2. 河北省绿色化工与高效节能重点实验室, 天津 300130
2. Hebei Provincial Key Laboratory of Green Chemical Technology and High Efficiency Energy Saving, Tianjin 300130, China
化石燃料资源的有限性以及使用过程中造成的生态问题,使经济和社会的可持续发展面临严峻挑战,在此情况下人们加大了利用催化转化生物质化合物生产重要化学品和生物燃料的研究[1-3]。生物质化合物广泛分布于自然界中,且储量可观、价格低廉,作为石油替代品受到广泛的关注[4-6]。绿色植物通过光合作用生成生物质资源,其中大量碳水化合物在酸催化作用下水解生成戊糖和己糖等常见的组成单元[7-10],糠醛(FAL)和5-羟甲基糠醛(HMF)则由高碳糖经酸催化脱水制备[11-12]。FAL和HMF均属于生物质资源平台化合物,作为原料生产化学品[13-16],对缓解化石能源枯竭等问题具有重要意义。
由于FAL和HMF高度不饱和的特点,加氢还原仍是目前的研究热点[17]。FAL在加氢还原过程中会生成许多产物,如糠醇(FOL)、四氢糠醇(THFA)、四氢糠醛(THFAL)、2-甲基呋喃(2-MF)、2-甲基四氢呋喃(2-MTHF)、1, 2-戊二醇(1, 2-PeD)、1, 5-戊二醇(1, 5-PeD)等。其中THFA作为绿色溶剂被广泛用于农业、印刷油墨、工业和电子清洁剂[18]。HMF结构比FAL结构更复杂,因此产品种类更多,2, 5-二羟甲基四氢呋喃(BHTHF)属于HMF加氢产物之一。自Koso等[19]报道了THFA选择性氢解制备1, 5-PeD体系以来,人们逐渐加大了对于THFA和BHTHF加氢开环制备1, 5-PeD和1, 6-己二醇(1, 6-HDO)反应的研究。由于α, ω-二元醇可作为聚酯和聚氨酯单体[20-21],故THFA和BHTHF作为聚合物原料也受到广泛关注,因此FAL和HMF加氢制备THFA和BHTHF反应的重要性日益凸显。目前关于FAL和HMF加氢负载型金属催化剂虽然已有综述报道[22],但更多地是介绍课题组的研究成果。本文全面汇总了FAL和HMF双键加氢反应中的单金属、合金催化剂及催化作用机理。
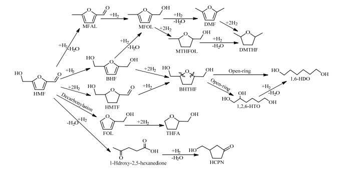
2 反应机理FAL和HMF在氢气条件下经催化C═O键和呋喃环上双键加氢生成THFA和BHTHF,反应路径如图 1、2所示。
|
图 1 糠醛加氢制备四氢糠醇及其他呋喃类化合物反应路径 Fig.1 Pathways of FAL hydrogenation to prepare THFA and other furan compounds |
|
图 2 5-羟甲基糠醛加氢制备2, 5-二羟甲基四氢呋喃及其他呋喃类化合物反应路径 Fig.2 Pathways of HMF hydrogenation to prepare BHTHF and other furan compounds |
目前关于该催化反应机理的研究较多,FAL和HMF通常以η1(O)-醛构型或η2(C, O)-醛构型吸附于活性金属表面,并与活性氢原子结合生成中间体FOL或2, 5-二羟甲基呋喃(BHF),或通过η1(C)-酰吸附构型导致酰基上的C─ C键断裂,FOL和BHF分子中的羟甲基与活性金属也有较强亲和力,且分子最有利的吸附方式是羟基氧吸附于活性金属,呋喃环以η2(C ═ C)构型平行吸附于金属表面并进一步氢化生成THFA或BHTHF[23-26],如图 3所示。由于C ═ O键和羟甲基对活性金属都存在较强的吸附力,所以反应物与中间体的竞争吸附必定对FAL和HMF的加氢反应产生一定影响[23]。而且活性金属与呋喃环相互作用强度的不同也会对反应物的吸附产生影响。在所讨论的金属中,Pd与呋喃环的相互作用最强,原因是Pd相对较短的d-能带宽度有利于与呋喃环π-电子产生更紧密的相互作用[26-27]。
早期研究中的FAL和HMF双键加氢反应,主要以前段所述的催化反应机理为主。但仍有学者发现呋喃环和C ═ O键的加氢顺序在反应过程中是不确定的。若呋喃环优先于C ═ O键加氢则会生成另外2种中间体THFAL和5-羟甲基四氢糠醛(HMTF),THFAL和HMTF相对于FOL和BHF的加氢速度缓慢,需要较长反应时间和较大催化剂用量以催化生成THFA或BHTHF[28-29]。载体也会对反应机理和反应路径产生影响[30-31]。Chen等[30]以胺功能化金属-有机材料(MOFs)为载体,发现初始阶段的HMF并非通过C ═ O键吸附于催化剂上,而是羟基与MIL-101(Al)-NH2的胺基之间形成氢键(O─H....N),增强HMF与载体表面的相互作用,继而与活性氢原子结合相继生成BHF和BHTHF,如图 4所示。Li等[31]在探究机理中发现,载体的弱酸性位点会催化FAL与异丙醇发生醚化反应生成另一种中间体2-(异丙氧基甲基)呋喃(2-IPMF),并在载体碱性位点的作用下转化为THFA,并非按照图 1中THFA的生成路径进行。
|
图 4 Pd/MIL-101(AL)-NH2催化HMF加氢反应的分子间相互作用[30] Fig.4 Molecular interactions of HMF hydrogenation on Pd/MIL-101(AL)-NH2[30] |
近年来,随着合金催化剂的发展,协同催化机理也得到更广泛研究。双金属间的协同作用主要包括双金属对C═O键和呋喃环的协同吸附[28]、氢转移机理[32-34]、电子效应[29, 35]、以及金属分散性和稳定性的提高[27, 36]。对于双金属协同吸附而言,主要利用不同活性金属对官能团相互作用力的不同,例如Pd与呋喃环的强相互作用可实现对呋喃环加氢产物的高选择性,在添加Ir、Cu等金属后可进一步促进对碳氧双键的吸附加氢[28]。而氢转移机理则是利用活性金属间的分工不同,其中一种金属(Cu、Co)是对C ═ O键有较强吸附作用,另一种金属则对吸附和活化氢气有较好的活性,活化的氢原子转移攻击所吸附的底物分子,进而加氢生成THFA或BHTHF[33-34]。Tan等[35]发现活性金属Pd与Ru之间的电子转移导致了Pdσ+和Ruσ−的形成,如图 5所示。富电子态Ruσ−向羰基提供一个或多个电子促进C ═ O键的吸附和活化,进而生成中间体BHF,而缺电子态Pdσ+作为受电子体接受来自HMF或BHTHF呋喃环中C ═ C键(供电子体)的一个或多个电子(电子反馈),吸附和激活HMF和BHF中呋喃环的C ═ C键,并与催化剂表面的活性氢原子结合生成BHTHF。
综上,FAL和HMF双键加氢反应在不同催化体系中所表现出的催化反应机理可能是不同的,总体上都是通过C ═ O键、呋喃环、羟甲基的吸附进而加氢生成THFA和BHTHF,除活性金属外,还包括载体、溶剂对反应机理存在影响。因此,在今后的实验工作中应致力于FAL和HMF双键加氢催化反应机理的探究,为高效制备THFA和BHTHF提供指导意见。
3 单金属催化剂及催化作用目前用于制备THFA和BHTHF的单金属活性组分主要为Ni、Ru、Pd、Pt。非贵金属Ni催化剂在FAL和HMF加氢反应中对C ═ O键和C ═ C键的加氢都具有活性,易加氢性能和相对较低的成本,以及可获得较高产率等特点[37],被认为比贵金属催化剂更具吸引力。但Ni催化剂稳定性较差,寿命问题和金属浸出问题有待解决。贵金属(Ru、Pd、Pt)催化剂活性一般优于Ni基催化剂,但贵金属价格昂贵,且在催化呋喃环氢解以及高温下脱羰基等副反应中往往也表现出活性[38-40]。如表 1所示,θ为反应温度,p为反应压力,t为反应时间,ρ为底物转化率,汇总了近年来FAL和HMF双键加氢制备THFA和BHTHF负载型单金属催化剂的反应性能。
|
|
表 1 FAL和HMF双键加氢负载型单金属催化剂反应性能 Table 1 Performance of supported monometallic catalysts for double bond hydrogenation of FAL and HMF |
Raney Ni在HMF双键加氢反应中,对BHTHF表现出较高的活性和选择性[41-42]。高温条件下(180 ℃),会造成HMF和BHF中的羟甲基氢解生成2, 5-二甲基四氢呋喃(DMTHF)等其他副产物,且形成的高分子量产物吸附于催化剂使活性降低,但主要问题还是金属Ni的浸出。作者将BHTHF的高收率归因于Raney Ni上酸性位点对呋喃环氢化的促进[42]。
与Raney Ni相比,负载型Ni催化剂对金属的利用率较高。而且通过载体改性可提高催化剂的活性和选择性,还可增强活性金属与载体间的相互作用,降低反应过程中金属Ni的流失。用碱土金属Ba改性Al2O3,改变了Ni与载体之间的相互作用,使H2更易在Ni上吸附,并减少催化剂上的酸性位点,抑制酸催化的FAL或FOL在水中的聚合反应,提高THFA收率。而且,碱土金属的加入使催化剂中没有加氢活性的NiAl2O4含量降低,使金属Ni在催化剂上的形态有所改变[43]。相比碱土金属改性,以磺酸基─SO3H改性活性炭,Ni主要以氧化态镍(NiO、Ni(OH)2、NiOOH)和少量金属Ni形式存在。金属Ni为H2提供解离位点,而氧化态镍上的Lewis酸性位点和磺酸基上的Brø nsted酸性位点通过协同作用吸附和激活C ═ O键和呋喃环C ═ C键[44]。
Ni负载量对FAL、HMF加氢反应有较大影响。通过连续焙烧还原Ni-Al层状双金属氢氧化物(LDH)制备的Ni/Al2O3,高等电点载体(Al2O3)有利于呋喃环的氢化,且催化活性与Ni负载量呈正比,Ni表面上单位面积的HMF加氢速率常数随Ni粒径的增加而增加[45]。但催化活性与Ni负载量并不是完全呈正比,当负载量超过某一限度时,载体表面金属颗粒发生聚集,使Ni的分散度降低和粒径增大,较小负载量会使催化剂活性中心较少,两者均对催化剂的活性和选择性不利[33]。因此,最优金属负载量选择十分重要。
通过调节金属催化剂的表面微观结构可以控制生物质分子的加氢选择性。采用直接热分解镍基金属有机骨架(Ni-MOFs)制备的Ni/C-500催化剂,使Ni纳米粒子均匀地嵌在配体衍生碳中,以异丙醇为溶剂,120 ℃下催化FAL反应2 h,THFA收率达100%[46]。通过水滑石前驱体(LDHs)与碳酸盐或硝酸盐在层间区域的结构拓扑转变制备的Ni/MMO-NO3和Ni/MMO-CO3催化剂,前者Ni(211)面为阶梯状,促进碳氧双键的活化吸附,抑制呋喃环的吸附,加氢产物为FOL,后者Ni(111)的高暴露面激活呋喃环和碳氧双键的吸附,加氢生成THFA[25]。
3.2 Ru基催化剂负载在高等电点氧化物载体(MgO-ZrO、CeO2、γ-Al2O3)上的Ru催化剂,对BHTHF具有较高的选择性。当载体为低等电点或非氧化物载体时,除BHTHF外还生成了大量C6多元醇[47]。究其原因,除了高等电点载体有利于呋喃环氢化外,还存在载体对溶液中酸性杂质的吸附,从而抑制酸催化的副反应的发生。含有超小Ru纳米粒子的介孔多相催化剂Ru@C/TiO2,正丁醇为溶剂,80 ℃下催化FAL加氢5 h,THFA收率接近100%[48]。
3.3 Pd基催化剂Pd催化剂在FAL和HMF双键加氢中应用最多。虽然金属Pd与底物呋喃环相互作用强,但金属分散度和粒径也是影响催化活性和选择性的重要因素,而且不同的产物分布与载体类型也密切相关。
较小的金属粒径和较高的金属分散性使Pd催化剂具有较高的催化活性[26]。羟基磷灰石(Ca10(PO4)(OH)2,HAP)为具有酸性位的碱性载体,Pd/HAP催化剂由于与HAP中PO43-之间的配位共轭效应,增加了Pd上的电子密度,使Pd纳米团簇高度分散和稳定,更提高了催化剂的氢活化能力,在40 ℃下催化FAL和HMF加氢,THFA和BHTHF收率都达到了100%[31]。PdCl4-与载体表面Al─OH基团较强的相互作用,使Pd高度分散并在呋喃环加氢反应中表现出较高活性[50]。动力学研究也表明Pd/Al2O3对呋喃环向四氢呋喃的饱和反应有助于下一步C ═ O键的加氢生成THFA[22, 29, 51]。控制催化剂上金属Pd的粒径对于提高环氢化产物的选择性也有重要的影响[52]。采用化学还原法制备的高分散、小粒径Pd/C催化剂的FAL双键加氢性能优于大颗粒催化剂[53]。
胺功能化金属-有机载体(MOFs)具有高比表面积、孔径可调、结构可控、后合成改性(PSM)易功能化等特点,被广泛用于生物质催化反应[54]。Pd/MIL-101(Al)-NH2催化剂,在30 ℃下水溶液中催化HMF加氢,BHTHF收率为96%。其优势在于该介孔球笼形载体不存在强吸附和扩散限制等缺陷,而且载体的弱碱性和胺基的存在还会抑制酸催化反应的发生[30]。
介孔载体(Si-MFI、MCM-41)因其特殊结构有利于金属在其上的高度分散和反应物的扩散而提高反应速率[55-56]。
目前对于FAL或HMF加氢反应的研究大多仅限于釜式间歇反应,但也有连续流动条件下的研究报道,单程收率还较低[40, 57]。
3.4 Pt基催化剂Pt催化剂在FAL和HMF加氢反应中对呋喃环的加氢选择性偏低,在一定条件下还会造成呋喃环的氢解[58-59],所以Pt基催化剂更多的被用在呋喃环氢解反应研究中。Pt/Co2AlO4催化剂上THFA收率仅为31.3%,开环产物(1, 5-戊二醇和1, 2-戊二醇)的收率却高达51.1%[58]。
4 合金催化剂及催化作用催化剂加氢性能和对目标产物的选择性可通过添加第2种金属来提高[60]。对于FAL和HMF加氢反应,合金催化剂由于双金属间的协同作用通常比单金属催化剂表现出更高的C ═ O键和C ═ C键加氢活性,非贵金属的添加也大大降低了催化剂成本。由于Pd、Ni在FAL和HMF加氢反应中表现出的高活性和高选择性,目前合金催化剂的研究更多的是在上述2种金属基础上添加Pt、Ru、Ir以及非贵金属Cu、Co等。如表 2所示,汇总了近年来FAL和HMF双键加氢负载型合金催化剂的研究成果。
|
|
表 2 FAL和HMF双键加氢负载型合金催化剂反应性能 Table 2 Performance of supported alloy catalysts for double bond hydrogenation of FAL and HMF |
Pd-Ni在保持高选择性的同时也提高了催化剂活性。在40 ℃条件下FAL和HMF加氢,THFA和BHTHF收率都可达96%[61],但存在Ni金属浸出和催化剂寿命短的问题。Pd-Ir特点是在较短时间内会生成少量THFAL(选择性可达20%),THFAL加氢速度缓慢,需要较长的反应时间和较大的催化剂用量来生成THFA,该特点也同样存在于HMF加氢反应中[28]。对于Pd-Pt/TiO2催化剂,THFA收率较高的原因可能是催化剂能够有效地将THFAL氢化为THFA,另一种可能是Pt影响了合金催化剂选择性,使FAL快速转化为FOL而非THFAL,但作者并未对2种猜测做出详细的解释[29]。
双金属间的协同作用提高了FAL和HMF双键加氢活性和选择性。对于Ni-Pd/TiO2-ZrO2催化剂,Pd纳米粒子均匀地嵌在Ni(Ⅱ)中,活化氢气并将相邻的Ni(Ⅱ)还原为Ni(0),显著增加载体表面活性中心浓度,并与Ni(0)通过协同作用将反应产物选择性从部分氢化转移至完全氢化[32]。对于Pd-Ni/MWNT催化剂,用硝酸改性多壁碳纳米管(MWNT)增强表面酸位,激活在THFA形成过程中作为活性吸附剂的FAL-氧基中间体的形成,提高THFA选择性,其中过渡金属Ni的添加促进了活性晶面Pd(111)的暴露,则更进一步提高了环加氢催化活性,同样的酸性位的增多也增大了副反应的发生[27]。对于Ru-Pd/石墨烯(RGO)催化剂,Ru与Pd之间强烈的相互作用增强了金属与未还原石墨烯(GO)之间的电子转移能力,导致载体表面Ruσ−−Pdσ+对形成,也正是因为双金属间的协同作用以及Ruσ−−Pdσ+与HMF、RGO之间的电子转移才赋予了催化剂在低温下高催化活性[35]。而且Ru的加入稀释了Pd活性位点,抑制了还原过程中Pd纳米粒子的团聚,改善了Pd的分散性[62],更有利于Ru-Pd合金纳米粒子的形成。
4.2 Ni-M(M=Cu、Co)催化剂Ni-M(M=Cu、Co)合金催化剂具有组成可调、颗粒分散度可控以及金属之间较强的协同作用等特点,广泛用于FAL、HMF双键加氢反应。最重要的是非贵金属的使用极大地降低催化剂成本,从经济角度考虑,更具有工业应用前景。对于Cu-Ni/CNT、Cu-Ni/MgAlO催化剂[33, 36],FAL加氢制THFA的收率均在90% 以上,Cu的加入促进了Ni的分散。作者还发现甲醇中Cu-Ni/MgAlO对FOL选择性高达99%,原因在于甲醇在催化位点的强吸附性一定程度上抑制了FOL的环加氢反应,而乙醇在金属Ni表面的吸附较弱,因此该研究为通过溶剂效应控制产物目标的选择性提供了一定的理论依据。
对于Ni-Co/SBA-15催化剂,THFA收率为92.1%,Co提高了Ni的还原性,尖晶型NiCo2O4可促进Ni0和CoO的分散,提高催化剂的活性和导电性,促进电子的转移[34]。
5 总结与展望生物质基平台化合物FAL、HMF双键加氢制备的THFA和BHTHF作为聚合物原料应用前景广阔。对于将生物质转化为重要化工产品以及实现化工绿色可持续发展也具有重要现实意义。
目前,对于FAL、HMF双键加氢制备THFA和BHTHF反应,催化剂以Ni、Ru、Pd、Pt和合金催化剂为主。Ni催化剂的稳定性有待进一步解决,贵金属Pd、Ru催化剂成本高,Pt催化剂存在呋喃环氢解反应。Ni-Pd合金催化剂由于双金属间的协同作用,通常比单金属催化剂表现出更高的双键加氢活性,且非贵金属的添加也降低了催化剂成本。除金属活性组分外,制备方法、金属在载体表面的分散度和粒径、金属与载体间的相互作用、载体类型及结构、反应溶剂,以及反应条件等对FAL、HMF双键饱和加氢反应性能有较大影响。
对于FAL、HMF双键加氢催化剂,应重点研究负载型Ni基金属催化剂,通过载体点缺陷稳定Ni活性位,进而提高稳定性;开发本质安全催化技术,建立异丙醇、甲酸等液态绿色氢源替代易燃易爆氢气的催化体系,从源头上解决生物质加氢反应过程的安全隐患;采用连续流动化学反应技术解决间歇反应过程效率低的问题。这些研究在今后的研究工作中值得进一步关注。
| [1] |
邓理, 廖兵, 郭庆祥. 纤维素选择性催化转化为重要平台化合物的研究进展[J]. 化工进展, 2013, 32(2): 245-254. DENG L, LIAO B, GUO Q X. Recent progress in selective catalytic conversion of cellulose into key platform molecules[J]. Chemical Industry and Engineering Progress, 2013, 32(2): 245-254. |
| [2] |
SHELDON R A. Green and sustainable manufacture of chemicals from biomass: State of the art[J]. Green Chemistry, 2014, 16(3): 950-963. DOI:10.1039/C3GC41935E |
| [3] |
MIKA L T, CSEFALVAY E, NEMETH A. Catalytic conversion of carbohydrates to initial platform chemicals: chemistry and sustainability[J]. Chemical Reviews, 2018, 118(2): 505-613. DOI:10.1021/acs.chemrev.7b00395 |
| [4] |
HUBER G W, IBORRA S, CORMA A. Synthesis of transportation fuels from biomass: chemistry, catalysts, and engineering[J]. Chemical Reviews, 2006, 106(9): 4044-4098. DOI:10.1021/cr068360d |
| [5] |
HUBER G W, CORMA A. Synergies between bio-and oil refineries for the production of fuels from biomass[J]. Angewandte Chemie-International Edition, 2007, 46(38): 7184-7201. DOI:10.1002/anie.200604504 |
| [6] |
ANBARASAN P, BAER Z C, SREEKUMAR S, et al. Integration of chemical catalysis with extractive fermentation to produce fuels[J]. Nature, 2012, 491(7423): 235-239. DOI:10.1038/nature11594 |
| [7] |
CENTI G, LANZAFAME P, PERATHONER S. Analysis of the alternative routes in the catalytic transformation of lignocellulosic materials[J]. Catalysis Today, 2011, 167(1): 14-30. DOI:10.1016/j.cattod.2010.10.099 |
| [8] |
HU L, ZHAO G, HAO W W, et al. Catalytic conversion of biomass-derived carbohydrates into fuels and chemicals via furanic aldehydes[J]. RSC Advances, 2012, 2(30): 11184-11206. DOI:10.1039/c2ra21811a |
| [9] |
AGIRREZABAL-TELLERIA I, GANDARIAS I, ARIAS P L. Heterogeneous acid-catalysts for the production of furan-derived compounds (furfural and hydroxymethylfurfural) from renewable carbohydrates: A review[J]. Catalysis Today, 2014, 234: 42-58. DOI:10.1016/j.cattod.2013.11.027 |
| [10] |
HE J Y, HUANG K F, BARNETT K J, et al. New catalytic strategies for alpha, omega-diols production from lignocellulosic biomass[J]. Faraday Discuss, 2017, 202: 247-267. DOI:10.1039/C7FD00036G |
| [11] |
聂一凡, 候其东, 李维尊, 等. 糠醛的水解制备和应用研究进展[J]. 化工进展, 2019, 38(5): 2164-2178. NIE Y F, HOU Q D, LI W Z, et al. Advances in production furfural via hydrolysis and application of furfural[J]. Chemical Industry and Engineering Progress, 2019, 38(5): 2164-2178. |
| [12] |
李黎峰, 沈忠权, 厉岑怡, 等. 新型磺化碳基材料催化果糖制备5-羟甲基糠醛[J]. 高校化学工程学报, 2016, 30(6): 1341-1347. LI L F, SHEN Z Q, LI C Y, et al. Catalytic conversion of fructose to 5-hydroxymethylfurfural by a novel sulfonated carbonaceous material[J]. Journal of Chemical Engineering of Chinese Universities, 2016, 30(6): 1341-1347. DOI:10.3969/j.issn.1003-9015.2016.06.015 |
| [13] |
LI X D, JIA P, WANG T F. Furfural: A promising platform compound for sustainable production of C-4 and C-5 chemicals[J]. ACS Catalysis, 2016, 6(11): 7621-7640. DOI:10.1021/acscatal.6b01838 |
| [14] |
阮厚航, 吕喜蕾, 王立新, 等. 近临界异丙醇中Cu-Pd/Al2O3催化转移氢化糠醛制备糠醇[J]. 高校化学工程学报, 2017, 31(3): 586-591. YUAN H H, LV X L, WANG L X, et al. Catalytic transfer hydrogenation of furfural to furfuryl alcohol by Cu-Pd/Al2O3 in near-critical isopropanol[J]. Journal of Chemical Engineering of Chinese Universities, 2017, 31(3): 586-591. DOI:10.3969/j.issn.1003-9015.2017.03.012 |
| [15] |
ROMAN-LESHKOV Y, BARRETT C J, LIU Z Y, et al. Production of dimethylfuran for liquid fuels from biomass-derived carbohydrates[J]. Nature, 2007, 447(7147): 982-985. DOI:10.1038/nature05923 |
| [16] |
刘迎新, 曾茂, 楼炯涛, 等. 5-羟甲基糠醛选择性加氢制备2, 5-二甲基呋喃研究进展[J]. 高校化学工程学报, 2018, 32(2): 255-265. LIU Y X, ZENG M, LOU J T, et al. Review on 2, 5-dimethylfuran synthesis via selective hydrogenation of 5-hydroxymethylfurfural[J]. Journal of Chemical Engineering of Chinese Universities, 2018, 32(2): 255-265. DOI:10.3969/j.issn.1003-9015.2018.02.002 |
| [17] |
NAKAGAWA Y, TAMURA M, TOMISHIGE K. Catalytic reduction of biomass-derived furanic compounds with hydrogen[J]. ACS Catalysis, 2013, 3(12): 2655-2668. DOI:10.1021/cs400616p |
| [18] |
YAN K, WU G S, LAFLEUR T, et al. Production, properties and catalytic hydrogenation of furfural to fuel additives and value-added chemical[J]. Renewabla & Suatainable Energy Reviews, 2014, 38: 663-676. |
| [19] |
KOSO S, FURIKADO I, SHIMAO A, et al. Chemoselective hydrogenolysis of tetrahydrofurfuryl alcohol to 1, 5-pentanediol[J]. Chemical Communications, 2009(15): 2035-2037. DOI:10.1039/b822942b |
| [20] |
NAKAGAWA Y, TOMISHIGE K. Production of 1, 5-pentanediol from biomass via furfural and tetrahydrofurfuryl alcohol[J]. Catalysis Today, 2012, 195(1): 136-143. DOI:10.1016/j.cattod.2012.04.048 |
| [21] |
TOMISHIGE K, TAMURA M, NAKAGAWA Y. Role of Re species and acid Co catalyst on Ir-ReOx/SiO2 in the C-O hydrogenolysis of biomass-derived substrates[J]. Chemical Record, 2014, 14(6): 1041-1054. DOI:10.1002/tcr.201402026 |
| [22] |
NAKAGAWA Y, TAMURA M, TOMISHIGE K. Supported metal catalysts for total hydrogenation of furfural and 5-hydroxymethyfurfural[J]. Journal of the Japan Petroleum Institute, 2017, 60(1): 1-9. DOI:10.1627/jpi.60.1 |
| [23] |
NAKAGAWA Y, NAKAZAWA H, WATANABE H, et al. Total hydrogenation of furfural over a silica-supported nickel catalyst prepared by the reduction of a nickel nitrate precursor[J]. ChemCatChem, 2012, 4(11): 1791-1797. DOI:10.1002/cctc.201200218 |
| [24] |
YAO S X, WANG X C, JIANG Y J, et al. One-step conversion of biomass-derived 5-hydroxymethylfurfural to 1, 2, 6-hexanetriol over Ni-Co-Al mixed oxide catalysts under mild conditions[J]. ACS Sustainable Chemistry & Engineering, 2014, 2(2): 173-180. |
| [25] |
MENG X, YANG Y, CHEN L, et al. A control over hydrogenation selectivity of furfural via tuning exposed facet of Ni catalysts[J]. ACS Catalysis, 2019, 9(5): 4226-4235. DOI:10.1021/acscatal.9b00238 |
| [26] |
BHOGESWARARAO S, SRINIVAS D. Catalytic conversion of furfural to industrial chemicals over supported Pt and Pd catalysts[J]. Journal of Catalysis, 2015, 327: 65-77. DOI:10.1016/j.jcat.2015.04.018 |
| [27] |
LIU L J, LOU H, CHEN M, et al. Selective hydrogenation of furfural over Pt based and Pd based bimetallic catalysts supported on modified multiwalled carbon nanotubes (MWNT)[J]. Applied Catalysis A-General, 2018, 550: 1-10. DOI:10.1016/j.apcata.2017.10.003 |
| [28] |
NAKAGAWA Y, TAKADA K, TAMURA M, et al. Total hydrogenation of furfural and 5-hydroxymethylfurfural over supported Pd-Ir alloy catalyst[J]. ACS Catalysis, 2014, 4(8): 2718-2726. DOI:10.1021/cs500620b |
| [29] |
ALBILALI R, DOUTHWAITE M, HE Q, et al. The selective hydrogenation of furfural over supported palladium nanoparticle catalysts prepared by sol-immobilisation: effect of catalyst support and reaction conditions[J]. Catalysis Science & Technology, 2018, 8(1): 252-267. |
| [30] |
CHEN J Z, LIU R L, GUO Y Y, et al. Selective hydrogenation of biomass based 5-hydroxymethylfurfural over catalyst of palladium immobilized on amine-functionalized metal-organic frameworks[J]. ACS Catalysis, 2015, 5(2): 722-733. DOI:10.1021/cs5012926 |
| [31] |
LI C, XU G Y, LIU X H, et al. Hydrogenation of biomass-derived furfural to tetrahydrofurfuryl alcohol over hydroxyapatite supported Pd catalyst under mild conditions[J]. Industrial & Engineering Chemistry Research, 2017, 56(31): 8843-8849. |
| [32] |
CHEN B F, LI F B, HUANG Z J, et al. Tuning catalytic selectivity of liquid-phase hydrogenation of furfural via synergistic effects of supported bimetallic catalysts[J]. Applied Catalysis A-General, 2015, 500: 23-29. DOI:10.1016/j.apcata.2015.05.006 |
| [33] |
LIU L J, LOU H, CHEN M. Selective hydrogenation of furfural to tetrahydrofurfuryl alcohol over Ni/CNTs and bimetallic CuNi/CNTs catalysts[J]. International Journal of Hydrogen Energy, 2016, 41(33): 14721-14731. DOI:10.1016/j.ijhydene.2016.05.188 |
| [34] |
LI S, WANG Y, GAO L J, et al. Short channeled Ni-Co/SBA-15 catalysts for highly selective hydrogenation of biomass-derived furfural to tetrahydrofurfuryl alcohol[J]. Microporous and Mesoporous Materials, 2018, 262: 154-165. DOI:10.1016/j.micromeso.2017.11.027 |
| [35] |
TAN J J, CUI J L, ZHU Y L, et al. Complete aqueous hydrogenation of 5‑hydroxymethylfurfural at room temperature over bimetallic RuPd/graphene catalyst[J]. ACS Sustainable Chemistry & Engineering, 2019, 12(7): 10670-10678. |
| [36] |
WU J, GAO G, LI J L, et al. Efficient and versatile CuNi alloy nanocatalysts for the highly selective hydrogenation of furfural[J]. Applied Catalysis B-Environmental, 2017, 203: 227-236. DOI:10.1016/j.apcatb.2016.10.038 |
| [37] |
YAN K, WU G S, LAFLEUR T, et al. Production, properties and catalytic hydrogenation of furfural to fuel additives and value-added chemicals[J]. Renewabla & Suatainable Energy Reviews, 2014, 38: 663-676. |
| [38] |
MIZUGAKI T, YAMAKAWA T, NAGATSU Y, et al. Direct transformation of furfural to 1, 2-pentanediol using a hydrotalcite- supported platinum nanoparticle catalyst[J]. ACS Sustainable Chemistry & Engineering, 2014, 2(10): 2243-2247. |
| [39] |
MITRA J, ZHOU X Y, RAUCHFUSS T, et al. Pd/C-catalyzed reactions of HMF: Decarbonylation, hydrogenation, and hydrogenolysis[J]. Green Chemistry, 2015, 17(1): 307-313. DOI:10.1039/C4GC01520G |
| [40] |
DUARTE D P, MARTINEZ R, HOYOS L J. Hydrodeoxygenation of 5-hydroxymethylfurfural over alumina-supported catalysts in aqueous medium[J]. Industrial & Engineering Chemistry Research, 2016, 55(1): 54-63. |
| [41] |
CONNOLLY T J, CONSIDINE J L, DING Z X, et al. Efficient synthesis of 8-Oxa-3-aza-bicyclo[3.2.1]octane hydrochloride[J]. Organic Process Research & Development, 2010, 14(2): 459-465. |
| [42] |
KONG X, ZHU Y F, ZHENG H Y, et al. Switchable synthesis of 2, 5-dimethyfuran and 2, 5-dihydroxymethyltetrahydrofuran from 5-hydroxymethylfurfural over Raney Ni catalyst[J]. RSC Advances, 2014, 4(105): 60467-60472. DOI:10.1039/C4RA09550B |
| [43] |
YANG T L, MA J P, JIA X Q, et al. Aqueous phase hydrogenation of furfural to tetrahydrofurfuryl alcohol on alkaline earth metal modified Ni/Al2O3[J]. RSC Advances, 2016, 6(56): 51221-51228. DOI:10.1039/C6RA05680F |
| [44] |
GONG W B, CHEN C, WANG H J, et al. Sulfonate group modified Ni catalyst for highly efficient liquid-phase selective hydrogenation of bio-derived furfural[J]. Chinese Chemical Letters, 2018, 29(11): 1617-1620. DOI:10.1016/j.cclet.2018.03.030 |
| [45] |
PERRET N, GRIGOROPOULOS A, ZANELLA M, et al. Catalytic response and stability of nickel/alumina for the hydrogenation of 5-hydroxymethylfurfural in water[J]. ChemSusChem, 2016, 9(5): 521-531. DOI:10.1002/cssc.201501225 |
| [46] |
SU Y P, CHEN C, ZHU X G, et al. Carbon-embedded Ni nanocatalysts derived from MOFs by a sacrificial template method for efficient hydrogenation of furfural to tetrahydrofurfuryl alcohol[J]. Dalton Transactions, 2017, 46(19): 6358-6365. DOI:10.1039/C7DT00628D |
| [47] |
ALAMILLO R, TUCKER M, CHIA M, et al. The selective hydrogenation of biomass-derived 5-hydroxymethylfurfural using heterogeneous catalysts[J]. Green Chemistry, 2012, 14(5): 1413-1419. DOI:10.1039/c2gc35039d |
| [48] |
ZHANG Z R, SONG J L, JIANG Z W, et al. Direct synthesis of ultrasmall ruthenium nanoparticles on porous supports using natural sources for highly efficient and selective furfural hydrogenation[J]. ChemCatChem, 2017, 9(13): 2448-2452. DOI:10.1002/cctc.201700262 |
| [49] |
LIU H J, HUANG Z W, ZHAO F. Efficient hydrogenolysis of biomass-derived furfuryl alcohol to 1, 2-and 1, 5-pentanediols over a non-precious Cu-Mg3AlO4.5 bifunctional catalyst[J]. Catalysis Science & Technology, 2016, 6(3): 668-671. |
| [50] |
HUANG R J, CUI Q Q, YUAN Q Q, et al. Total hydrogenation of furfural over Pd/Al2O3 and Ru/ZrO2 mixture under mild conditions: essential role of tetrahydrofurfural as an intermediate and support effect[J]. ACS Sustainable Chemistry & Engineering, 2018, 6(5): 6957-6964. |
| [51] |
MURATA k, MAHARA Y, YAMAMOTO Y, et al. The metal-support interaction concerning the particle size effect of Pd/Al2O3 on methane combustion[J]. Angewandte Chemie-Inrernational Edition, 2017, 56(50): 15993-15997. DOI:10.1002/anie.201709124 |
| [52] |
DATE N S, BIRADAR N S, CHIKATE R C, et al. Effect of reduction protocol of Pd catalysts on product distribution in furfural hydrogenation[J]. Chemistry Select, 2017, 2(1): 24-32. |
| [53] |
NGUYEN-HUY C, KIM J S, YOON S, et al. Supported Pd nanoparticle catalysts with high activities and selectivities in liquid-phase furfural hydrogenation[J]. Fuel, 2018, 226: 607-617. DOI:10.1016/j.fuel.2018.04.029 |
| [54] |
DHAKSHINAMOORTHY A, OPANASENKO M, CEJKA J, et al. Metal organic frameworks as heterogeneous catalysts for the production of fine chemicals[J]. Catalysis Science & Technology, 2013, 3(10): 2509-2540. |
| [55] |
BIRADAR N S, HENGNE A M, BIRAJDAR S N, et al. Single-pot formation of THFAL via catalytic hydrogenation of FFR over Pd/MFI catalyst[J]. ACS Sustainable Chemistry & Engineering, 2014, 2(2): 272-281. |
| [56] |
YI Z X, XU H, HU D, et al. Facile synthesis of supported Pd catalysts by chemical fluid deposition method for selective hydrogenation of biomass-derived furfural[J]. Journal of Alloys and Compounds, 2019, 799: 59-65. DOI:10.1016/j.jallcom.2019.05.350 |
| [57] |
OUYANG W Y, YEPEZ A, ROMERO A A, et al. Towards industrial furfural conversion: Selectivity and stability of palladium and platinum catalysts under continuous flow regime[J]. Catalysis Today, 2018, 308: 32-37. DOI:10.1016/j.cattod.2017.07.011 |
| [58] |
XU W J, WANG H F, LIU X H, et al. Direct catalytic conversion of furfural to 1, 5-pentanediol by hydrogenolysis of the furan ring under mild conditions over Pt/Co2AlO4 catalyst[J]. Chemical Communications, 2011, 47(13): 3924-3926. DOI:10.1039/c0cc05775d |
| [59] |
TONG T, XIA Q N, LIU X H, et al. Direct hydrogenolysis of biomass-derived furans over Pt/CeO2 catalyst with high activity and stability[J]. Catalysis Communications, 2017, 101: 129-133. DOI:10.1016/j.catcom.2017.08.005 |
| [60] |
LEE J, KIM Y T, HUBER G W. Aqueous-phase hydrogenation and hydrodeoxygenation of biomass-derived oxygenates with bimetallic catalysts[J]. Green Chemistry, 2014, 16(2): 708-718. DOI:10.1039/c3gc41071d |
| [61] |
NAKAGAWA Y, TOMISHIGE K. Total hydrogenation of furan derivatives over silica-supported Ni-Pd alloy catalyst[J]. Catalysis Communications, 2010, 12(3): 154-156. DOI:10.1016/j.catcom.2010.09.003 |
| [62] |
TANG M H, MAO S J, LI M M, et al. RuPd alloy nanoparticles supported on N-doped carbon as an efficient and stable catalyst for benzoic acid hydrogenation[J]. ACS Catalysis, 2015, 5(5): 3100-3107. DOI:10.1021/acscatal.5b00037 |


