易逝品(perishable product),也称短生命周期产品,具有生产期长、销售期短等特征。随着科技的发展和竞争的加剧,当今越来越多的产品生命周期缩短,呈现出易逝品的特征。对iphone、数码相机这类易逝品的研究也日益引起学术界的关注。就易逝品的订货时机而言,供应商(制造商)和零售商的偏好各不相同。由于决策环境的不确定,零售商容易过量订货或订货不足,因而偏好延迟订货(delayed order,简称晚订),以期获得更为准确的需求信息,订货更接近真实需求。另一方面,供应商通常鼓励零售商预先订货(advance order,简称预订),从而根据预订情况合理安排生产,降低风险。例如Jabil电子公司就在2005年的年报中披露,由于客户没有在生产计划前预订,因而公司难以安排生产计划和充分利用生产设施,从而造成不少经济损失[1]。总之,供应商和零售商对于订货时机的选择偏好通常是冲突的,它们往往站在自身的立场上,而忽略了整个供应链最优化。由此自然引发这样一个问题:供应商和零售商对订货时机的偏好是否有相同之处呢?若通过分析找到了偏好相同的区域,就可以得到订货时机的Pareto最优区,零售商在此区域订货可以达到系统最优的效果。
关于易逝品订货时机方面的文献,可分类为供应商面对单个零售商、供应商面对单个以上零售商两种情况。第一种情况又可分为零售商只有一次订货机会、允许零售商有一定柔性两类。零售商只有一次订货机会的文献如Zhao等[2],该文在一个需求具有时序相关性的两级供应链环境下,提出了一个分析模型以量化预订的收益,并得到一个决策规则以判断预订是否有益于供应链整体;Tong[3]探讨了报童环境下指数分布型需求的零售商延迟订货时的供应链效益问题;苏菊宁等[4]探讨了需求预测精度与批发价都随订货提前期压缩而变化的博弈问题。允许零售商有一定柔性包括二次订货、数量弹性、期权、回购等方式,这方面的文献如Cachon[5]探讨了柔性合同框架下的二次订货问题;Wu[6]探讨了需求预测更新下的数量弹性契约问题;Chen等[7]研究了信息更新情形下的易逝品供应链回购契约协调问题。在第2种情况即供应商面对单个以上零售商的环境,这方面的文献又可分为零售商具有同质性、各零售商不具同质性两类。当各零售商具有同质性,谢金星和王淼[8]研究了供应商面对多个同质的零售商时,采用基于提前订货时段的折扣策略来引导零售商提前订货策略问题。当各零售商不具同质性时,Bakal和Geune[1]探讨了短生命周期产品市场中一个供应商面对一主一次两个零售商的情形,作者在假定次零售商晚订的情况下,分析了主零售商的订货时机问题;Bakal和Geune[9]对文献[1]的研究进行了延伸,分析了供应商通过策略来引导主零售商进行预订的问题。
通过对上述订货时机文献进行分析,不难看出,除文献[1]外,现有文献一般以价格、订货量为变量作为分析工具,并通过利润或成本的变化来得出分析结果。以服务水平为变量进行分析的很少。
除了上述提到的订货时机文献之外,Cvsa和Gilbert[10]、Taylor[11]、Ferguson等[12-13]、Dong和Zhu[14]、Granot和Yin[15]等文献都是以价格或订货量为变量来分析订货时机。
本文将以服务水平为变量来分析订货时机。零售商服务水平的高低对其订货时机有重要影响。比如,零售商在服务水平很高的情况下,将尽量采取预订方式来减少缺货。经阅读文献可知,Bakal和Geune[1]是唯一一篇涉及服务水平角度的订货时机文献。文献研究了短生命周期产品市场中供应商面对两个零售商的情形,两个零售商存在一主一次之分。市场需求服从正态分布,供应商只有一次生产机会,零售商只能选择一种订货策略(预订或晚订)。文献在假定次零售商晚订的前提下,分析了单周期报童环境下主零售商的订货时机问题。在基础模型(晚订方式)中,主零售商观察到需求后才订货,供应商在两个零售商之间按照广义均匀分配规则分配生产量;在预订方式下,主零售商在销售季节前订货并得到全部订货量。文献分别比较了供应商与主零售商在两种订货时机下的期望利润变化,从而得出了各自偏好的订货时机。研究发现供应商喜欢主零售商预订,而主零售商的订货时机偏好取决于供应风险与需求风险之间的权衡。遗憾的是文献没有就订货时机问题作Pareto分析,没有涉及协调问题。本文将在文献[1]的基础上进一步延伸,对两者订货时机偏好进行分析之后,以零售商服务水平为横轴得出了双方的偏好区域图,进而得到订货时机Pareto最优区,零售商只要在最优区订货就可获得双赢的效果,由此达到协调供应链、提高供应链效率的目的。
以服务水平为变量来进行管理决策在企业界是有现实基础的,例如摩托罗拉公司创立的著名的六西格玛管理就用来描述质量管理的目标和过程。6σ(6个标准偏差)意味着99.999 66%是无缺陷的,它提供了一个近乎完美的产品或服务质量基准。本文也以zσ来度量服务水平,例如zσ=2σ意味着服务水平为97.73%。这种以服务水平为变量来研究订货时机的文献在学术界还比较罕见,这正是本文的创新性所在。
1 研究假设及建模符号本文研究假设与文献[1]和文献[9]基本相同。这两篇文章针对的都是单周期报童问题。报童问题是研究短生命周期产品订货策略的基本模型。这两篇文章分析的是两零售商,而本文分析的是单零售商,这是本文与它们的根本区别。
一个易逝品的供应链系统,系统由单供应商S和单零售商R构成。供应商以事先确定好的批发价w通过零售商销售商品。市场需求x服从正态分布,f(·)、F(·)分别为其概率密度函数(PDF)与分布函数(CDF)。由于w在订货前就协商好了,故当外生变量处理;而商品零售价p受市场因素影响,故也当外生变量处理。假设失销不会引起惩罚成本,季末没卖完的商品残值为零。因为商品的生产周期较长而销售周期短,因此假定S只能生产一次,R只能订货一次。S必须在销售期来临之前根据R的预订量来选择生产量QS。因为R只能订货一次,故仅有预订和晚订这2种订货策略可供选择。选择预订时由于需求不确定,故R存在需求风险,但S会根据预订量来组织生产从而供应其所有商品;选择晚订时由于市场需求已明,R只存在供应风险,即R的订货量不能保证全部满足。对S来说,当零售商选择预先订货时S没有需求风险,因为零售商承担了所有的需求风险;当零售商选择延迟订货时S承担了需求风险。本文所需的公式符号标注如下。
p:R的单位零售价;
w:S的单位批发价;
c:S的单位生产成本;
x:市场需求,服从正态分布;
μ:需求量的平均值;
σ:需求量的标准差;
Q和QS:分别为R、S的订货量、生产量;
f(·)和F(·):正态分布的PDF和CDF;
φ(·)和Φ(·):标准正态分布的PDF和CDF;
zR、zS:分别为R、S面对的需求量标准正态偏差,分别度量R、S的服务水平;
ΠRA和ΠRD:R预订、晚订时的利润函数;
ΠSA和ΠSD:R预订、晚订时S的利润函数。
为了使研究和现实相符,假设p>w>c。并以上标A、D标明预订、晚订,用下标r、S标明零售商和供应商。
2 建模分析 2.1 供应商S的偏好当零售商R预订时,供应商S会按照零售商的预订量来生产,有QS=Q;而R是按照自己的服务水平来决定Q的,即Q=μ+zRσ,此时供应商S不承担需求风险。S的期望利润为
|
(1) |
当R晚订时,由于需求情况已明,R按照实际需求量来订货,有Q=x;S在需求未知的情况下选择生产量QS,且QS=μ+zSσ,此时需求风险转移给S。S的期望利润为
|
(2) |
等式右边第2项显示了S的需求风险。化简得
|
(3) |
式(3)减式(1)得
|
(4) |
命题1 若
证明 由式(4)经分析可得命题1。
在此结合现实意义对命题1进行分析。在本文的情景下,影响S利润的因素有2个:其一,R是否预订,预订可以消除S的需求风险;其二,预订量Q的大小,Q越大则利润越大。对S而言,若Q太少的话则可能抵消R预订的好处。注意到Q=μ+zRσ,zR=0时的Q表示R服务水平50%的订货量,这时的预订对S仍然是有利的。但若


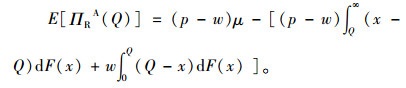
当零售商R预订时,R的利润为
|
(5) |
表达式第二项显示了R的需求风险。化简得
|
(6) |
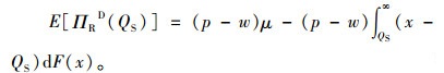
当零售商R晚订时,R按照实际需求量来订货,有Q=x,这时R只有供应风险,且R的利润受供货量QS影响,R的利润为
|
(7) |
表达式第2项显示了R的供应风险,化简得
|
(8) |
式中,
式(8)-式(6)得
|
(9) |
命题2 当zR满足
证明 由式(9)经分析可得命题2。
命题2从数量关系上指明了零售商订货时机偏好的条件,为划定零售商的订货时机偏好区域提供了理论依据,以判断零售商应该何时预订,何时延迟订货。
命题3 当zR>0时,ΔE[ΠR]是zR的单调减函数;当zR≤0时,ΔE[ΠR]是zR的单调增函数。
证明 式(9)对zR求导得

命题3把零售商的订货时机偏好与它的服务水平zR联系起来,便于从服务水平角度来判断零售商应该何时预订、何时晚订。
2.3 订货时机Pareto分析命题3结合命题2,可得zR对零售商订货时机偏好的影响图如图 1所示。根据图 1不难看出,在只考虑服务水平影响的前提下,当R服务水平处于一般状态时,R偏爱晚订。由于此时R的服务水平处于正态分布的概率密度最大区域,故R偏爱晚订的概率较大。这和零售商一般喜欢延迟订货来规避风险的现实情形相吻合。而由命题1知,S通常偏爱R预订,因此他们之间就订货时机问题存在冲突,将对此进行优化。
|
图 1 ΔE[ΠR]关于zR的图形 Fig. 1 The chart of ΔE[ΠR] corresponding to zR |
当S与R订货时机偏好达到一致,说明双方都偏好这一订货时机,就找到了订货时机Pareto最优区。图 1结合命题1,可以画出两者的订货时机偏好区域图,根据双方的晚订偏好区是否有交叉,可分为图 2和图 3两种情况。
|
图 2 S与R晚订偏好区有交叉时订货时机偏好区域图 Fig. 2 The area chart of preference of order timing when S's and R's areas of preference of delayed order are overlapping |
|
图 3 S与R晚订偏好区无交叉时订货时机偏好区域图 Fig. 3 The area chart of preference of order timing when S's and R's areas of preference of delayed order are not overlapping |
由图 2,可得S与R的订货时机偏好区域如下所示。
A区:
B区:

C区:

D区:
由图 3,可得S及R的订货时机偏好区域如下所示。
A区:
B区:

C区:
D区:
由图 2和图 3可得R的订货时机Pareto最优区。当S与R订货时机偏好一致时,在此区域订货对双方都是有利的。图 2和图 3中的D区,S与R均偏好预订,R预订对自身及S均有利,故D区是R的订货时机最优区。同理,在图 2和图 3中的B区,S与R订货时机偏好也是一致的,故B区也是R的订货时机Pareto最优区。这样就回答了本文开始提出的问题,如果零售商在B区或D区订货,就可以达到双赢的效果,提高供应链效率。
3 算例分析为考察R的服务水平对双方订货时机偏好的影响,现令p=15, w=10, c=6, μ=8, σ=2, zS=0.4, 并让zR取一系列值,来分析zR处于各个区域时对R和S的利润影响,所得结果如表 1所示。
| 表 1 zR位于各区域对R和S的利润影响 Tab. 1 Both R's and S's effects of profit corresponding to different areas of zR |
因为在B区双方均偏好晚订,S与R的晚订偏好区有交叉,故此算例符合图 2的情形。由表 1可知以下情况。
A区:zR<-1.82,S偏爱晚订,R偏爱预订;
B区:-1.82≤zR<-0.92,双方均偏爱晚订;
C区:-0.92≤zR<1.82,S偏爱预订,R偏爱晚订;
D区:zR≥1.82,双方均偏爱预订。
C区时zR的范围是-0.92~1.82,概率为78.7%,可见零售商延迟订货大多对供应商不利(笔者通过多个算例,都得出同样的结论)。通过表 1还可看出,由于正态分布的对称性,当zR处于-1.82~1.82区间内,ΔE[ΠR]≥0,延迟订货对R自身有利,R偏爱晚订的概率为93.1%,故一般情形下零售商偏爱延迟订货。
按照表 1,零售商可根据自己的服务水平而采取相应的订货时机,在Pareto最优区进行订货,以达到双赢的效果。当zR≥1.82,应该预先订货,这对双方均有利;当-1.82≤zR<-0.92,应该延迟订货,这对双方都有利。
4 结语服务水平高低对订货时机的选择会产生重要影响。在以前的研究中,少有文献涉及此一领域。在由零售商和供应商构成的两级供应链中,本文以服务水平为变量分析了两者的订货时机偏好,以零售商服务水平为横轴得出了双方的偏好区域图,进而得到订货时机Pareto最优区。分析显示一般情形下供应商偏爱零售商预先订货,但零售商偏好延迟订货,这与现实世界相符。分析还显示零售商偏爱的延迟订货大多对供应商不利,但零售商如果在Pareto最优区订货,则对双方均有利。
本文存在以下价值。其一,参照本文的模型,双方可通过服务水平角度来得到自身的订货时机偏好,还可知道对方的偏好,从而采取最有利的订货策略。其二,从系统最优角度,零售商可由当前的各种参数来评估自己的服务水平处于哪个区域,从而采取Pareto最优订货策略;如果零售商此时不在Pareto最优区,他可以调整自己的服务水平(通过库存水平调整)以进入最近的Pareto最优区,模型给他提供了适宜的调整方向,由此可达到系统最优的效果,提高供应链效率。
| [1] |
BAKAL I S, GEUNES J. Analysis of order timing tradeoffs in multi-retailer supply systems[J].
International Journal of Production Research, 2009, 47(11): 2841-2863.
DOI: 10.1080/00207540701675866. |
| [2] |
ZHAO Xiaode, XIE Jinxing, WEI Jiechuan. The value of early order commitment in a two-level supply chain[J].
European Journal of Operational Research, 2007, 180(1): 194-214.
DOI: 10.1016/j.ejor.2006.01.048. |
| [3] |
TONG C. Order postponement in a supply chain in the presence of exponential demand with gamma prior[J].
Operations Research Letters, 2010, 38(2): 97-103.
|
| [4] |
苏菊宁, 陈菊红, 杨变红. 具有时变参数的短生命周期产品供应链博弈分析[J].
系统管理学报, 2009, 18(4): 437-442.
SU Juning, CHEN Juhong, YANG Bianhong. A game analysis of short-life -cycle products supply chain with time -based parameters[J]. Journal of Systems & Management, 2009, 18(4): 437-442. |
| [5] |
CACHON G P. The allocation of inventory risk in a supply chain:push, pull, and advance-purchase discount contracts[J].
Management Science, 2004, 50(2): 222-238.
DOI: 10.1287/mnsc.1030.0190. |
| [6] |
WU J. Quantity flexibility contracts under bayesian updating[J].
Computers & Operations Research, 2005, 32(5): 1267-1288.
|
| [7] |
CHEN Haoya, CHEN Jian, CHEN Youhua. A coordination mechanism for a supply chain with demand information updating[J].
International Journal of Production Economics, 2006, 103(1): 347-361.
DOI: 10.1016/j.ijpe.2005.09.002. |
| [8] |
谢金星, 王淼. 单供应商多零售商供应链中的最优提前订货折扣[J].
系统工程理论与实践, 2009, 29(1): 1-5.
XIE Jinxing, WANG Miao. Optimal early order commitment discount in a supply chain with one supplier and multiple retailers[J]. Systems Engineering-Theory & Practice, 2009, 29(1): 1-5. DOI: 10.12011/1000-6788(2009)1-1. |
| [9] |
BAKAL I S, GEUNES J. Order timing strategies in a single-supplier, multi-retailer system[J].
International Journal of Production Research, 2010, 48(8): 2395-2412.
DOI: 10.1080/00207540902810528. |
| [10] |
CVSA V, GILBERT S M. Strategic commitment versus postponement in a two-tier supply chain[J].
European Journal of Operational Research, 2002, 141(3): 526-543.
DOI: 10.1016/S0377-2217(01)00274-0. |
| [11] |
TAYLOR T A. Sale timing in a supply chain: when to sell to the retailer[J].
Manufacturing and Service Operations Management, 2006, 8(1): 23-42.
DOI: 10.1287/msom.1050.0089. |
| [12] |
FERGUSON M E. When to commit in a serial supply chain with forecast updating[J].
Naval Research Logistics, 2003, 50(8): 917-936.
DOI: 10.1002/(ISSN)1520-6750. |
| [13] |
FERGUSON M E, DECROIX G A, ZIPKIN P H. Commitment decisions with partial information updating[J].
Naval Research Logistics, 2005, 52(2): 780-795.
|
| [14] |
DONG Lingxiu, ZHU Kaijie. Two-wholesale-price contracts:push, pull, and advance-purchase discount contracts[J].
Manufacturing & Service Operations Management, 2007, 9(3): 291-311.
|
| [15] |
GRANOT D, YIN S. Price and order postponement in a decentralized newsvendor model with multiplicative and price-dependent demand[J].
Operations Research, 2008, 56(1): 121-139.
DOI: 10.1287/opre.1070.0430. |
2016, Vol. 19