的平衡相图,如图 2所示。
![]() |
| 图 2 试验钢的析出相比例 |
由图 2可以看出,Cr-Mn-Ni-N奥氏体不锈钢凝固过程中δ-铁素体在1 387~1 438 ℃温度区间内存在。γ相在1 419 ℃时开始生成,924~1 356 ℃为单相奥氏体区。因此,在1 000~1 250 ℃区间进行热加工不会发生相变,可以保证试验钢为单相奥氏体组织。
使用数控电火花线切割机将试验钢切割成10.0 mm×10.0 mm×2.4 mm的方块用作退火试验试样,对试样用KSL-1700X高温箱式炉进行退火处理。结合现场生产实际情况,制定退火工艺,具体参数见表 2。
|
|
表 2 退火工艺制度 |
退火试验具体方案如下:将退火温度设定为1 120,1 150 ℃和1 180 ℃,退火时间分别设定为30,60,90,120,150,180,210,240 s。退火结束后将试样取出并空冷至室温。依据GB/T 230.1—2004《金属洛氏硬度试验第1部分:试验方法(A、B、C、D、E、F、G、H、K、N、T标尺)》标准对退火后的试样进行硬度测试,通过硬度计测试4点表面洛氏硬度(HRB或HRC)并取平均值,绘制不同退火制度下的硬度变化曲线。将平行于轧制方向的厚度面作为金相观察面,经砂纸打磨、抛光和腐蚀剂(氯化铁+盐酸+乙醇溶液)侵蚀后,在光学显微镜下观察组织形貌。
2 结果与讨论 2.1 退火制度对硬度和组织的影响热轧Cr-Mn-Ni-N奥氏体不锈钢在不同退火温度(1 120 ℃和1 180 ℃)和不同退火时间条件下的硬度变化曲线,如图 3所示。
![]() |
| 图 3 不同退火工艺下的硬度变化曲线 |
由图 3可以看到,1 120 ℃退火条件下,硬度变化过程主要可分为两个阶段。第一阶段,保温时间小于60 s,硬度值下降幅度最大;第二阶段,保温时间为90~240 s,硬度值缓慢下降,并趋于稳定。1 180 ℃退火条件下,硬度变化过程也可分为两个阶段。第一阶段,保温时间小于60 s,硬度值下降幅度最大;第二阶段,保温时间为60~240 s范围内,硬度值趋于稳定,HRB硬度在92.3左右波动。在2种退火温度条件下,随着保温时间增加,试验钢硬度均呈明显降低趋势,并达到一定值后趋于稳定。根据再结晶动力学理论,退火温度对再结晶行为影响较大,同样条件下,退火温度越高,再结晶速度越快,完成再结晶所需的时间也越短[14]。在本试验条件下,得到了相同结果,退火时间不变时,退火温度越高,硬度值越低。
使用金相显微镜对不同退火态试样的金相组织进行观察。试验钢在1 120 ℃和1 180 ℃退火条件下经过不同退火时间得到的金相组织,分别如图 4和图 5所示。
![]() |
| 图 4 试验钢1 120 ℃退火后的组织形貌 |
![]() |
| 图 5 试验钢1 180 ℃退火后的组织形貌 |
由图 4(a)、图 4(b)可知,在1 120 ℃退火条件下,退火时间为30 s和60 s时,再结晶行为不明显。但此退火制度下,试验钢中的位错密度及空位等晶体缺陷已大量减少,因此,60 s时的试验钢HRB硬度(95.6)远低于热轧态试验钢HRB硬度(104.5)。
由图 4(c)、图 4(d)可知,退火时间增加至90 s和120 s时,可在组织内观察到大量的等轴晶,但此时仍有少量新生成的晶核,说明此时正处于再结晶的形核阶段,并且此时晶粒尺寸尚不够均匀。由于此时试验钢的形变储能已大量释放,且位错和空位等晶体缺陷也已大部分消除,因此,试验钢的HRB硬度值降低至120 s时的94.1。
由图 4(e)可知,退火时间增加至150 s时,试验钢已完成再结晶。此时试验钢的形变储能已基本完全释放,且位错和空位等晶体缺陷也已基本消除,因此,试验钢的HRB硬度降低至93.6。
由图 4(f)可知,退火时间增加至180 s时,再结晶晶粒进一步长大,且尺寸较为均匀。
由图 5(a)可以看出,在1 180 ℃退火条件下,其组织形貌与图 1所示热轧态钢板的组织形貌相似,再结晶行为不明显。而此时试验钢中的位错密度及空位等晶体缺陷已大量减少,因此,试验钢硬度大幅度降低,由热轧态时的104.5降低至30 s时的97.0。
由图 5(b)可知,退火时间增加至60 s时,试验钢已基本完成再结晶。此时试验钢的形变储能已基本完全释放,且位错和空位等晶体缺陷也已基本消除,因此,试验钢的硬度大幅度降低,由30 s时的97.0降低至60 s时的93.4。
由图 5(c)、图 5(d)、图 5(e)和图 5(f)可知,退火时间增加至90 s后,晶粒已相互吞食并长大,且晶粒尺寸较为均匀。
比较试验钢1 120 ℃和1 180 ℃退火温度下,金相组织及硬度随退火时间变化可以发现,退火时间相同时,由于退火温度越高,元素扩散越快,再结晶速度越快,硬度值越低。
2.2 再结晶激活能计算与模型建立再结晶是一个热激活过程,在等温退火条件下,退火温度和等温退火时间可由Arrhenius公式来确定[15-16]。
|
(1) |
式(1)中:τ为保温时间,s;A为系数,1/s;R为气体常数,常取8.314 J/(mol·K);Qr为再结晶激活能,kJ/mol;T为退火温度,K。
将试样原始硬度和完全软化后的硬度差定义为100%,定义材料的再结晶温度(时间)为硬度降低为50%时的温度(时间)[17]。结合试验钢退火后的晶粒变化情况可以得到,退火温度1 120 ℃时,再结晶时间为150 s;退火温度1 180 ℃时,再结晶时间为60 s。将试验中测得的再结晶时间及再结晶温度分别代入由式(1)推导得到的式(2)和式(3)中,即可计算出该钢种的再结晶激活能Qr和系数A,计算结果,见表 3。
|
|
表 3 试验钢的再结晶激活能的计算条件和结果 |
|
(2) |
|
(3) |
为了验证计算结果的准确性,再一次进行了恒温变时试验,然后对计算和实测的再结晶温度进行了比较。退火温度为1 150 ℃条件下,不同退火时间热轧Cr-Mn-Ni-N钢的硬度变化曲线,如图 6所示。
![]() |
| 图 6 1 150 ℃退火温度条件下的硬度变化曲线 |
由图 6可知,退火温度为1 150 ℃条件下,再结晶时间为90 s。根据表 3的再结晶激活能和系数按公式(1)计算得到1 150 ℃退火温度条件下,再结晶时间为94 s,计算值与实测值相差仅4 s。根据模型理论Arrhenius公式可知,lnτ和1/T呈线性关系[18]。将3次试验的再结晶测试结果进行数值拟合,结果如图 7所示,并拟合得到线性方程,通过试验验证了模型的可靠性,因此,可利用此式计算不同温度(时间)条件下热轧钢板的再结晶完成时间(温度)。
![]() |
| 图 7 1/T与lnτ再结晶模型 |
1)同等条件下,随着退火温度的升高或者保温时间的延长,试验钢的再结晶晶粒逐渐等轴化并长大,硬度逐渐降低,最后趋于稳定;
2)通过硬度法和金相法测得,1 120 ℃退火温度时,再结晶时间为150 s;1 180 ℃退火温度时,再结晶时间为60 s;
3)本实验条件下,依据Arrhenius公式计算再结晶激活能为257 kJ/mol,并通过再结晶温度(时间)的计算模型:lnτ=-17.27+31021.14/T,可计算任意短时条件或温度条件下的再结晶温度和再结晶时间。
| [1] |
李玉峰, 阮强, 陈安忠, 等. 退火工艺对Cr-Mn-Ni-N奥氏体不锈钢组织和力学性能的影响[J]. 热加工工艺, 2019, 48(22): 155-158. |
| [2] |
裴伟. 常化工艺对50W470无取向硅钢组织和性能的影响[J]. 江西冶金, 2017, 37(6): 1-3. DOI:10.3969/j.issn.1006-2777.2017.06.001 |
| [3] |
王小勇, 张海, 刘建明, 等. 热轧不锈钢复合板力学性能及工艺优化[J]. 中国冶金, 2018, 28(7): 24-27. |
| [4] |
曾周燏, 江姗, 李东晖. TMCP工艺轧制桥梁用不锈钢复合板的组织与性能[J]. 中国冶金, 2017, 27(6): 19-23. |
| [5] |
齐达, 李晶. 200系列不锈钢耐腐蚀性能研究[J]. 钢铁钒钛, 2010, 31(2): 72-76. |
| [6] |
曾莉, 张威, 王琦, 等. 超级奥氏体不锈钢的高温变形行为[J]. 钢铁, 2017, 52(10): 72-77. |
| [7] |
刘承军, 岳莹莹, 史培阳, 等. 热轧不锈钢板酸洗工艺[J]. 中国冶金, 2016, 26(8): 39-44. |
| [8] |
叶育伟, 陈颢, 王永欣, 等. 316L不锈钢表面沉积CrCN薄膜的结构及性能研究[J]. 有色金属科学与工程, 2014, 5(4): 49-54. |
| [9] |
张秀丽, 陈明昕, 刘振宝, 等. 热处理工艺对15-5PH沉淀硬化不锈钢的力学性能与耐蚀性的影响[J]. 钢铁, 2014, 49(8): 70-75. |
| [10] |
陈建华, 夏雪生, 吴洪. 超深冲DC06钢产品开发[J]. 江西冶金, 2016, 36(6): 11-13. |
| [11] |
李卫东, 李婧, 赵向南, 等. 低温热处理对202不锈钢电阻焊焊接接头组织和性能的影响[J]. 有色金属科学与工程, 2015, 6(4): 66-69. |
| [12] |
黄林森. 低合金高强度Q460C钢板轧制生产实践[J]. 江西冶金, 2013, 33(6): 40-42. |
| [13] |
SUN J L, CHEN B, LIU F, et al. Effect of heat treatment on microstructure and pitting corrosion resistance of austenitic stainless steel[J]. Heat Treat Met, 2019, 44(13): 119. |
| [14] |
ZOU D N, ZHANG Y B, HAN Y, et al. Effect of annealing temperature on microstructure and properties of X10CrAlSi18 heat resistant ferritic stainless steel[J]. Heat Treatment of Metals, 2017, 42(11): 139-143. |
| [15] |
李筱, 卫英慧. 含氮马氏体不锈钢420U6冷轧板再结晶退火的热模拟试验[J]. 特殊钢, 2019, 40(2): 5-8. |
| [16] |
包永千. 金属学基础[M]. 北京: 冶金工业出版社, 1986.
|
| [17] |
丁志龙, 斯松华. 铌含量对冷轧带钢退火再结晶组织和性能的影响[J]. 金属热处理, 2014, 39(4): 81-84. |
| [18] |
徐清亮, 林大为, 王淼. 冷轧高强IF钢再结晶温度的测定[J]. 金属热处理, 2007, 32(10): 14-17. |
2020, Vol. 40









