2. 海洋国家实验室海洋矿产资源评价与探测技术功能实验室, 山东 青岛 266071
2. Laboratory for Marine Mineral Resources, National Laboratory for Marine Science and Technology, Qingdao 266071, Shandong, China
0 引言
波动方程法是地震波在地下复杂介质中传播数值模拟的重要方法。通过波动方程法进行地震波正演数值模拟时,一般都需要增加人工边界,将无限区域截断成有限区域。为了消除由人工边界引起的边界反射,目前有很多种吸收边界方法。在完全匹配层吸收边界之前,最常用的是基于旁轴近似的单程波动方程吸收边界条件[1]。Reynold也提出了相似的吸收边界[2]。这种边界对小角度入射波吸收效果较好且容易编程,因此广泛应用于数值模拟[3],但对高角度入射波的吸收效果比较差。另一种常用的吸收边界是海绵边界条件[4],即在边界处添加一个空间滤波器,但该边界需要内部到外界的过渡区足够大且光滑,而且该方法的计算量较大,因此没有广泛应用[5]。
Berenger[6]于1994年基于Maxwell方程提出了新的吸收边界:完全匹配层(perfect matched layer, PML)。这种边界的原理是:在研究区域外加吸收层,使边界上传入吸收层的波随传播距离的增加而衰减,且不产生边界反射。相比于传统的吸收边界,PML有着更好的吸收效果。经典的PML是由复坐标伸展变换(complex coordinate stretching, CCS)推导给出的[7]。Colino等[8]对一阶方程实现PML的应用,Komatitsch等[9]将其扩展到二阶方程,并推导出分裂的PML公式(SPML),然而CCS存在一定的缺陷,即无法吸收高角度的入射波和瞬逝波。Kuzuoglu等[10]提出复频移(complex frequency shift, CFS)PML,能够对高角度入射波进行衰减,Bérenger[11]同样验证了CFS-PML边界条件对瞬逝波具有显著的吸收效果,但是CFS-PML边界条件需要对微分系统引入过多辅助变量,求解该系统需要计算大量卷积或者对波场进行分裂,代价巨大。Roden等[12]提出CPML(convolutional-PML)边界条件,利用递归方法求解卷积。Komatitsch等[13]用该方法解决一阶速度-应力系统弹性波方程,随后该方法被引入到多孔弹性介质[14]、各向异性介质[15]以及黏弹性介质[16]。Pasalic等[17]给出基于CPML吸收边界的二阶各向同性和各向异性声波方程数值模拟方法。Drossaert等[18]提出递归积分法(RI-PML),通过计算积分替代卷积。在过去的十多年,PML边界条件均在一阶系统的背景下发展,而关于二阶系统PML吸收边界的研究较少。Komatitsch等[19]首次将PML边界引入二阶弹性波的分裂波场PML。刑丽[20]将二阶分裂PML边界应用到声波方程中,尽管该方法的吸收有效,但是在实现时却占用大量内存。Pinton等[21]给出了声波方程不分裂的PML吸收边界,并应用到超声波成像中,然而该方法涉及反卷积。
受Komatitsch等[19]的启发,本文利用迭代格式代替卷积的思想来构建二阶非分裂CPML边界条件。文中首先介绍常规二阶系统SPML与CPML吸收边界存在的不足,并推导了二阶非分裂NCPML(new-CPML)边界声波时间域控制方程,从数学角度证明该方法的有效性;随后,通过模型测试,从内存占用、运行速度及吸收效果等多个角度对比本文推导的二阶NCPML吸收边界和二阶SPML吸收边界,证明本文方法的优势;最后用简单的均匀模型、分层模型以及复杂的Marmousi模型证明本文方法对不同介质模型的准确性及适定性。
1 PML吸收边界PML有分裂和非分裂两种实现形式。常规波场分裂方法(SPML)需要对波场分量进行分裂[19],在分裂方程中添加PML吸收边界。SPML需要对波场进行分离,增加了方程数以及计算量。常规非分裂卷积完全匹配层(CPML)是通过推导一阶CPML方程消除记忆变量得出二阶方程[22],但该方法内存占用较高,不适用于实际应用。相比于常规的SPML以及CPML吸收边界,本文推导了新的二阶系统CPML吸收边界(NCPML),其思想是在复数-频率域中忽略部分衰减因子空间变化特性,避免其在时间域产生复杂卷积算子,然后反变换至时间域得到基于CPML吸收条件的二阶标量波方程。
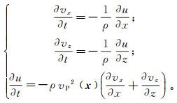
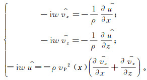
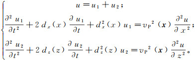
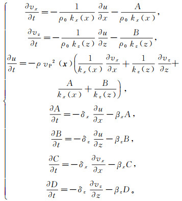
下面以一阶时间域声波方程为例:
(1) 式中:vx和vz分别为x和z方向的粒子速度;u为声压;t为时间;ρ和vP2(x)分别为介质密度和纵波速度;x为空间位置。
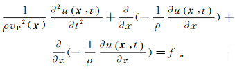
将方程(1)中的vx和vz带入压力波场,可得对应的二阶声波方程:
(2) 当介质为均匀条件时,将方程(2)变换到频率域可得
(3) 式中:
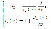
在计算域人工边界增加PML区域。以x方向为例,具体可以表示为:
(4) 式中:
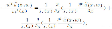
将式(4)带入方程(3)可得频率域PML控制方程:
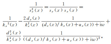
(5) 式中,sz(z)为z方向的复拉伸变量。
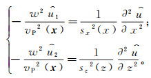
1.1 常规SPML吸收边界对方程(5)作Fourier反变换即可得时间域PML控制方程。但是直接作反变换需要用时间域的褶积,通常对波场进行分裂:
(6) 这样,对方程(5)进行相应的分解:
(7) 将方程(7)进行Fourier反变换,可得时间域PML控制方程:
(8) 式中,dz(z)为z方向的衰减系数。
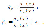
1.2 常规二阶CPML吸收边界不同于常规的SPML吸收边界,以x方向为例,CPML吸收边界复数坐标
(9) 式中:kx(x)是衰减渐消波的参数,kx(x)≥1;αx(x)为Butterworth滤波的一个依赖项,αx(x)≥0;dx(x)>0。在非CPML吸收层中,kx(x)=1且dx(x)=0。
在CPML吸收层中,通常取x方向的参数如下[25]:
(10) 其中:
(11) 式中:x0和d分别为CPML边界的起始位置坐标和厚度;n1和n2为CPML层衰减变化的指数因子,n3为CPML层频移变换尺度的指数因子,通常取n1=2, n2=0, n3=1[26-31];vmax为速度最大值;R0为理论反射系数[22],这里取R0=1×10-6;fc是CPML层中对应截断频率的特征频率。
kz(z)、dz(z)、αz(z)与kx(x)、dx(x)、αx(x)的表达式一致,参数选择类似。
将方程(1)变换到频率域可得:
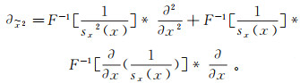
(12) 将方程(4)带入方程(12)并作Fourier反变换可得:
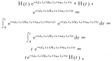
(13) 式中:*表示卷积;F-1表示Fourier反变换。根据Roden[12]可知
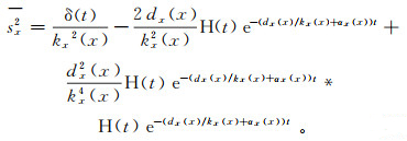
(14) 其中,
(15) 式中:δ(t)为Dirac函数;H(t)表示单位阶跃函数。将方程(14)带入方程(13)中的第一个方程可得
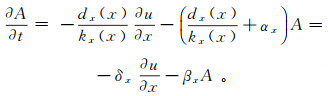
(16) 式中,A是为了消除卷积而引入的记忆变量:
(17) 为了求解方程(16),需要求出A对时间的偏导:
(18) 其中:
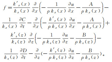
对方程(13)的其他两个方程也进行上述计算,得出最终的一阶时间域CPML方程:
(19) 式中:δz和βz为与δx和βx相似的方程;A、B、C、D是为消除卷积引入的记忆变量。进一步整理方程(19),可得二阶CPML吸收边界时间域方程:
(20) 其中:
(21) 式中,k′x, z=kx, z-1。
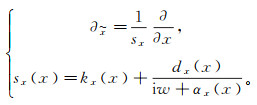
1.3 二阶非分裂CPML吸收边界(NCPML)将方程(9)带入频率域声波方程(方程(3))可得
(22) 通过Fourier反变换得到时间域控制方程,但是方程右端会产生卷积项。以x方向为例:
(23) 为了避免产生复杂卷积算子,这里忽略空间变化对衰减因子
(24) 由方程(9)可得
(25) 将方程(25)代入方程(22)可得
(26) 根据Fourier变换的性质,δ(t)的Fourier变换是1,e-atH(t)的Fourier变换是1/(a+iw)。因此得方程(26)的Fourier反变换,记为
(27) 其中,
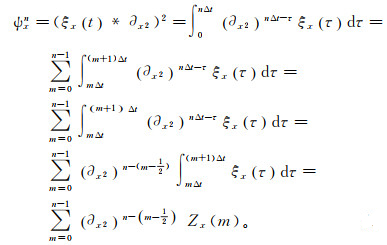
(28) 将方程(27)和方程(28)带入方程(24)得
(29) 取
(30) 为了计算
(31) 其中,
(32)
(33)
(34) 因为方程(32)是简单的指数,所以方程(31)可以写成递推形式:
(35) 在PML边界内通过以下方程进行坐标变换后计算可得
(36) 式中,ψxn由方程(35)递推关系得到。
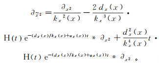
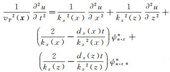
最后将方程(36)代入方程(2)可得基于NCPML时间域标量波方程:
(37) 本文推导的二阶非分裂NCPML吸收边界时忽略了衰减因子空间变化的特性(方程(24)),频率域考虑衰减因子空间变化的方程为
(38) 为了分析衰减因子空间变化的影响,本文以2 000 m×2 000 m的均匀介质模型为例,分别采用忽略衰减因子空间变化的NCPML吸收边界与不忽略衰减因子空间变化的CPML吸收边界进行测试。图 1是忽略衰减因子空间变化的NCPML边界和不忽略衰减因子空间变化的CPML吸收边界在550 ms时刻的波场快照,可以看出两种吸收边界对人工边界产生的反射波都具有良好的吸收效果,在边界处没有明显的虚假反射。为了定量分析两种吸收边界的吸收效果,对比图 1中虚线处(在x=1 000 m的垂线上)两种吸收边界数值模拟得出的波场值与理论值,结果如图 2所示。其中理论值是通过增加计算区域得出,其计算结果等同于对边界处的透射波完全吸收。从图 2可以看出本文推导的二阶非分裂NCPML吸收边界与考虑空间变化的CPML吸收边界的吸收效果相差不大。
|
| a. NCPML吸收边界;b. CPML吸收边界。 图 1 不同吸收边界条件下550 ms时刻波场快照 Fig. 1 Wavefield snapshot at 550 ms under different absorption boundary conditions |
|
|
|
| a.波形图;b.波形值与理论值的振幅差。 图 2 不同吸收边界条件下550 ms时刻波形图对比(x=1 000 m) Fig. 2 Waveforms computed by different absorption boundaries at postion (x=1 000 m) |
|
|
表 1是两种吸收边界计算时间及占用内存统计表。从表 1中可以看出,本文提出的NCPML吸收边界所需要的内存以及时间均少于考虑衰减因子空间变化的CPML边界。所以,本文推导的NCPML吸收边界虽然忽略了衰减因子空间变化,牺牲了一定的吸收效果,但减少了内存的使用,提高了运行效率。
| 算法类型 | 计算时间/s | 内存/Mb |
| NCPML边界 | 22.800 | 0.763 |
| CPML边界 | 24.600 | 1.068 |
为了测试本文推导的NCPML吸收边界吸收效果,建立了如下数值模拟计算模型。模型大小为2 000m×2 000 m,空间步长为10 m,时间采样间隔为0.000 8 s,震源采用主频为20 Hz的雷克子波,震源位于(1 000 m, 1 000 m)处;PML吸收层数是60个网格厚度;计算到1.0 s;采用时间二阶差分精度和空间十阶差分精度[22]。
图 3a、b、c分别是未加吸收边界、常规二阶SPML吸收边界和二阶NCPML吸收边界模型550 ms时刻的波场快照。由图 3a可知:不加吸收边界时,透射波传播到边界时被完全反射(图 3a);而加载SPML和NCPML吸收边界后的波场(图 3b、c)边界处透射波明显被吸收衰减。由此可见,常规的SPML吸收边界与二阶NCPML吸收边界对人工边界产生的反射波都具有良好的吸收效果,在边界处没有明显的虚假反射。
|
| a.未加吸收边界;b. SPML吸收边界;c. NCPML吸收边界。 图 3 不同吸收边界条件下的550 ms时刻波场快照 Fig. 3 Wavefield snapshot at 550 ms under different absorption boundary conditions |
|
|
图 4a是分别用常规二阶SPML吸收边界和本文提出的二阶NCPML吸收边界算法数值模拟(1 000 m, 0 m)处地震记录数值解与理论值的对比,总体来说,两种吸收边界的计算结果与理论值很接近,误差主要出现在510~610 ms的时间段。图 4b是对图 4a中虚线框部分的放大,二阶NCPML吸收边界模拟结果与理论值基本重合,SPML吸收边界模拟结果存在一定误差,波形振幅偏高。为了更加直观地定量分析两者的误差,将常规二阶SPML和二阶NCPML吸收边界模拟的地震记录与理论值作差,结果如图 4c所示,SPML吸收边界模拟记录的误差最大值达到3.4×10-3,而二阶NCPML吸收边界模拟记录的误差最大值仅为1.3×10-3,大约是常规二阶SPML的1/3。因此,二阶NCPML吸收边界对于边界处的吸收效果要优于常规二阶SPML。
|
| a.地震记录数值对比图;b.地震记录数值对比图虚线框部分放大;c.不同吸收边界与理论值作差对比图。 图 4 (1 000 m, 0 m)处地震记录对比图 Fig. 4 Comparison of seismic records for displacements at postion (1 000 m, 0 m) |
|
|
表 2统计了两种不同边界得到的地震记录累计绝对误差和累计相对误差,其中绝对误差是对误差值取平方和,相对误差是与未加边界时的反射值作对比。从表 2中可以看出,本文提出的NCPML吸收边界计算精度比传统二阶SPML吸收边界高。
| 误差 | 绝对误差/10-4 | 相对误差/% |
| SPML边界 | 18.00 | 11 |
| NCPML边界 | 3.48 | 2 |
图 5是550 ms和580 ms时刻用两种边界条件计算得到的波形曲线(在x=1 000 m的垂直线上)波场值与理论值的对比。由图 5可见,虽然在边界附近仍存在微弱的反射波,但在NCPML吸收边界下的反射波振幅值明显小于SPML边界。
|
| 在x=1 000 m的垂直线上。 图 5 不同吸收边界条件下550 ms(a)和580 ms(b)时刻波形图 Fig. 5 Waveforms computed by different absorption boundary at 550 ms (a) and 580 ms (b) |
|
|
图 6是550 ms和580 ms时刻两种边界计算值(在x=1 000 m的垂直线上)与理论值之间振幅差。观察可知,相比于常规的SPML吸收边界,本文提出的二阶NCPML吸收边界的计算精度更高,最接近于理论值。
|
| 在x=1 000 m的垂直线上。 图 6 不同吸收边界条件下550 ms(a)和580 ms(b)时刻波形曲线与理论值的振幅差 Fig. 6 Amplitude deviation between theoretical value and computed by different PML boundary conditions at 550 ms (a) and 580 ms (b) |
|
|
为了验证本文方法对于复杂模型的适定性与稳定性,本文采用层状模型进行测试,模型大小为2 000 m×2 000 m,空间步长为10 m,时间采样间隔为0.000 8 s,震源采用主频为20 Hz的雷克子波,震源位于(1 000 m, 0 m)处;PML的吸收层数是60个网格厚度;采用时间二阶差分精度和空间十阶差分精度。介质为四层介质模型(图 7),不考虑密度变化,第一、二、三、四层纵波速度vP分别为1 500、2 000、2 400、4 000 m/s。
|
| 图 7 层状纵波速度模型 Fig. 7 Velocity of longitudinal wave for layered model |
|
|
图 8a是分别用常规SPML吸收边界和二阶NCPML吸收边界算法数值模拟检波点(500 m, 0 m)处地震记录数值解与理论值的对比图,理论值通过大幅增加计算区域得到,其计算结果等同于对边界处的透射波进行完全吸收。总体来说,两种吸收边界的计算结果与理论值很接近,误差主要出现在510~550 ms时间段。图 8b是图 8a中虚线框部分的放大图,二阶NCPML吸收边界模拟结果与理论值基本重合,SPML吸收边界模拟结果存在一定误差,波形振幅偏高。为了更加直观地定量分析两者的误差,将常规二阶SPML和二阶NCPML吸收边界模拟的地震记录与理论值作差,结果如图 8c所示,SPML吸收边界模拟记录的误差最大值达到0.021,而二阶NCPML吸收边界模拟记录的误差最大值仅为0.008,大约是常规二阶SPML的1/3。因此,二阶NCPML吸收边界对于边界处的吸收效果要优于常规二阶SPML。
|
| a.地震记录数值对比图;b.地震记录数值对比图虚线框部分放大;c.不同吸收边界与理论值作差对比图。 图 8 (500 m, 0 m)处的地震记录对比 Fig. 8 Comparison of seismic records for displacements at (500 m, 0 m) |
|
|
图 9是1 200 ms和1 400 ms时刻用两种边界条件计算得到的波形曲线(在x=1 000 m的垂直线上)。由图 9可见,虽然在边界处仍然存在一定的反射波,但是NCPML吸收边界下的反射波振幅值比SPML吸收边界下的振幅更小。
|
| 在x=1 000 m的垂直线上。 图 9 不同吸收边界条件下1 200 ms(a)和1 400 ms(b)时刻的波形图 Fig. 9 Waveforms computed by different absorption boundary conditions at 1 200 ms (a) and 1 400 ms (b) |
|
|
图 10是1 200 ms和1 400 ms时刻用两种边界计算(在x=1 000 m的垂直线上)得到的波场值与理论值之间的振幅偏差。观察可知,本文提出的NCPML吸收边界的计算精度更高,与理论值最接近。
|
| 在x=1 000 m的垂直线上。 图 10 不同吸收边界条件下1 200 ms(a)和1 400 ms(b)时刻的波形曲线与理论值的振幅差 Fig. 10 Amplitude deviation between theoretical value and different PML boundary conditions at 1 200 ms (a) and 1 400 ms (b) |
|
|
为了进一步验证本文二阶NCPML吸收边界对于复杂模型的适定性与稳定性,采用复杂的Marmousi模型进行测试。如图 11所示,模型大小为8 000 m×2 000 m,空间步长为10 m,震源采用主频为20 Hz的雷克子波,时间间隔是0.000 8 s,震源激发位置位于坐标(4 000 m, 0 m)的位置,检波器布置在表面。
|
| 图 11 Marmousi模型的纵波速度 Fig. 11 Velocity of longitudinal wave for Marmousi model |
|
|
图 12是常规SPML吸收边界以及本文的二阶NCPML吸收边界计算得到的地面单炮记录。为了凸显下层反射,使用振幅增强的方式将地震记录显示出来。观察可见,通过两种不同的吸收边界得到的地震记录都没有明显的虚假反射波,证明本方法对于复杂模型的数值模拟稳定性良好。
|
| a. SPML吸收边界;b. NCPML吸收边界。 图 12 Marmousi模型的单炮记录 Fig. 12 Seismic records for Marmousi model activated by one shot |
|
|
二阶NCPML吸收边界相对于常规二阶SPML吸收边界的优势在于内存优化,同时计算效率也能够得到大幅提升。表 3为同一台电脑上不同吸收边界算法内存与效率分析,测试模型分别为均匀模型、层状模型以及复杂的Marmousi模型。测试过程中不考虑I/O耗时,只截取运算部分时间。
| 算法类型 | 计算时间/s | 内存分配 | ||
| 均匀模型 | 层状模型 | Marmousi模型 | ||
| SPML边界 | 19.960 | 28.897 | 325.202 | 7个二维数组:u(t+Δt)、u1(t+Δt)、u1(t)、u1(t-Δt)、u2(t+Δt)、u2(t)、u2(t-Δt) |
| NCPML边界 | 18.638 | 24.185 | 248.402 | 5个二维数组:ψx(t)、ψz(t)、u(t+Δt) u(t)、u(t-Δt)、 |
从表 3可以看出,本文推导的二阶NCPML吸收边界的计算速度比传统的二阶SPML吸收边界的计算速度快,对同一个二维模型进行正演模拟,NCPML边界的内存占用要比传统的SPML边界减少28.5%。当模型较小时,两者的速度差别不大;但是随着模型的复杂度和总计算时间的增加,NCPML吸收边界在计算速度和内存方面的优势就能体现出来。
特别地,对三维模型进行测试时,NCPML吸收边界需要6个三维数组,而常规SPML吸收边界需要10个三维数组,NCPML占用内存约占SPML内存的50%,NCPML吸收边界在计算效率和内存优化方面的优势将会更加明显。
3 结论本文基于传统的一阶系统CPML吸收边界推导了新的二阶系统的卷积完全匹配层(NCPML)吸收边界条件时间域控制方程,通过忽略复数-频率域中部分衰减因子的空间变化,避免其在时间域产生复杂卷积算子,并利用递归的思想避免直接求取卷积,通过Fourier反变换至时间域得到基于CPML吸收条件的二阶标量波波方程,进而应用于正演模拟。该方法得到适应性和稳定性较好的模拟结果,通过算法分析和模型测试得到以下认识:
1) 本文首先推导了NCPML边界时间域标量波方程以实现高精度正演模拟,通过数学证明和简单的均匀、层状模型测试,验证了NCPML与SPML边界都对边界反射有良好的吸收效果,并且NCPML边界吸收效果优于传统的SPML边界。其次通过复杂的Marmousi模型,验证了NCPML边界的准确性和稳定性。
2) NCPML吸收边界在内存方面有很大的优势,对同一个二维模型分别用NCPML边界和SPML边界进行正演模拟,NCPML边界对内存的使用量要比传统的SPML边界减少28.5%。该方法可以推广至三维情况,相较于传统的SPML,内存与精度优势更加明显,当模型扩展到三维时,内存减少达50%。
3) 通过CPML衰减因子空间变化分析,本文推导的NCPML虽然忽略了衰减因子的空间变化,牺牲了一定的吸收效果,但是相比于常规二阶系统CPML边界所需的计算时间和内存更少,计算效率得到很大提高。
| [1] |
Clayton R, Engquist B. Absorbing Boundary Conditions for Acoustic and Elastic Wave Equations[J]. Bulletin of the Seismological Society of America, 1977, 67(6): 1529-1540. |
| [2] |
Reynolds C A. Boundary Conditions for the Numercial Solution of Wave Propagation Problems[J]. Geophysics, 1978, 43(6): 1099-1110. DOI:10.1190/1.1440881 |
| [3] |
廉西猛, 张睿璇. 地震波动方程的局部间断有限元方法数值模拟[J]. 地球物理学报, 2013, 56(10): 3507-3513. Lian Ximeng, Zhang Ruixuan. Numerical Simulation of Seismic Wave Equation by Local Discontinuous Galerkin Method[J]. Chinese Journal of Geophysics, 2013, 56(10): 3507-3513. DOI:10.6038/cjg20131025 |
| [4] |
Cerjan C, Kosloff D, Kosloff R. A Nonreflecting Boundary Condition for Discrete Acoustic and Elastic Wave Equations[J]. Geophysics, 1985, 50(4): 705-708. |
| [5] |
廉西猛, 单联瑜, 隋志强. 地震正演数值模拟完全匹配层吸收边界条件研究综述[J]. 地球物理学进展, 2015, 30(4): 1725-1733. Lian Ximeng, Shan Lianyu, Sui Zhiqiang. An Overview of Research on Perfectly Matched Layers Absorbing Boundary Condition of Seismic Forward Numerical Simulation[J]. Progress in Geophysics, 2015, 30(4): 1725-1733. |
| [6] |
Berenger J P. A Perfectly Matched Layer for the Absorption of Electromagnetic Waves[J]. Journal of Computation Physics, 1994, 114(2): 185-200. |
| [7] |
Chew W C, Weedon H W. A 3D Perfectly Matched Medium from Modified Maxwell's Equation's with Stretched Coordinates[J]. Microwave and Optical Technology Letters, 1994, 7(13): 599-604. DOI:10.1002/mop.4650071304 |
| [8] |
Collino F, Tsogka C. Application of the Perfectly Matched Absorbing Layer Model to the Linear Elastodynamic Problem in Anisotropic Heterogeneous Media[J]. Geophysics, 2001, 66(1): 599-604. |
| [9] |
Komatitsch D, Trompt J. A Perfectly Matched Layer Absorbing Boundary Condition for the Second-Order Seismic Wave Equation[J]. Geophysical Journal International, 2003, 154(1): 153-465. |
| [10] |
Kuzuogulu M, Mittra R. Frequency Dependence of the Constitve Paraments of Causual Perfectly Matched Anisotropic Absorbers[J]. IEEE Microwave and Guided Wave Letters, 1996, 6(12): 447-449. DOI:10.1109/75.544545 |
| [11] |
Berenger P J. Numercial Reflection from FDTD-PMLs:A Comparison of the Split PML with the Unsplit and CFS PMLs[J]. IEEE Transactions on Antennas and Propagation, 2002, 50(3): 258-265. DOI:10.1109/8.999615 |
| [12] |
Roden A J, Gedney D S. Convolution PML(CPML):An Efficient FDTD Implementation of the CFS-PML for Arbitrary Media[J]. Microwave and Optical Technology Letters, 2000, 27(5): 334-339. DOI:10.1002/1098-2760(20001205)27:5<334::AID-MOP14>3.0.CO;2-A |
| [13] |
Dimitri K, Roland M. An Unsplit Convolutional Perfectly Matched Layer Improved at Grazing Incidence for the Seismic Wave Equation[J]. Geophysics, 2007, 72(5): :M155-:M167. DOI:10.1190/1.2757586 |
| [14] |
Martin R, Komatitsch D, Ezziani A. An Unsplit Convolutional Perfectly Matched Layer Improved at Grazing Incidence for Seismic Wave Propagation in Poroelastic Media[J]. Geophysics, 2008, 73(4): T51-T61. DOI:10.1190/1.2939484 |
| [15] |
Martin R, Komatitsch D, Ezziani A. A Variational Formulation of a Stabilized Unsplit Convolutional Perfectly Matched Layer for the Isotropic or Anisotropic Seismic Wave Equation[J]. Computer Modeling in Engineering & Sciences, 2008, 37(3): 274-304. |
| [16] |
Martin R, Komatitsch D. An Unsplit Convolutional Perfectly Matched Layer Technique Improved at Grazing Incidence for the Viscoelastic Wave Equation[J]. Geophysical Journal International, 2009, 179(1): 333-344. DOI:10.1111/j.1365-246X.2009.04278.x |
| [17] |
Pasalic D, McGarry R. Convolutional Perfectly Matched Layer for Isotropic and Anisotropic Acoustic Wave equations[C]//SEG Technical Program Expanded Abstracts 2010.[S.l.]: Society of Exploration Geophysicists, 2010: 2925-2929.
|
| [18] |
Drossaert F H, Giannopoulos A. Nonsplit Complex Frequency-Shifted PML Based on Recursive Integration for FDTD Modeling of Elastic Waves[J]. Geophysics, 2007, 72(2): T9-T17. |
| [19] |
Komatitsch D, Trompt J. A Perfectly Matched Layer Absorbing Boundary Condition for the Second-Order Seismic Wave Equation[J]. Geophysical Journal International, 2003, 154(1): 146-153. DOI:10.1046/j.1365-246X.2003.01950.x |
| [20] |
刑丽. 地震声波数值模拟中的吸收边界条件[J]. 上海第二工业大学学报, 2006, 23(4): 272-278. Xing Li. Absorbing Boundary Conditions for the Numerical Simulation of Acoustic Waves[J]. Journal of Shanghai Second Polytechnic University, 2006, 23(4): 272-278. DOI:10.3969/j.issn.1001-4543.2006.04.002 |
| [21] |
Pinton G F, Dahl J, Rosenzweig S, et al. A Heterogeneous Nonlinear Attenuating Full-Wave Model of Ultrasound[J]. IEEE Transactions on Ultrasonics, Ferroelectrics, and Frequency Control, 2009, 56(3): 474-488. DOI:10.1109/TUFFC.2009.1066 |
| [22] |
李义丰, 李国峰, 王云. 卷积完全匹配层在两维声波有限元计算中的应用[J]. 声学学报, 2010, 35(6): 601-607. Li Yifeng, Li Guofeng, Wang Yun. Application of Convolution Perfectly Matched Layer in Finite Element Method Calculation for 2D Acoustic Wave[J]. Acta Acustica, 2010, 35(6): 601-607. |
| [23] |
王守东. 声波方程完全匹配层吸收边界[J]. 石油地球物理勘探, 2003, 38(1): 31-34. Wang Shoudong. Acoustic Wave Equation Perfectly Matches Layer Absorption Boundary[J]. Oil Geophysical Prospecting, 2003, 38(1): 31-34. DOI:10.3321/j.issn:1000-7210.2003.01.007 |
| [24] |
胡光辉, 王立歆, 方伍宝. 全波形反演方法及应用[M]. 北京: 石油工业出版社, 2014. Hu Guanghui, Wang Lixin, Fang Wubao. Full Waveform Inversion Method and Application[M]. Beijing: Petroleum Industry Press, 2014. |
| [25] |
李青阳, 吴国忱, 梁展源. 基于PML边界的时间高阶伪谱法弹性波场模拟[J]. 地球物理学进展, 2018, 33(1): 228-235. Li Qingyang, Wu Guochen, Liang Zhanyuan. Time Domain High-Order Pseudo Spectral Method Based on PML Boundary for Elastic Wavefield Simulation[J]. Progress in Geophysics, 2018, 33(1): 228-235. |
| [26] |
Festa G, Nielsen S. PML Absorbing Boundaries[J]. Bulletin of the Swismological Society of America, 2003, 93(2): 891-903. |
| [27] |
Li Yifeng, Bou M O. Convolutional Perfectly Matched Layer for Elastic Second-Order Wave Equation[J]. The Journal of the Acoustical Society of America, 2010, 127(3): 1318-1327. DOI:10.1121/1.3290999 |
| [28] |
田坤, 黄建平, 李振春, 等. 实现复频移完全匹配层吸收边界条件的递推卷积方法[J]. 吉林大学学报(地球科学版), 2013, 43(3): 1022-1032. Tian Kun, Huang Jianping, Li Zhenchun, et al. Recursive Convolution Method for Implementing Complex Frequency-Shifted PML Absorbing Boundary Condition[J]. Journal of Jilin University (Earth Science Edition), 2013, 43(3): 1022-1032. |
| [29] |
袁伟良, 梁昌洪. 理想匹配层的综合优化[J]. 通信学报, 2000, 21(3): 47-51. Yuan Weiliang, Liang Changhong. General Optimization of the Perfectly Matched Layers[J]. Journal of China Institute of Communications, 2000, 21(3): 47-51. DOI:10.3321/j.issn:1000-436X.2000.03.009 |
| [30] |
Katsibas T K, Antonopulos C S. A General Form of Perfectly Matched Layers for Three-Dimensional Problems of Acoustic Scattering in Lossless and Lossy Fliuid Media[J]. IEEE Transactions on Ultrasonics, Ferroelectrics, and Frequency Control, 2004, 51(8): 927-976. |
| [31] |
刘有山, 刘少林, 张美根, 等. 一种改进的二阶弹性波动方程的最佳匹配层吸收边界条件[J]. 地球物理学进展, 2012, 27(5): 2113-2122. Liu Youshan, Liu Shaolin, Zhang Meigen, et al. An Improved Perfectly Matched Layer Absorbing Boundary Condition for Second Elastic Wave Equation[J]. Progress in Geophysics, 2012, 27(5): 2113-2122. |


