手性是物质分子与其镜像不能重合的性质,广泛存在于自然界中。不同手性分子对映体之间往往在药理活性、毒性、催化性能等方面存在较大差异,因此,获得纯净单一对映体成为目前国际研究的热门。天然的单对映体数量十分有限,非天然的单对映体目前主要通过不对称合成与消旋体拆分获得。不对称合成需要为每种化合物设计合适的路径,需要较大成本和较长开发时间,因此,通过消旋体拆分获得单一对映体的研究具有重要意义。
离子液体(ionic liquids, ILs)是指由有机阳离子和无机或有机阴离子构成的、在室温呈液态的盐类,具有蒸汽压低、热稳定性好、溶解能力强、电导率高等特性,广泛应用于电化学、化学催化、气体吸收、萃取分离等方面[1]。手性离子液体(chiral ionic liquids,CILs)是离子液体中重要的一类,分子结构中通常存在手性中心,具有手性分子的一般特性,手性识别选择性好。表 1给出了近期研究中常用的手性离子液体的结构。国内外已有很多手性离子液体在不对称合成催化[2, 3]、光谱分析[4, 5]、材料制备[6, 7]等领域应用的相关研究。将手性离子液体用于手性对映体拆分领域的研究是其应用的一个重要方面,近来相关报导也越来也多,研究更加广泛。本文对近年来手性离子液体在液相色谱,毛细管电泳,气相色谱,液液萃取等方面的研究进展加以综述,对其现阶段应用中存在问题进行了分析,并对其应用前景进行了展望。
| 表 1 近期研究中常用手性离子液体 Table 1 Frequently used chiral ionic liquids in recent research |
液相色谱是常用的快速高效的分离方法,其中手性离子液体的应用主要是以手性流动相添加剂或色谱柱固定相的手性改性剂两种形式。
2.1 作为手性流动相添加剂(Chiral Mobile Phase Additive, CMPA)离子液体由于其黏度较大,密度较高,且紫外检测时弱吸收的种类较少,难以直接替代传统的甲醇、乙腈等作为流动相。1987年Shetty等[8]尝试用烷基铵硝酸盐和硫氰酸盐离子液体进行相关实验导致了极高的内压及对仪器的强腐蚀,实验中止。目前离子液体都是以添加剂的形式应用在液相色谱流动相中。表 2给出了近年来手性离子液体作为流动相添加剂的研究情况。
| 表 2 手性离子液体在液相色谱中作为手性流动相添加剂的研究情况 Table 2 Studies of chiral ionic liquids as chiral mobile phase additives in liquid chromatography |
目前手性离子液体作为流动相添加剂用于对映体拆分多数是通过配体交换进行的。依据Dalgliesh[9]的“三点作用理论”,待分离物质的两种对映体分别与金属离子,手性离子液体等手性配体(Chiral Ligand, CL)通过静电力、氢键、范德华力、π-π相互作用、疏水作用等配位结合,形成两种非对映体络合物,两种非对映体的物理化学性质有所不同且稳定性存在差异,导致它们在色谱柱上的不同行为,从而能够进行拆分。配体交换过程如下:
| $ \begin{gathered} {\left[ {{\text{CL}}} \right]_n}{\text{M}}\;\;{\text{ + }}\;L - {\text{CS}}\mathop \rightleftharpoons \limits^{{{\text{k}}_1}} {\left[ {{\text{CL}}} \right]_{n - 1}}{\text{M}}\left[ {L - {\text{CS}}} \right]\;\;\;\; + {\text{CL}}\;\;\;\;n \geqslant 2 \hfill \\ {\left[ {{\text{CL}}} \right]_n}{\text{M}}\;\;{\text{ + }}\;D - {\text{CS}}\mathop \rightleftharpoons \limits^{{{\text{k}}_2}} {\left[ {{\text{CL}}} \right]_{n - 1}}{\text{M}}\left[ {D - {\text{CS}}} \right]\;\;\;\; + {\text{CL}}\;\;\;\;n \geqslant 2 \hfill \\ \end{gathered} $ |
式中,CL为手性配体;M为金属离子;L-CS、D-CS为对映体。
手性配体通常要求有两个以上可配位的官能团且距手性中心较近,其与金属离子M (多为Cu2+,Zn2+,Ni+等)发生配合作用生成[CL]nM,之后跟对映体L-CS、D-CS配体交换形成两种三元络合物。络合物稳定性不同,结构稳定,与色谱柱作用强的在液相谱图中后出峰。与D, L-氨基酸等常规手性配体相比,手性离子液体通常阳离子空间位阻较大,空间排斥作用强且阴离子兼有配体官能团的特性,形成的络合物稳定性差别更明显,更易分离。实际应用中分离度也受金属及配体的种类和浓度、流动相极性、pH、柱温等因素的影响[10]。
Liu等[11]将手性离子液体应用到液相色谱拆分中,利用烷基咪唑L-脯氨酸盐作为手性配体与Cu2+作为流动相添加剂对4对氨基酸对映体进行了拆分。发现氨基酸离子液体作为手性配体的拆分效果好于同类氨基酸,分离度3.26~10.81。实验中对映体的分离度及保留时间均随咪唑烷基链长增长而增加,作者推测分离机理为咪唑阳离子通过烷基链的疏水作用吸附在C18柱表面,并通过离子对与含Cu2+的三元络合物相互作用。而Bi等[12]在使用多种咪唑基亮氨酸离子液体作为流动相添加剂分离氧氟沙星对映体时却发现,随咪唑烷基链长的增长,氧氟沙星拆分的分离度及选择性变差。作者认为这是因为氧氟沙星作为药物对映体,空间体积较大,较长的烷基链有较大的空间位阻,且与Cu2+静电作用弱,不利于稳定三元络合物的生成。
此外,Qing等[13],Zhou等[14],杨艳霞等[15, 16],李静等[17]还研究了以其他手性离子液体为配体,液相色谱对色氨酸,扁桃酸等对映体的拆分效果。
Yuan等[18]研究了以(R)-N, N, N-三甲基-2-氨基丁醇-双(三氟甲基磺酰亚胺)盐单独作为流动相添加剂,对于苯丙氨酸、苯基琥珀酸等8种对映体拆分效果。多数对映体拆分较为成功,但对苯丙氨酸,苯基琥珀酸及N, N-二甲基-1-苯基乙胺效果较差。此为较少的直接以单一手性离子液体作为流动相添加剂的拆分研究,拓展了离子液体作为CMPA的应用。
从上述的研究情况可以看出,添加手性流动相法有着不弱于手性柱的拆分能力,其优势在于在流动相中添加手性离子液体后,可利用非手性柱进行对映体拆分,只需更换流动相即做到一根色谱柱满足不同的分离要求,方便快捷,价格低廉,是一种有前景的分离方法。但目前能用CMPA法分离的对映体种类有限,多集中在氨基酸等简单小分子,开发选取合适的手性离子液体,扩展CMPA法的应用是研究的方向。
2.2 制备手性固定相(Chiral Stationary Phase, CSP)传统的液相色谱手性固定相多为环糊精、纤维素等,手性离子液体类固定相用于液相色谱的拆分研究开始较晚。2010年Zhou等[19]使用1, 2-二甲基咪唑及1-氨基-1, 2, 3-三氮唑与环糊精衍生物反应制备了四种离子液体功能化的环糊精,接枝于硅胶上作为固定相,并以乙腈体系为流动相用于16种芳香醇衍生物及两种外消旋体药物的手性拆分。结果表明,正电荷咪唑基团的引入增强了环糊精固定相与对映体之间的静电作用及氢键作用,4种固定相对于检测的大部分物质均有较好的拆分效果,分离度在1.5以上。
Kodali等[20]利用2-(1H-咪唑-1-基)环己醇接枝于硅胶表面制备了具有手性离子液体性质的固定相,并以二氯甲烷与正己烷为流动相,对六螺烯进行了手性拆分。分离度0.9,选择性系数1.07,具有一定拆分效果。
单独利用手性离子液体制备固定相相比于纤维素、环糊精等传统手性固定相优势并不明显,液相色谱中离子液体的特性难以体现。将手性离子液体与环糊精、纤维素等手性分离物质结合,利用离子液体基团改善其功能,是开发拓展手性离子液体在液相色谱固定相中应用的一条途径。
3 手性离子液体在毛细管电泳手性拆分中的应用毛细管电泳是重要的拆分方法,它以高压直流电场为驱动力,利用对映体的不同迁移速率达到拆分效果,简单,快捷。对映体分离的关键在于手性环境的构建,目前多是以在缓冲液中加入手性选择剂来实现。手性选择剂通过与对映体之间的静电、氢键、范德华力等作用来改变其迁移速率,获得分离。常用手性选择剂有环糊精及其衍生物、冠醚、手性表面活性剂,大环抗生素等。手性离子液体作为高效拆分剂也越来越受到重视,并大量用于毛细管电泳拆分对映体的研究。
离子液体的性质决定了其在毛细管电泳中应用的独特优势:较好的热稳定性,可适应较高电场,样品的分离测定更加快速高效;常温下为液态,沸点高,有助于避免因焦耳热导致溶液沸腾而产生的断流,有助于动力学控制和建立高温梯度分离;挥发性低,可减少因挥发产生的电解质溶液变化,提高重现性;对于有机物,无机物能较好溶解,可同时分离复杂样品中水溶性与脂溶性物质,简化分离过程。因此,毛细管电泳也是手性离子液体在拆分研究中应用最为广泛的领域[21~23]。
手性离子液体用于毛细管电泳的研究主要集中在两类,一类是手性离子液体与传统的手性选择剂一同作为背景电解质添加剂用于拆分,其中传统手性选择剂为主,手性离子液体为辅,用于增强选择剂体系的拆分效果,多用于药物对映体的拆分;另一类为手性离子液体作为金属的手性配体,利用手性配体交换法拆分,机理类似于液相色谱中作为手性流动相添加剂,多是拆分氨基酸类对映体。表 3给出了近年来手性离子液体在毛细管电泳中对映体拆分应用的研究情况。
| 表 3 手性离子液体用于毛细管电泳拆分对映体的研究情况 Table 3 Studies of chiral ionic liquids in enantioseparation with capillary electrophoresis |
Francois等[24]将[EtChol]NTf2和[PhChol]NTf2两种手性离子液体作为毛细管电泳背景电解质添加剂,拆分了洛芬类药物对映体。研究发现,单一手性离子液体作为添加剂没有明显效果,与环糊精共同作为添加剂时,拆分能力相比于单一环糊精有明显提升;且利用LiNTf2盐替代离子液体与环糊精共同作为添加剂时,选择性及分离度均有下降。作者认为此现象一是由于手性离子液体的加入提高了缓冲液盐浓度,降低了电渗流(Electroosmotic Flow,EOF),二是拆分剂间存在协同效应,离子液体与对映体间存在离子对效应所致。相互作用简图如图 1。
|
图 1 手性离子液体阳离子(IL+)、环糊精(CD)、洛芬类对映体阴离子(A-)相互作用机理简图[24] Fig.1 Mechanism of interaction among chiral ionic liquids, β-CD and anionic profen |
胶束电动毛细管电泳是毛细管电泳中重要的一类,利用分子在胶束准固定相和流动相中的分配系数不同进行分离,对于中性物质分离效果较好。长链手性离子液体可作为胶束准固定相应用其中。Wang等[25, 26]利用三甲基环糊精与烷基长链阳离子手性离子液体L-UCLB作为添加剂,毛细管胶束电动色谱成功拆分了多种洛芬类对映体。后又通过亲和毛细管电泳对此体系探索,计算了非诺洛芬与拆分剂间的结合常数,进一步揭示了协同作用的存在。Liu等[27]在使用类似体系拆分多种中性对映体时,发现此类离子液体头部基团的极性对临界胶束浓度有明显影响,进而影响分离度,是离子液体选取的关键。
此外,Wu等[28],Mavroudi等[29],Zuo等[30],Du等[32]学者也研究了多种手性离子液体与环糊精衍生物共同作为手性选择剂对于药物对映体的拆分效果。
Du等[31]还使用[TMA]L-Arg,[TMA]L-Asp两种手性离子液体,以糖原/离子液体共同作为手性添加剂成功拆分了NEF,CIT,DUL三种药物对映体,验证了体系间的协同效应。这是利用手性离子液体结合非环糊精衍生物体系的研究,拓宽了手性离子液体作为辅助手性选择剂的应用范围。
从上述研究内容可看出,单一的手性离子液体作为选择剂,拆分效果大都不太理想;但在已有传统选择剂的背景电解质中加入低浓度的手性离子液体作为共选择剂时,相比于原单一选择剂,拆分能力有较大提高。原因主要两方面,EOF的降低与协同效应。首先,手性离子液体会在缓冲溶液中解离,增大了缓冲液盐浓度;且手性离子液体中通常含有弱配位离子,可与石英等材质的毛细管壁特异性结合,动态修饰管壁,减少吸附,此两方面因素对电渗流造成影响,致使EOF下降,增加拆分效果。其次,手性离子液体与传统选择剂间存在协同效应,通过氢键、静电力、偶极-偶极作用、π-π相互作用等作用相结合,形成共拆分体系,增强了对映体选择性,提高了拆分能力。
目前也有少量的直接用手性离子液体单独作为的手性选择剂用于拆分的研究。Stavrou等[33]利用5种氨基酸阳离子类手性离子液体单独用作手性拆分剂,研究了体系对于联萘酚磷酸酯对映体的毛细管电泳手性拆分。当以乳酸叔丁基L-丙氨酸酯(L-AlaC4Lac)作为拆分剂,手性离子液体浓度为60 mmol×L-1,pH值为8时,13 min内即可成功分离联萘酚磷酸酯对映体。Ma等[34]利用手性离子液体N, N-二甲基麻黄碱双(三氟甲基磺酰亚胺)盐([DMP] NTf2)单独作为手性选择剂与背景电解质添加剂用于奥美拉唑与贝雷拉唑药物对映体的毛细管电泳拆分。在缓冲液乙腈:甲醇=4:6(v/v),手性离子液体浓度60 mmol×L-1,乙酸铵浓度5 mmol×L-1时,可获得较好的拆分效果,分离度分别为0.95和0.83。作者认为手性分离主要由手性离子液体与对映体间的离子对作用和氢键作用所致。
3.2 作为手性配体在毛细管电泳拆分中,手性离子液体作为手性配体参与的配体交换法毛细管电泳拆分也是近年来发展较快的一类。Liu等[11]利用咪唑基L-脯氨酸盐为手性配体,与Cu2+共同作为背景电解质添加剂,采用毛细管电泳成功拆分了4对氨基酸对映体。Liu等认为拆分机理类似于CMPA法,烷基咪唑阳离子修饰毛细管壁,使其表面带有烷基长链,近似于C18柱。
Mu等[35]以4种脯氨酸阳离子手性离子液体作为手性配体,进一步研究了手性离子液体对EOF的影响。结果显示,脯氨酸离子液体体系相比于脯氨酸拥有更高的EOF,迁移时间却更长,原因推测为手性离子液体在缓冲液中只有部分解离,与金属离子形成的络合物种类较多,拥有更大的体积,阻碍了与对映体之间的离子交换作用所致。Mu等[36, 37]还利用鸟氨酸阴离子的咪唑基离子液体及吡啶基阳离子的赖氨酸离子液体与Zn2+配位作为手性选择剂用于多种氨基酸对映体的毛细管电泳拆分,取得了较好的分离效果。
刘瑞娟等[38]在以手性离子液体四甲基铵L-羟脯氨酸盐为手性配体,拆分色氨酸和3, 4-二羟基苯丙氨酸对映体时,研究了添加表面活性剂的影响。表面活性剂十二烷基硫酸钠加入后,利用胶束电动毛细管色谱,氨基酸对映体选择性和分离度有进一步提升,且能部分分离区带电泳不能分开的组氨酸与苯丙氨酸对映体。该研究为手性配体法在胶束电动毛细管电泳中的应用提供了参考。
此外,黄露[39]等学者也利用氨基酸离子液体作为手性选择剂配体,对3种氨基酸进行了毛细管电泳拆分,研究机理后得出了类似的结论。
从以上研究情况可以看出,配体交换法毛细管电泳拆分中手性离子液体对于拆分的影响也主要是两方面(以[EMIM]L-Lac拆分色氨酸为例)。首先,手性离子液体在缓冲液中部分解离,解离出的咪唑阳离子基团在毛细管壁特异性地吸附,修饰管壁,引起负电荷聚集,影响电渗流强度,影响迁移时间。其次,未解离的手性离子液体与配位中心金属离子,待分离对映体通过配体交换形成三元络合物,手性离子液体中的阳离子与三元络合物通过离子对相互作用。依据不同对映体三元络合物间的迁移速率差异进行拆分,如图 2所示。由于手性离子液体分子体积较大,生成的三元络合物的稳定性差异也较大,并且以其为配体的络合物可能通过烷基长链与壁面发生疏水作用,因而表现出更好的手性拆分能力。
|
图 2 毛细管电泳手性配体法的手性拆分机理[39] Fig.2 Enantioseparation mechanism of chiral ligand exchange in capillary electrophoresis |
气相色谱是一种较为普及的快速灵敏的手性拆分方法,其中选取合适的固定相,制备高效的手性柱一直是研究的关键。手性离子液体由于其较好的热稳定性、低挥发性及手性识别能力,近些年开始受到人们的关注,用来替代传统的环糊精类、冠醚类手性固定相较早地使用在气相色谱中。
Armstrong等[40]于2004年首先将手性离子液体应用于气相色谱固定相的研究。他们利用双手性中心离子液体[DMP]NTf2的三种对映体(互为两对对映体)作为固定相分别制备了气相色谱柱,并利用其成功地拆分了醇类、二醇类、亚砜类、酰胺类、环氧化物等多种常规环糊精柱难于分离的物质。设计双手性中心的目的是有利于手性拆分机理的探索,但研究中发现,当实验温度在140℃以上时,固定相使用几周后便失去活性,选择拆分能力下降。原因为双手性中心离子液体高温下发生脱水反应,生成烯烃,之后遇水生成消旋体所致。故实际使用中,单手性中心的离子液体更能适应高温情况。
Yuan等[18, 41]利用(R)-N, N, N-三甲基-2-氨基丁醇-双(三氟甲基磺酰亚胺)盐手性离子液体作为固定相制备了毛细管气相手性色谱柱,并成功拆分了香茅醛,甲基-β-羟基异丁酯等9对对映体。后又在该色谱柱中添加单壁碳纳米管进行改进。对比发现,相比于单一手性离子液体色谱柱,添加碳纳米管后的色谱柱对于亮氨酸,N-苯基-甲基苄胺四对对映体的拆分能力显著提升。这是由于碳纳米管以网状骨架结构粘结在毛细管内表面,增大了内部的比表面积,增加了固定相与待分离物质的接触所致。
孙晓杰等[42, 43]利用多种氨基酸类手性离子液体与聚硅氧烷混合,制备了气相色谱固定相。结果显示,氨基酸咪唑阳离子手性离子液体[BAlaIM]Br共混性能好,在固定相中含量50%时,柱效高达3200 plate×m-1,对香芹酮,香茅醛等对映体有较好的识别能力。作者探讨了对映体分子构型,分子间作用力对手性拆分的影响,认为对映体分子中官能团数量及空间构型是主要因素,分子极性也有一定程度的影响。
此外,李芙蓉等[44],任朝兴等[45]也利用多种手性离子液体固定相进行了香茅醛,氨基酸等对映体的拆分,取得了一定分离效果。
通过以上的研究情况可以看出,尽管手性离子液体作为气相色谱的固定相引入较早,发展时间较长,但研究并不充分。虽然离子液体其结构可调控性强,可通过自由改变阴阳离子官能团及侧链引入需要的基团实现相关功能,作为手性固定相有其独特的优势,但其手性识别机理,对映体选择机制却并不清楚,难以通过理论指导功能型离子液体的合成、选用及在气相手性固定相中的开发。这是目前研究的难点,需要引起更多的关注。
5 手性离子液体在液-液萃取手性拆分中的应用相比于色谱拆分,液液萃取拆分法设备简单,能耗较低,易于放大,更有可能实现工业化。手性离子液体作为低挥发,溶解性能好的优良溶剂,可考虑用于液液萃取。目前已开始有少量手性离子液体替代传统拆分剂或与其他拆分剂共同应用于液液萃取拆分的研究。
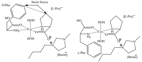
唐飞等[46]使用咪唑基的氨基酸手性离子液体同时作为溶剂与手性选择剂对多对氨基酸对映体进行了萃取拆分。研究中,溶有醋酸铜的咪唑基L-脯氨酸盐离子液体作为一相,添加了氨基酸消旋体的乙酸乙酯作为另一相。实验测定了体系对于4种氨基酸的拆分情况,并对铜离子浓度,氨基酸浓度等条件进行了优化。研究显示,此含有手性离子液体的两相体系对于氨基酸的拆分属手性配体交换机理,离子液体、Cu2+及两种对映体组成不同构型的络合物,如图 3所示。此体系应用于苯丙氨酸与酪氨酸消旋体拆分时效果较好,对映体过量值(ee%值)分别为35.8%与21.9%,对于组氨酸、色氨酸则效果不明显。
|
图 3 液液萃取中氨基酸手性离子液体的手形识别机理[46] Fig.3 Chiral recognition mechanism of amino acid ionic liquids in liquid-liquid extraction |
尽管手性离子液体作为溶剂用于对映体拆分取得了一定效果,但直接作为溶剂使用量大,成本较高,且离子液体一般黏度较大,会引起混合传质困难等问题,不利于工业化。以少量离子液体作为拆分剂添加入水相或有机相则是条有效途径。
陈冬璇等[47]将1-乙基-3-甲基咪唑L-酒石酸溶于水相,L-二苯甲酰酒石酸溶于正癸醇有机相,对氧氟沙星对映体进行了双相手性识别萃取拆分。研究中L-二苯甲酰酒石酸倾向于识别L-氧氟沙星,而1-乙基-3-甲基咪唑L-酒石酸则对D-氧氟沙星识别作用较好。实验对离子液体浓度,二苯甲酰酒石酸浓度,氧氟沙星对映体浓度及水相pH等条件进行了优化,氧氟沙星对映体的选择性系数最高达3.6,显著高于单一萃取剂的萃取体系。
Wu等[48]利用多种托品醇类(tropine)手性离子液体与Cu2+组成金属络合物手性萃取剂,在双水相体系中对苯丙氨酸消旋体进行了萃取拆分研究。实验采用手性离子液体与Cu2+作为上相,无机盐溶液作为下相(固相),优化了Cu2+浓度、水的比例、无机盐种类及比例等条件,并利用核磁氢谱探讨了分离机理。研究表明,拆分主要基于配体交换,离子液体-Cu2+-对映体三元络合物在双水相中选择性分配;苯丙氨酸D型对映体的三元络合物稳定性更好,富集于上相;L型则在下相。最优条件下,下相中ee%值达65%。Wu等[49]也利用少量手性离子液体通过双水相萃取拆分了苯丙氨酸消旋体。硫酸钠盐溶液为上相,手性离子液体相为下相,萃取后,D型对映体在离子液体相富集,L型在水相富集,水相中ee%值达53%。通过核磁氢谱测量与计算,推测离子液体与对映体间的相互作用主要受羧酸酯基与氨基间氢键及氨基与羟基间氢键影响。
目前手性离子液体在液液萃取拆分中的应用并不多,刚刚起步,其萃取拆分过程及协同效应的机理尚未完全明晰,难于指导手性离子液体萃取剂的有效选取。探索手性离子液体与对映体之间的相互作用机理,并用于指导开发廉价、高效的手性离子液体萃取剂是当前研究的难点。
6 手性离子液体用于对映体拆分的其他方法此外,手性离子液体用于对映体拆分还有部分研究较少的其他方法,也有较好的分离效果。
Meng等[50]将合成的环糊精手性离子液体单-6-脱氧-6-(3-甲基咪唑)-β -环糊精甲苯磺酸盐接枝在聚电解质络合物膜表面,制备了手性离子液体固膜,并用于色氨酸对映体的分离研究。研究表明,随固膜双层数量(bilayer numbers)的上升,选择性系数有明显的提升;随操作时间的增加,固膜的选择性系数呈下降趋势。最大平均选择性系数在1.4以上。该固膜的研究开发对于手性离子液体在膜分离领域的应用拓展具有积极意义。
Liu等[51]将咪唑基脯氨酸盐手性离子液体接枝在硅胶包裹的Fe3O4纳米颗粒表面,制备了具有手性拆分能力的磁性纳米微球,并应用于离心色谱对色氨酸对映体进行了拆分,同时通过在线检测装置验证分离效果。结果表明,在水-乙醇和水-正丁醇的溶剂系统中,磁性纳米颗粒均可实现对色氨酸的成功拆分。此外,手性改性磁性纳米颗粒比表面积大,混合作用好,拆分能力强,且回收简便。该研究为此类颗粒在对映体拆分方面的应用提供了参考。
7 展望综上可知,手性离子液体在对映体拆分领域已取得较多的成果。在液相色谱、毛细管电泳、气相色谱中,手性离子液体作为手性配体、手性选择剂、手性固定相,均展现出较好的手性识别能力,对于多种氨基酸对映体及部分药物对映体都已成功拆分,应用范围较广。在液液萃取拆分方面也有部分氨基酸对映体被研究,能够显著提高对映体的选择性系数,取得初步进展。且探讨了对映体识别的机理及选择剂间的协同效应,能初步指导手性离子液体及相关选择剂的选用,有一定的研究基础。
但手性离子液体拆分对映体的深入研究仍然面临着诸多问题:单一的功能化手性离子液体仅对一种或几种对映体有拆分效果,具有较广泛拆分功能的手性离子液体及拆分方法有待开发。手性离子液体拆分对映体的研究较多地集中在氨基酸等较简单的物质,而对实际应用价值更高的药物对映体等复杂有机物则研究较少,且对映体识别拆分及手性选择剂间协同效应的机理研究不够深入,较难指导拆分过程中离子液体的选取。此外,色谱拆分方法普遍规模偏小,成本高,目前仅限于作为分析检测的手段,难以规模化应用于实际生产;而液液萃取作为设备简单,容易工业化的拆分方法,却由于手性离子液体萃取剂种类少,效率低等问题,仍处于起步阶段。且手性离子液体作为拆分剂成本较高,回收利用较为困难,增加了工业化的阻力。为此,我们认为可从以下几方面来探求解决方法。
(1) 加强功能化手性离子液体的开发。在保持对对映体手性识别的基础上,根据拆分体系设计、合成符合相应要求的手性离子液体,强化选择剂间协同效应。同时可借助于计算机模拟方法,对手性离子液体自身的构-效关系及与药物对映体等复杂分子间的相互作用等进行模拟分析,从理论上指导手性离子液体的合成及选用。
(2) 加强手性离子液体拆分对映体的基础研究,重点面向药物对映体。测定相关的相平衡数据,研究手性选择剂间协同作用关系,探讨较可靠的热力学计算模型,并建立手性离子液体相关数据库。
(3) 加强手性离子液体拆分过程的工程放大研究,着重于萃取拆分。由于离子液体通常黏度较大,不利于工程化,因此需要加强手性离子液体与其它溶剂或拆分单体的协同作用研究,尤其是少量手性离子液体参与的拆分过程。
(4) 进行手性离子液体的固定化研究。将手性离子液体通过物理吸附或化学键合固定在固相基质上,制备得到固定化离子液体,并利用固相萃取、膜分离等进行对映体拆分,以实现离子液体的合理回收,循环使用,降低拆分过程成本。
相信随着研究的不断系统和深入,困难会逐渐被克服,更多的手性离子液体将被开发,在对映体拆分领域得到更加广泛的应用。
| [1] | ZHANG Suo-jiang(张锁江), LV Xing-mei(吕兴梅) . Ionic liquid-from basic research to industrial application(离子液体-从基础研究到工业应用)[M]. Beijing(北京): Science Press(科学出版社), 2006: 196-429. |
| [2] | Ni B, Zhang Q, Headley A D . Pyrrolidine-based chiral pyridinium ionic liquids (ILs) as recyclable and highly efficient organocatalysts for the asymmetric Michael addition reactions[J]. Tetrahedron Letters , 2008, 49 (7) : 1249-1252. DOI:10.1016/j.tetlet.2007.12.024. |
| [3] | Nobuoka K, Kitaoka S, Kunimitsu K , et al. Camphor ionic liquid:correlation between stereoselectivity and cation-anion interaction[J]. The Journal of Organic Chemistry , 2005, 70 (24) : 10106-10108. DOI:10.1021/jo051669x. |
| [4] | Sergio L, Rooy M, David K B , et al. Ephedrinium-based protic chiral ionic liquids for enantiomeric recognition[J]. Chirality , 2011, 23 (1) : 54-62. DOI:10.1002/chir.v23.1. |
| [5] | Bwambok D K, Challa S K, Lowry M , et al. Amino acid-based fluorescent chiral ionic liquid for enantiomeric recognition[J]. Analytical Chemistry , 2010, 82 (12) : 5028-5037. DOI:10.1021/ac9027774. |
| [6] | Tosoni M, Laschat S, Baro A . Synthesis of novel chiral ionic liquids and their phase behavior in mixtures with smectic and nematic liquid crystals[J]. Helvetica Chimica Acta , 2004, 87 (11) : 2742-2749. DOI:10.1002/(ISSN)1522-2675. |
| [7] | Bai X, Li X, Zheng L . Chiral ionic liquid monolayer-stabilized gold nanoparticles:synthesis, self-assembly, and application to SERS[J]. Langmuir , 2010, 26 (14) : 12209-12214. DOI:10.1021/la101602a. |
| [8] | Shetty P H, Youngberg P J, Kersten B R , et al. Solvent properties of liquid organic salts used as mobile phases in microcolumn reversed-phase liquid chromatography[J]. Journal of Chromatography A , 1987, 411 (1) : 61-79. |
| [9] | Dalgliesh C E . The optical resolution of aromatic amino-acids on paper chromatograms[J]. Journal of the Chemical Society , 1952, 137 : 3940-3942. |
| [10] | Scriba G K E . Chiral recognition mechanisms in analytical separation sciences[J]. Chromatographia , 2012, 75 (15-16) : 815-838. DOI:10.1007/s10337-012-2261-1. |
| [11] | Liu Q, Wu K, Tang F , et al. Amino acid ionic liquids as chiral ligands in ligand-exchange chiral separations[J]. Chemistry-A European Journal , 2009, 15 (38) : 9889-9896. DOI:10.1002/chem.v15:38. |
| [12] | Bi W, Tian M, Row K H . Chiral separation and determination of ofloxacin enantiomers by ionic liquid-assisted ligand-exchange chromatography[J]. Analyst , 2011, 136 (2) : 379-387. DOI:10.1039/C0AN00657B. |
| [13] | Qing H, Jiang X, Yu J . Separation of tryptophan enantiomers by ligand-exchange chromatography with novel chiral ionic liquids ligand[J]. Chirality , 2014, 26 (3) : 160-165. DOI:10.1002/chir.v26.3. |
| [14] | Zhou J, Zhao S, Fu G , et al. Isoleucine ionic liquids as additives to separate mandelic acid and their derivative enantiomers by HPLC[J]. Analytical Methods , 2014, 6 (15) : 5627-5631. DOI:10.1039/C3AY41669K. |
| [15] | YANG Yan-xia(杨艳霞), YUE Yan(岳艳), JIANG Xin-yu(蒋新宇) . Chiral separation of mandelic acid enantiomers by ligand exchangechromatography based on chiral ionic liquids(手性离子液体配体交换色谱拆分扁桃酸对映体的研究)[J]. Chemistry Online(化学通报) , 2012, 75 (10) : 914-919. |
| [16] | Yang Y, Li J, Jiang X . Chiral ionic liquids as chiral selectors for separation of tryptophan enantiomers by ligand exchange chromatography[J]. Journal of Central South University , 2013, 20 (5) : 1173-1177. DOI:10.1007/s11771-013-1600-1. |
| [17] | LI Jing(李静), JIAO Fei-peng(焦飞鹏), JIANG Xin-yu(蒋新宇) , et al. Enantioseparation of 2-chloromandelic acid enantiomers by ligand exchange based on chiral ionic liquids(手性离子液体配体交换法拆分邻氯扁桃酸对映体)[J]. Journal of Central South University(中南大学学报(自然科学版)) , 2013, 44 (9) : 3595-3598. |
| [18] | Yuan L M, Han Y, Zhou Y , et al. (R)-N, N, N-trimethyl-2-aminobutanol-bis (trifluoromethane-sulfon) imidate chiral ionic liquid used as chiral selector in HPCE, HPLC, and CGC[J]. Analytical Letters , 2006, 39 (7) : 1439-1449. DOI:10.1080/00032710600669036. |
| [19] | Zhou Z, Li X, Chen X , et al. Synthesis of ionic liquids functionalized β-cyclodextrin-bonded chiral stationary phases and their applications in high-performance liquid chromatography[J]. Analytica Chimica Acta , 2010, 678 (2) : 208-214. DOI:10.1016/j.aca.2010.08.024. |
| [20] | Kodali P, Stalcup A M . Normal phasechiral separation of hexahelicene iosmers using a chiral surface confined ionic liquid stationary phase[J]. Journal of Liquid Chromatography & Related Technologies , 2014, 37 (6) : 893-906. |
| [21] | Kapnissi-Christodoulou C P, Stavrou I J, Mavroudi M C . Chiral ionic liquids in chromatographic and electrophoretic separations[J]. Journal of Chromatography A , 2014, 1363 : 2-10. DOI:10.1016/j.chroma.2014.05.059. |
| [22] | DU Fan(杜钒), DU Ying-xiang(杜迎翔), CHEN Jia-quan(陈家全) . Application of chiral ionic liquids to chiral separation by capillary electrophoresis(手性离子液体在毛细管电泳手性分离中的应用)[J]. Guangdong Chemical Industry(广东化工) , 2013, 40 (11) : 58-59. |
| [23] | TIAN Kan (田衎).Application of ionic liquid in capillary electrophoresis and chiral separationby capillary electrophoresis (基于离子液体的毛细管电泳新方法及毛细管电泳在手性拆分中的应用研究)[D].Lanzhou (兰州):Lanzhou University (兰州大学), 2007. |
| [24] | François Y, Varenne A, Juillerat E , et al. Evaluation of chiral ionic liquids as additives to cyclodextrins for enantiomeric separations by capillary electrophoresis[J]. Journal of Chromatography A , 2007, 1155 (2) : 134-141. DOI:10.1016/j.chroma.2006.12.076. |
| [25] | Wang B, He J, Bianchi V , et al. Combined use of chiral ionic liquid and cyclodextrin for MEKC:Part I.Simultaneous enantioseparation of anionic profens[J]. Electrophoresis , 2009, 30 (16) : 3812-2819. |
| [26] | Wang B, He J, Bianchi V , et al. Combined use of chiral ionic liquid and CD for MEKC:Part Ⅱ.Determination of binding constants[J]. Electrophoresis , 2009, 30 (16) : 2820-2828. DOI:10.1002/elps.v30:16. |
| [27] | Liu Y, Shamsi S A . Combined use of chiral ionic liquid surfactants and neutral cyclodextrins:evaluation of ionic liquid head groups for enantioseparation of neutral compounds in capillary electrophoresis[J]. Journal of Chromatography A , 2014, 1360 : 296-304. DOI:10.1016/j.chroma.2014.07.047. |
| [28] | Wu Y J, Wu G Y, Zhang W Y , et al. Chiral separation of phenylalanine and tryptophan by capillary electrophoresis using a mixture of β-CD and chiral ionic liquid ([J]. Biomedical Chromatography , 2014, 28 (5) : 610-614. DOI:10.1002/bmc.v28.5. |
| [29] | Mavroudi M C, Kapnissi-Christodoulou C P . Combined use of l-alanine tertbutyl ester lactate and trimethyl-β-cyclodextrin for the enantiomeric separations of 2-arylpropionic acids nonsteroidal anti-inflammatory drugs[J]. Electrophoresis , 2015, 36 (19) : 2442-2450. DOI:10.1002/elps.201500143. |
| [30] | Zuo L, Meng H, Wu J , et al. Combined use of ionic liquid and β-CD for enantioseparation of 12 pharmaceuticals using CE[J]. Journal of Separation Science , 2013, 36 (3) : 517-523. DOI:10.1002/jssc.v36.3. |
| [31] | Zhang Q, Du Y . Evaluation of the enantioselectivity of glycogen-based synergistic system with amino acid chiral ionic liquids as additives in capillary electrophoresis[J]. Journal of Chromatography A , 2013, 1306 (16) : 97-103. |
| [32] | Zhang J, Du Y, Zhang Q , et al. Investigation of the synergistic effect with amino acid-derived chiral ionic liquids as additives for enantiomeric separation in capillary electrophoresis[J]. Journal of Chromatography A , 2013, 1316 : 119-126. DOI:10.1016/j.chroma.2013.09.064. |
| [33] | Stavrou I J, Kapnissi-Christodoulou C P . Use of chiral amino acid ester-based ionic liquids as chiral selectors in CE[J]. Electrophoresis , 2013, 34 (4) : 524-530. DOI:10.1002/elps.v34.4. |
| [34] | Ma Z, Zhang L, Lin L , et al. Enantioseparation of rabeprazole and omeprazole by nonaqueous capillary electrophoresis with an ephedrine-based ionic liquid as the chiral selector[J]. Biomedical Chromatography , 2010, 24 (12) : 1332-1337. DOI:10.1002/bmc.v24:12. |
| [35] | Mu X, Qi L, Zhang H , et al. Ionic liquids with amino acids as cations:novel chiral ligands in chiral ligand-exchange capillary electrophoresis[J]. Talanta , 2012, 97 (16) : 349-354. |
| [36] | Mu X, Qi L, Shen Y , et al. A novel chiral ligand exchange capillary electrophoresis system with amino acid ionic liquid as ligand and its application in screening D-amino-acid oxidase inhibitors[J]. Analyst , 2012, 137 (18) : 4235-4240. DOI:10.1039/c2an35753d. |
| [37] | Sun B, Mu X, Qi L . Development of new chiral ligand exchange capillary electrophoresis system with amino acid ionic liquids ligands and its application in studying the kinetics of l-amino acid oxidase[J]. Analytica Chimica Acta , 2014, 821 : 97-102. DOI:10.1016/j.aca.2014.03.009. |
| [38] | Liu R, Du Y, Chen J , et al. Investigation of the enantioselectivity of tetramethylammonium L-hydroxyproline ionic liquid as a novel chiral ligand in ligand-exchange CE and ligand-exchange MEKC[J]. Chirality , 2015, 27 (1) : 58-63. DOI:10.1002/chir.22388. |
| [39] | HUANG Lu(黄露), YU Li-shuang(余丽双), CHEN Yi-ting(陈毅挺) . Application of 1-ethyl-3-methyl imidazole L-lactate as the chiral ligand for the enantioseparation of amino acids(1-乙基-3-甲基咪唑L-乳酸盐作为手性配体用于氨基酸的手性拆分)[J]. Chinese Journal of Chromatography(色谱) , 2014, 32 (11) : 1225-1229. DOI:10.3724/SP.J.1123.2014.06040. |
| [40] | Ding J, Welton T, Armstrong D W . Chiral ionic liquids as stationary phases in gas chromatography[J]. Analytical Chemistry , 2004, 76 (22) : 6819-6822. DOI:10.1021/ac049144c. |
| [41] | Zhao L, Ai P, Duan A H , et al. Single-walled carbon nanotubes for improved enantioseparations on a chiral ionic liquid stationary phase in GC[J]. Analytical and Bioanalytical Chemistry , 2011, 399 (1) : 143-147. DOI:10.1007/s00216-010-4079-8. |
| [42] | Sun X, Xu J, Zhao X , et al. Study of chiral ionic liquid as stationary phases for GC[J]. Chromatographia , 2013, 76 (15-16) : 1013-1019. DOI:10.1007/s10337-013-2505-8. |
| [43] | SUN Xiao-jie (孙晓杰).Preparation and performance of ionic liquid polysiloxanes as stationary phases of gas chromatography (离子液体聚硅氧烷固定相的合成及气相色谱性能研究)[D].Wuhan (武汉):Wuhan University (武汉大学), 2011. |
| [44] | LI Fu-rong(李芙蓉), SONG Qing(宋卿), ZHAO Li(赵丽) , et al. Chromatographic characteristics of L-AlaC4NTf2 chiral ionic liquids as stationary phase in capillary GC(L-AlaC4NTf2手性离子液体作为新型气相色谱固定相的性能研究)[J]. Chemical Journalof Chinese Universities(高等学校化学学报) , 2009, 30 (2) : 258-262. |
| [45] | REN Zhao-xing(任朝兴), AI Ping(艾萍), LI li(李莉) , et al. Mixed chiral stationary phase containing chiral ionic liquid andcellulose tri (3, 5-dimethylphenyl carbamate) in gas chromatography(分析化学, 2006, 37(11):1637-1640)[J]. Chinese Journal of Analytical Chemistry(手性离子液体和纤维素三(3, 5-二甲基苯基氨基甲酸酯)混合气相色谱手性固定相研究)) , 2006, 37 (11) : 1637-1640. |
| [46] | Tang F, Zhang Q, Ren D , et al. Functional amino acid ionic liquids as solvent and selector in chiral extraction[J]. Journal of Chromatography A , 2010, 1217 (28) : 4669-4674. DOI:10.1016/j.chroma.2010.05.013. |
| [47] | CHEN Dong-xuan (陈冬璇).Caprolactam extraction and ofloxacin enantiomers enantioseparation using ionic liquid (离子液体用于己内酰胺萃取和氧氟沙星拆分的研究)[D].Hangzhou (杭州):Zhejiang University (浙江大学), 2014. |
| [48] | Wu H, Yao S, Qian G , et al. A resolution approach of racemic phenylalanine with aqueous two-phase systems of chiral tropine ionic liquids[J]. Journal of Chromatography A , 2015, 1418 : 150-157. DOI:10.1016/j.chroma.2015.09.058. |
| [49] | Wu D, Zhou Y, Cai P , et al. Specific cooperative effect for the enantiomeric separation of amino acids using aqueous two-phase systems with task-specific ionic liquids[J]. Journal of Chromatography A , 2015, 1395 : 65-72. DOI:10.1016/j.chroma.2015.03.047. |
| [50] | Meng H, Li S, Xiao L , et al. Functionalized assembly of solid membranes for chiral separation using polyelectrolytes and chiral ionic liquid[J]. AIChE Journal , 2013, 59 (12) : 4772-4779. DOI:10.1002/aic.14227. |
| [51] | Liu Y, Tian A, Wang X , et al. Fabrication of chiral amino acid ionic liquid modified magnetic multifunctional nanospheres for centrifugal chiral chromatography separation of racemates[J]. Journal of Chromatography A , 2015, 1400 : 40-46. DOI:10.1016/j.chroma.2015.04.045. |
















