2. 广西高校桂西南特色植物资源化学重点实验室培育基地, 广西 崇左 532200
2. Guangxi Colleges and Universities Key Laboratory Breeding Base of Chemistry of Guangxi Southwest Plant Resources, Chongzuo 532200, China
松香是一种丰富的天然可再生资源,具有“长在树上的石油”的美称,属于极其重要的化工原料[1],广泛应用于油墨、橡胶、涂料及造纸等领域[2-3]。松香经歧化反应得到的产物可进一步分离出稳定的具有芳香环和羧基基团的脱氢枞酸,对脱氢枞酸改性得到的脱氢枞酸衍生物有着良好的生物活性。
聚合物微球是一种粒径处于纳米至微米级的新型功能材料[4],具有较大比表面积、可设计、分散性好等优点,在生物医药、油气化工和环境保护[5-8]等领域有着重要应用。目前制备聚合物微球的化学方法有乳液聚合法[9]、悬浮聚合法[10]、分散聚合法[11-12]、沉淀聚合法等[13],制备时多以苯乙烯为刚性单体,但苯乙烯属于2B类致癌物,对人体健康有潜在危害,且不利于环境保护。Yu等[14]以歧化松香/甲基丙烯酸羟乙酯酯化物、苯乙烯和甲基丙烯酸为原料,利用分散聚合法制备了单分散的松香基羧基化聚合物微球,研究微球对亚甲基蓝吸附性能。刘晓锦等[15]以马来酸酐、醋酸乙烯酯为单体,利用自稳定沉淀聚合法制备了单分散的三元共聚物微球,该微球可屏蔽约90% 的紫外光。冯子雄等[16]以乙基纤维素和聚丙烯酸树脂Ⅳ为原料,通过溶剂挥发法制备了孔结构可调控的大孔聚合物微球。分散聚合法、沉淀聚合法等制备的微球虽然粒径均一,但由于粒径较小,使得产物的分离及处理比较繁琐。
脱氢枞酸/GMA酯化物含有羟基和苯环结构,本研究以该酯化物为单体,利用悬浮聚合法制备了羟基化聚脱氢枞酸/GMA酯微球,聚合过程无需另外引入刚性单体及含功能基团的化合物参与聚合,合成过程简单、绿色环保,微球粒径在200 μm左右,可直接用孔径为38 μm的筛网快速分离。以广西优势特色资源松香为原料,制备的羟基化聚脱氢枞酸/GMA酯微球含有羟基基团,可改性制备其他功能化聚合物微球,或应用于吸附分离,为构建低成本、绿色环保型生物基吸附剂提供有效路径,为松香的高附加值利用提供参考。
2 实验(材料与方法) 2.1 实验材料与仪器脱氢枞酸/GMA酯化物(DG),参照文献[17]自制;偶氮二异丁腈(2, 2'-azobis(2-methylpropionitrile),AIBN,无水乙醇重结晶纯化),分析纯,购自西陇化工股份有限公司;甲基丙烯酸乙二醇酯(ethyleneglycol dimethacrylate,EGDMA,用质量分数为5% 的NaOH溶液洗涤),质量分数为97%,购自上海阿拉丁生化科技股份有限公司;明胶,分析纯,购自天津市光复精细化工研究所。
DF-101S集热式恒温加热磁力搅拌器;Spectrum65红外光谱仪;EOV MA15/LS15扫描电子显微镜;HQT-4全自动差热天平;D8ADVANCE X射线衍射仪。
2.2 羟基化聚脱氢枞酸/GMA酯微球的制备往三口烧瓶中加入60 mL的蒸馏水,设置搅拌器的搅拌速度为200 r·min−1,通入氮气后升温至60 ℃,再加入一定量分散剂明胶,调节转速为600 r·min−1,即得水相。称取6 g DG和质量分数为15% 的交联剂EGDMA,再加入质量分数为1% 的引发剂AIBN,超声分散均匀后加入三口烧瓶,600 r·min−1下持续搅拌15 min,之后调整为反应所需转速,反应温度t下反应3 h,再升温至(t+5) ℃熟化2 h,结束反应。将产物倾出,用温水洗涤至上层清液澄清,过滤,40 ℃下真空干燥,得到羟基化聚脱氢枞酸/GMA酯微球(P(DG/OH))。
2.3 测试与表征红外光谱测试:采用美国Perkin Elmer公司的傅里叶变换红外光谱仪在4 000~450 cm−1对DG和P(DG/OH)进行红外测试,溴化钾压片法进行制样。
热稳定性测试:采用北京恒久科学仪器厂的全自动差热天平对P(DG/OH)进行热稳定性测试,N2气氛,升温速度10 ℃·min−1,温度范围:室温~ 600 ℃。
X射线衍射仪分析:采用德国BRUKER公司的X射线衍射仪对P(DG/OH)的结晶形态进行表征。测试条件:Cu靶Kα射线,管电压为40 V,管电流为40 mA,扫描范围为10° ~ 80°。
扫描电子显微镜分析:采用德国卡尔蔡司公司的扫描电子显微镜对P(DG/OH)的形貌、粒径进行分析。以图片中50个微球的粒径数据为基准,计算其数均粒径、重均粒径、粒度分布指数(PDI)。
| $ {D_{\rm{w}}} = \sum\limits_{i = 1}^n {{d_i}^4} /\sum\limits_{i = 1}^n {{d_i}^3} $ | (1) |
| $ {D_{\rm{n}}} = \sum\limits_{i = 1}^n {{d_i}} /n $ | (2) |
| $ {\rm{PDI}} = {D_{\rm{w}}}/{D_{\rm{n}}} $ | (3) |
式中:Dw为重均粒径,μm;Dn为数均粒径,μm;di为微球粒径,μm;n为微球的个数。
微球粒度分布测试:微球粒度分布主要通过不同孔径的标准筛测定。称取质量为m的产物,置于不同孔径的标准筛,过筛称取相应孔径上未通过筛孔的微球质量mi。求出粒度分布百分比,作出粒度分布柱形图。
| $ 粒度分布百分比= ({m_i}/m) \times 100\% $ | (4) |
图 1为DG和较优条件下合成的P(DG/OH)的FT-IR谱图。从图中可知,3 500 cm−1处为羟基吸收峰,2 950 cm−1附近为甲基、亚甲基吸收峰,1 725 cm−1处的吸收峰是由酯羰基的伸缩振动引起的,1 634 cm−1处为碳碳双键吸收峰,1 606和1 498 cm−1处为苯环骨架吸收峰。与DG的谱图相比,P(DG/OH)的谱图中羟基吸收峰增强,无碳碳双键吸收峰,说明DG中的双键已发生聚合反应,成功制备了P(DG/OH)。
|
图 1 DG和P(DG/OH)的红外光谱图 Fig.1 FT-IR spectra of DG and P(DG/OH) |
图 2为较优条件下合成的P(DG/OH)的热重(TG)及微商热重(DTG)曲线,从图中可以看出,微球的热分解主要有2个阶段,155 ℃附近有一个失重阶段,该阶段的失重率为3.2%,这是由未干燥的有机溶剂挥发引起的。在231 ~ 469 ℃内有一个失重阶段,微球在该阶段的质量迅速减小,失重率为91.9%,这个区间的质量损失归因于微球骨架的分解。在469 ~ 600 ℃,微球的质量基本保持不变,残留率为3.1%。
|
图 2 P(DG/OH)的热重和微商热重曲线 Fig.2 TG and DTG curves of P(DG/OH) |
图 3为较优条件下合成的P(DG/OH)的XRD谱图,从图中可以看出,微球的广角XRD谱图在2θ =15.8°附近出现一个强弥散峰,在2θ =41.5°附近出现一个弱弥散峰,说明微球的分子结构为无定型的非晶态结构。
|
图 3 微球的XRD衍射图 Fig.3 XRD pattern of microspheres |
图 4为较优条件下合成的P(DG/OH)在不同放大倍数下的扫描电镜图。由图可知,所制备的微球整体球形较好,表面光滑,呈单分散状态。
|
图 4 微球的SEM图 Fig.4 SEM images of microspheres |
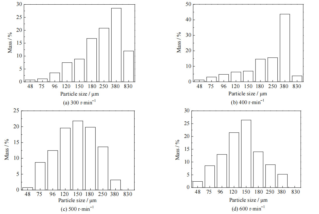
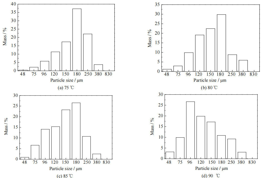
DG质量为6 g,EGDMA质量分数为15%,AIBN质量分数为1%,明胶质量分数为5%,保持转速500 r·min−1,研究不同温度对微球性能的影响。结果如表 1、图 5、6所示。
|
|
表 1 反应温度对微球性能的影响# Table 1 Effects of reaction temperature on microsphere properties |
|
图 5 不同温度下聚合物微球的SEM图 Fig.5 SEM images of polymer microspheres prepared at different temperatures |
|
图 6 不同温度下聚合物微球的粒径分布图 Fig.6 Particle size distribution of polymer microspheres prepared at different temperatures |
由图 5可知,在考察的温度范围内均能制备出羟基化聚脱氢枞酸/GMA酯微球。结合表 1可以看出,随着反应温度升高,微球平均粒径D50减小,球形变好,单分散性变好(PDI值减小)。反应温度为75、80 ℃时,得到的微球粒径大,球形较差,存在黏连情况,尺寸相差较大,这是因为反应温度较低时,成核位点少,而单体总量不变,导致微球粒径较大。由图 5、6可知,温度升高至85 ℃,微球分散性较好,无黏连现象,粒径分布趋近正态分布。当反应温度增大至90 ℃时,微球粒径较小,粒径分布偏离正态分布,这是因为自由基的生成速率和聚合反应速率随着温度升高而增大,自由基链终止速率增大,导致微球粒径减小[18]。由于反应温度为90 ℃时,熟化温度为95 ℃,接近水的沸点,且温度过高,容易出现“二次成核”现象,综合考虑,确定85 ℃为聚合反应的适宜温度。
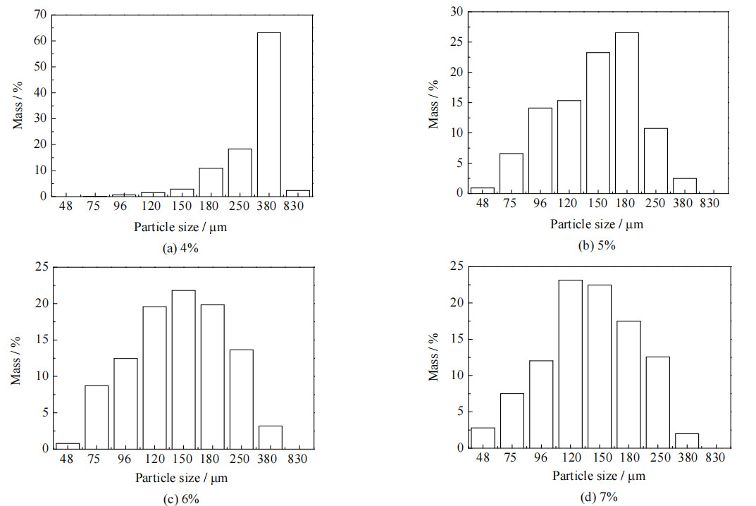
3.5.2 分散剂用量对微球性能的影响固定DG质量为6 g,EGDMA质量分数为15%,AIBN质量分数为1%,反应温度为85 ℃,保持转速为500 r·min−1,研究不同明胶用量对微球性能的影响。结果如表 2、图 7、8所示。
|
|
表 2 分散剂用量对微球性能的影响 Table 2 Effects of dispersant dosage on microsphere properties |
|
图 7 不同分散剂用量下聚合物微球的SEM图 Fig.7 SEM images of polymer microspheres prepared under different dispersant dosages |
|
图 8 不同分散剂用量下聚合物微球的粒径分布图 Fig.8 Particle size distribution of polymer microspheres prepared under different dispersant dosages |
明胶是一种水溶性有机分散剂,能够吸附在单体液滴表面,使表面张力降低,有利于液滴分散,防止微球发生黏连或团聚。由表 2、图 7、8可知,分散剂用量越多,微球的平均粒径越小,粒径分布也越来越均匀(PDI值减小)。当明胶质量分数为4%、5% 时,搅拌条件下形成的单体小液滴没有得到充分保护,容易团聚成大小不均的微球。当明胶质量分数为6% 时,微球球形较好,轮廓清晰,无黏连现象,粒径分布接近正态分布。这是因为反应体系中存在较多分散剂,能够有效阻碍核之间的聚集、缩短初始核形成的时间,使得“二次成核”不易发生[19],微球的平均粒径减小,说明此时的明胶质量分数能够为反应体系提供足够的稳定性。继续增加分散剂用量,微球粒径进一步减小,球形及分散性较好,但过量的分散剂会污染微球表面并影响微球的固有特性,不利于微球的后期处理。因此,选择6% 为适宜的分散剂质量分数。
3.5.3 搅拌速度对微球性能的影响固定DG质量为6 g,EGDMA质量分数为15%,AIBN质量分数为1%,明胶质量分数为6%,反应温度为85 ℃,研究不同搅拌速度对微球性能的影响。结果如表 3、图 9、10所示。
|
|
表 3 搅拌速度对微球性能的影响 Table 3 Effects of stirring speed on microsphere properties |
|
图 9 不同搅拌速度下聚合物微球的SEM图 Fig.9 SEM images of polymer microspheres prepared at different stirring speeds |
|
图 10 不同搅拌速度下聚合物微球的粒径分布图 Fig.10 Particle size distribution of polymer microspheres prepared under different stirring speeds |
结合表 3、图 9、10可知,搅拌速度由小增大时,微球平均粒径逐渐减小,分散性越来越好(PDI值减小),粒径分布趋近正态分布。这是因为在聚合过程中,黏性剪切力和涡流分散力随着搅拌速度增大而增大,有效克服了液滴间的界面张力和黏性力,使得液滴分散,微球粒径变小[20]。搅拌速度低于500 r·min−1时,液滴不能完全分散,且容易黏结聚并,得到的微球大小不均,分散性较差(PDI值较大)。搅拌速度为500 r·min−1时,聚合体系受到的剪切力增大,水相和油相能够充分混合均匀,单体反应更加充分,得到的微球较为圆整,粒径分布均匀。当搅拌速度增大至600 r·min−1时,由于剪切力较大,部分微球出现破裂现象,说明搅拌速度不宜太高。因此,选择500 r·min−1为较优搅拌速度。
4 结论(1) 制备了一种表面含有羟基的聚脱氢枞酸/GMA酯微球。
(2) 对制备羟基化聚脱氢枞酸/GMA酯微球的条件进行研究,得到了优化条件:反应温度为85 ℃,明胶质量分数为6 %,搅拌速度为500 r·min−1,此条件下制备的微球球形良好,粒径分布均匀,属于无定型的非晶态结构。
(3) 研究表明:在交联剂和引发剂存在的情况下,脱氢枞酸/GMA酯化物发生均聚反应制备羟基化聚脱氢枞酸/GMA酯微球,无需引入功能单体和刚性单体参与聚合,且该反应以水作为反应介质,绿色环保。
| [1] |
王瑾, 聂影. 中国松香产业内贸易类型评价[J]. 南京林业大学学报(自然科学版), 2017, 41(2): 203-206. WANG J, NIE Y. Evaluation of the intra-industry trade type of Chinese rosin[J]. Journal of Nanjing Forestry University (Natural Sciences), 2017, 41(2): 203-206. |
| [2] |
LIU Y, WANG S, LI X X, et al. Effect of rosin resin on the properties of natural rubber/polyester layered fibers[J]. Journal of Macromolecular Science, Part B, 2021, 60(2): 124-135. DOI:10.1080/00222348.2020.1840851 |
| [3] |
杨凯, 沈一丁, 马国艳. 阴离子松香施胶剂的制备及性能[J]. 中国造纸, 2019, 38(4): 30-35. YANG K, SHEN Y D, MA G Y. Preparation of anionic rosin sizing agent and its properties[J]. China Pulp & Paper, 2019, 38(4): 30-35. |
| [4] |
LI X, WEI Y, MA G H, et al. Recent research and development prospects for sustained-release microspheres[J]. Journal of Beijing University of Chemical Technonlogy, 2017, 44(6): 1-11. |
| [5] |
尹微虹, 巨晓洁, 谢锐, 等. 具有梯级释药性能的核壳型双重载药微球[J]. 化工进展, 2021, 40(2): 998-1007. YIN W H, JU X J, XIE R, et al. Dual drug-loaded core-shell microspheres for programmed sequential release[J]. Chemical Industry and Engineering Progress, 2021, 40(2): 998-1007. |
| [6] |
ZOU Q, HOU F L, WANG H, et al. Microfluidic one-step preparation of alginate microspheres encapsulated with in situ-formed bismuth sulfide nanoparticles and their photothermal effect[J]. European Polymer Journal, 2019, 115: 282-289. DOI:10.1016/j.eurpolymj.2019.03.040 |
| [7] |
杜文浩, 宋兆辉, 吴鹏伟, 等. 亲水性两性离子交联聚合物微球的制备及性能[J]. 高分子材料科学与工程, 2020, 36(11): 1-6. DU W H, SONG Z H, WU P W, et al. Preparation and properties of hydrophilic zwitterionic crosslinked polymer microspheres[J]. Polymer Materials Science & Engineering, 2020, 36(11): 1-6. |
| [8] |
张辰, 韩伟豪, 宫玉梅, 等. 中空介孔SiO2的合成及其对CrⅥ的吸附[J]. 材料研究学报, 2021, 35(1): 45-52. ZHANG C, HAN W H, GONG Y M, et al. Synthesis of hollow mesoporous SiO2 and its adsorption performance of CrⅥ[J]. Chinese Journal of Materials Research, 2021, 35(1): 45-52. |
| [9] |
ZHOU M J, ZHOU S Z, PANG X C, et al. Preparation of superparamagnetic γ-Fe2O3@LS@PS composite latex particles through pickering miniemulsion polymerization[J]. Colloids and Surfaces A: Physicochemical and Engineering Aspects, 2020, 585: 124040. DOI:10.1016/j.colsurfa.2019.124040 |
| [10] |
MA R, TANG W, HU P, et al. Fabrication of low-density heat-resistance polystyrene/carbon black composite microspheres used as hydraulic fracturing proppant[J]. Materials Express, 2019, 9(2): 150-158. |
| [11] |
KHARISMADEWI D, HALDORAI Y, NGUYEN V H, et al. Synthesis of graphene oxide-poly(2-hydroxyethyl methacrylate) composite by dispersion polymerization in supercritical CO2: adsorption behavior for the removal of organic dye[J]. Composite Interfaces, 2016, 23(7): 1-21. |
| [12] |
胡霞, 刘洋, 徐海超, 等. 分散聚合法制备单分散P(St-co-BA)微球[J]. 塑料工业, 2021, 49(6): 30-33. HU X, LIU Y, XU H C, et al. Preparation of monodisperse P(St-co-BA) microspheres by dispersion polymerization[J]. China Plastics Industry, 2021, 49(6): 30-33. |
| [13] |
宫明慧, 杨珊珊, 李树生, 等. 沉淀聚合制备荧光聚脲微球及Fe3+检测[J]. 高等学校化学学报, 2019, 40(6): 1317-1323. GONG M H, YANG S S, LI S S, et al. Preparation of fluorescence polyurea microspheres through precipitation polymerization and their use for Fe3+ determination[J]. Chemical Journal of Chinese Universities, 2019, 40(6): 1317-1323. |
| [14] |
YU C L, BIAN F, ZHANG S F, et al. Preparation of the monodispersed carboxylfunctionalized polymer microspheres with disproportionated rosin moiety and adsorption of methylene blue[J]. Adsorption Science & Technology, 2018, 36(5/6): 1-14. |
| [15] |
刘晓锦, 李婷, 汪洋, 等. 具有广谱紫外屏蔽性能的三元共聚物微球的制备[J]. 高等学校化学学报, 2021, 42(6): 1965-1977. LIU X J, LI T, WANG Y, et al. Preparation of terpolymer microspheres with broad band UV-blocking performance[J]. Chemical Journal of Chinese Universities, 2021, 42(6): 1965-1977. |
| [16] |
冯子雄, 徐建昌, 章莉娟. 溶剂挥发法制备大孔聚合物微球[J]. 高校化学工程学报, 2019, 33(6): 1509-1515. FENG Z X, XU J C, ZHANG L J. Preparation of macroporous polymer microspheres by a solvent evaporation method[J]. Journal of Chemical Engineering of Chinese Universities, 2019, 33(6): 1509-1515. |
| [17] |
许建本, 郑燕菲, 钟昌玲, 等. 溶剂法合成脱氢枞酸/甲基丙烯酸缩水甘油酯酯化物[J]. 分子科学学报, 2020, 36(5): 422-427. XU J B, ZHENG Y F, ZHONG C L, et al. Synthesis of ester of dehydroabietic acid and glycidyl methacrylate by solvent[J]. Journal of Molecular Science, 2020, 36(5): 422-427. |
| [18] |
杨茂洁, 李小瑞, 王小荣, 等. 蛭石/聚丙烯酰胺复合纳米微球的制备及其性能[J]. 油田化学, 2014, 31(4): 508-512. YANG M J, LI X R, WANG X R, et al. Preparation and performance evaluation of polyacrylamide/vermiculite nano core-shell microspheres[J]. Oilfield Chemistry, 2014, 31(4): 508-512. |
| [19] |
王天佑, 范浩军, 陈意, 等. 分散聚合制备粒径可控的聚甲基丙烯酸甲酯微球[J]. 高分子材料科学与工程, 2019, 35(2): 41-46, 53. WANG T Y, FAN H J, CHEN Y, et al. Solid polymer electrolytes based on comb-like thermoplastic polyurethane[J]. Polymer Materials Science & Engineering, 2019, 35(2): 41-46, 53. |
| [20] |
刘凯, 张化哲, 谢贵堂, 等. 高交联度聚苯乙烯微球聚合工艺的研究[J]. 现代化工, 2021, 41(5): 179-181. LIU K, ZHANG H Z, XIE G T, et al. Study on polymerization process of polystyrene microspheres with high crosslinking degree[J]. Modern Chemical Industry, 2021, 41(5): 179-181. |


