扩展功能
文章信息
- 姚玮, 温树杰, 孙汉正
- YAO Wei, WEN Shu-jie, SUN Han-zheng
- 浸水路基边坡最小势能稳定性分析方法
- An Analytical Method of Minimum Potential Energy Stability of Submerged Subgrade Slope
- 公路交通科技, 2017, 34(8): 50-56
- Journal of Highway and Transportation Research and Denelopment, 2017, 34(8): 50-56
- 10.3969/j.issn.1002-0268.2017.08.008
-
文章历史
- 收稿日期: 2016-10-12
2. 江西省环境岩土与工程灾害控制重点 实验室, 江西 赣州 341000
2. Jiangxi Provincial Key Laboratory of Environmental Geotechnical Engineering and Disaster Control, Ganzhou Jiangxi 341000, China
我国的公路网规模居世界前列,路基作为公路的基础,其稳定性具有重要意义。由于地形以及公路路线设计等原因,公路会出现沿溪(河)线或局部排水不畅,因降雨、径流等因素导致河流水位变化,引发了诸多浸水路基边坡的失稳、坍塌破坏等问题[1-2],产生了极大的损失,因此浸水路基边坡稳定性一直是工程界的重要研究课题。
国内外学者关于浸水路基边坡稳定性分析方法的研究做了一些工作,如Viratjandr and Michalowski[3]利用极限分析上限法分析了浸水路基边坡的安全系数;文献[4]建立了考虑动水压力下的简化Bishop法,该法考虑了条间力,以及明确安全系数定义方式的物理意义等诸多优点,但对条间力有时会作出一些与实际受力状态不相符的假设,并且由于需要迭代,使得计算过程相对复杂。随着计算机技术的发展,有限元计算方法被大量应用在边坡稳定性分析中,如Griffiths and Lane[5-9]利用有限元分析了水位对边坡安全系数的影响。有限元法虽然可以模拟实际工况,但由于建模的复杂性,以及模型的建立受人为因素影响较大,加上评判标准不统一,使其在实际工程中应用受限。综上所述,浸水路基边坡稳定性分析方法还不完善,需进一步研究。
最小势能法是由Mauldon和Ureta等[10]依据最小势能原理提出的一种新的边坡稳定性分析方法,该法可用来求解棱柱形滑裂面的安全系数,无需划分条块, 计算简捷。在此基础上一些学者[11-14]发展完善了最小势能法,但是目前还没有考虑水及动水压力对边坡稳定性的影响。因此,将基于最小势能法,考虑滑面上储存的剪切势能以及动水压力对路基的作用,构建浸水路基边坡的势能计算模型,提出一种考虑动水压力的浸水路基边坡最小势能稳定性分析方法,并且开发了相应的计算程序。通过算例验算并与极限平衡法验证,得到水位高度下降过程中浸水路基边坡稳定性的变化规律以及土体力学参数对浸水路基边坡稳定性的影响规律。
1 浸水路基稳定性分析方法的构建 1.1 计算模型如图 1所示为一浸水路基,AB为潜在的滑面,其方程为y=f(x),建立计算模型时需引入如下说明:(1) 滑体作为一个刚性体,使滑裂面任意微分长度dl上发生弹性变形,其变形可用刚度为k的弹簧来模拟,k与dl成正比,即k=mdl(m代表土层的地基系数);(2) 设浸润线以下的浸水段部分土体为饱和土,浸润线以上的浸水段部分土体为非饱和。为方便计算将浸润线以下的土重度设为γ1,内聚力为c1,内摩擦角为φ1,地基系数为m1;浸润线以上的重度为γ2,内聚力为c2,内摩擦角为φ2,地基系数为m2。(3) 滑体整体将在合外力向量R=(Rx, Ry)的作用下(包括作用在路基上的车辆荷载q),发生一虚位移向量d=(dx, dy),此虚位移将使整个系统势能最小。
|
| 图 1 浸水路基计算模型 Fig. 1 Calculation model of submerged subgrade |
| |
1.2 浸水路基总势能函数的建立
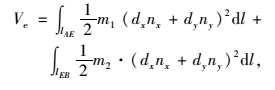
根据前面建立的势能计算模型,滑体所存储的势能为弹性势能与剪切势能, 则某一微段上弹性势能为dVe:
|
(1) |
式中,dl为滑面微分段;n为滑面外法线方向上的单位向量。
将浸润线以上及以下所存储的弹性势能相加,可得浸水路基边坡系统所存储的总弹性势能:
|
(2) |
式中,lEB为水位线以上的滑裂面;lAE为水位线以下的滑裂面。
滑裂面上的法向应力:
|
(3) |
式中dN为微面上的法向力。
在浸润线下滑面的法向应力:
|
(4) |
在浸润线上滑面的法向应力:
|
(5) |
如图 2所示为滑面剪切势能的计算模型,这一滑面单元在剪切力作用下发生剪切变形,微段上剪切力的方向与滑动方向在同一面上,因此在剪切力作用下滑面微单元沿滑动方向发生一个剪应变h,且剪应变h的大小近似等于∠AOA′。
|
| 图 2 滑床微段剪切变形示意图 Fig. 2 Schematic diagram of shear deformation of slip bed |
| |
根据图 2的几何关系可知:
|
(6) |
式中,d′为微段受到扰动发生的剪切位移;h为剪切变形的扰动高度;t为剪切力的单位方向向量。
则整个滑体任意微段所储存的剪切势能:
|
(7) |
式中,τ为滑面剪应力;ds为微单元的面积。
由Mohr-Coulomb强度准则可知,浸润线以下滑体的极限抗剪强度:
|
(8) |
同理,浸润线以上滑体的极限抗剪强度:
|
(9) |
则整个滑裂面所储存的剪切势能:
|
(10) |
式中,Vτ1为浸润线以下的滑面所储存的剪切势能;Vτ2为浸润线以上滑面所储存的剪切势能。
路基浸水以后,水的浸泡作用会降低土体的黏聚力和内摩擦角,在水位下降过程中,动水压力的作用会使路基边坡失稳滑坡,故动水压力是分析渗流作用下边坡稳定性的关键因素,所以准确计算动水压力对分析渗流作用下的边坡稳定性有着重要意义。文献[15]先计算了土条边界上的静水压力,之后根据土条周边水压力与动水压力的关系推导出了动水压力的表达式。该方法推导的公式适用性强,表达简洁,故文中采用此公式来计算动水压力,即:
|
(11) |
式中,D为作用于侵润线以下土体重心的渗透动水压力;I为渗流水力坡降(即浸润曲线的平均坡降);ΩB为滑动弧与浸润曲线间的面积;γ0为水的重度。
动水压力在X轴方向上的:
|
(12) |
动水压力在Y轴方向上的:
|
(13) |
式中θ为坡角。
根据最小势能原理,滑体的总势能V为滑裂面的弹性势能Ve与剪切势能Vτ之和减去合外力做的功,浸水路基总的势能函数V:
|
(14) |
式中G为土体的重力与上部车辆荷载之和。
1.3 虚位移的求解根据最小势能原理,路基总势能最小时,应满足以下条件:
|
(15) |
将式(14) 代入式(15),可得虚位移d的各个分量dx,dy。
1.4 浸水路基安全系数的求解定义沿路基潜在滑动方向(虚位移方向)上抗滑力的代数和与下滑力的代数和之比为安全系数,即:
|
(16) |
式中,Fm为滑体所受到的抗滑力;Fn为滑体所受到的下滑力。
对浸水路基进行受力分析可知,每一微段上的极限状态剪力、法向力均提供了沿虚位移d方向的抗滑力。根据Mohr-Coulomb强度准则,对微段上的抗滑力进行求解。
路基边坡任意微段上的剪切力沿虚位移方向上所提供的抗滑力:
|
(17) |
式中,α为抗滑力与滑动方向的夹角,且cos α=t·(-dd), dd为虚位移的单位向量。
则作用在路基浸润线以上和以下的滑面剪切力沿虚位移方向上所提供的抗滑力分别为TBE′,TAE′,其代数和:
|
(18) |
路基边坡微段上的法向力沿虚位移方向上所提供的抗滑力:
|
(19) |
式中,β为法向力与d反方向的夹角,且cos β=dd·n。
则路基浸润线以上和以下的滑面法向力沿虚位移方向上提供的抗滑力分别为TEB,TAE,其代数和:
|
(20) |
故系统总抗滑力Fm:
|
(21) |
由合外力W提供的下滑力Fn:
|
(22) |
式中,ε为外力与d的夹角,且cos ε=dd·w,w为合外力W的单位向量。
此时合外力W包括滑体本身的重力,车辆荷载及动水压力,其中G:
|
(23) |
式中,S1为浸水部分的面积;S2为未浸水部分的面积;L为车辆荷载分布宽度。
当水位下降时,合外力W应为土体重力与动水压力和上部车辆荷载的和,即:
|
(24) |
将式(21) 与式(22) 代入式(16) 即可得到此浸水路基边坡的安全系数值。
2 计算程序从浸水路基边坡的稳定性分析方法的推导过程可以看出,在求解安全系数时需进行大量的运算,为了方便工程应用,开发了浸水路基的稳定性分析程序,并将其嵌入界面模块,如图 3所示。用户在使用时只需在图 3所示的界面中输入相应的参数,点击“计算”,便会输出对应的安全系数,计算过程均在后台完成,具体计算流程见图 4。
|
| 图 3 计算界面 Fig. 3 Calculation interface |
| |
|
| 图 4 计算流程图 Fig. 4 Flowchart of calculation |
| |
3 算例分析
由图 5可知,某段浸水路基高10 m,其中A点坐标(30, 25),C点坐标(50, 35),O点坐标(30.034, 52.697),滑弧半径r=27.689。路基上车辆荷载集度为q=22 kN/m2,路基填土为均质黏性土,土体物理力学参数为:重度16 kN/m3,黏聚力21 kPa,内摩擦角23°,地基系数20 000 kN/m3;土体浸水以后的物理力学参数为:重度22 kN/m3,黏聚力10.5 kPa,内摩擦角20.7°,地基系数10 000 kN/m3,不同水位高度时对应的水力梯度见表 1。
|
| 图 5 浸水路基示意图 Fig. 5 Schematic diagram of submerged subgrade |
| |
| 水位高度/m | 9 | 8 | 7 | 6 | 5 | 4 | 3 | 2 |
| 水力梯度 | 0.07 | 0.05 | 0.06 | 0.07 | 0.08 | 0.10 | 0.12 | 0.15 |
3.1 水位下降时浸水路基稳定性分析
为了对比分析,利用文中提出的最小势能法与工程上常用的Bishop法、Janbu法分别计算了该路基在未浸水时的安全系数,如表 2所示;并用以上3种方法分别得出了临坡水位下降过程中路基边坡安全系数的影响图,结果如图 6所示。
| 方法 | 最小势能法 | Bishop法 | Janbu法 |
| 安全系数 | 1.748 | 1.737 | 1.697 |
|
| 图 6 临坡水位下降时安全系数变化曲线 Fig. 6 Curves of safety factor when water level descends |
| |
通过表 2与图 6的计算结果对比可知:(1) 路基在浸水以后,安全系数明显减小,说明其稳定性降低,所以对浸水路基稳定性的分析是非常必要的;(2) 最小势能法求得的安全系数与其他两种常用方法相近,误差在5%以内,且变化规律相同,说明文中提出的方法是合理的。但最小势能法与极限平衡法中的Bishop法、Janbu法所计算的安全系数仍有些差别。通过分析,产生这些差别的主要原因可能来自以下几方面:① 两种方法计算模型不同,极限平衡法划分了条块,最小势能法不划分条块,将整个滑体作为刚体计算,且滑体与滑床间的弹性接触用弹簧模拟;② 极限平衡法对条间力做了假定,这也使得条块间动水压力的计算存在一定的简化,而最小势能法直接分析整个滑体的动水压力。
从图 6可以看出:随着临坡流水水位下降,路基边坡的安全系数先下降,当水位下降到1/2坡高处时达到最小值,之后又有一定的增加,这与文献[16-17]的研究结果是一致的。根据工程实践总结,浸水路基的破坏多发生在临坡水位下降的过程中,对于具体的工程可应用文中开发的程序,计算水位下降过程中的浸水路基边坡安全系数,关注其稳定性变化,当水位达到坡高1/2附近时提前预警,并做好工程防范措施。
3.2 土体参数对路基边坡稳定性的影响分析为了分析土体的物理力学参数对浸水路基边坡稳定性的影响,并进一步与极限平衡法分析对比以验证该方法的合理性,在水位为9 m时,其他参数不变,分别计算了不同黏聚力、内摩擦角时浸水路基边坡的安全系数,详见图 7。当土体浸水以后,黏聚力、内摩擦角会减小,由于缺乏实测数据,计算图 7中的安全系数时参考文献[18]近似按如下方式处理:黏聚力降低50%;内摩擦角降低10%。
|
| 图 7 安全系数的影响曲线 Fig. 7 Curves of influence on safety factor |
| |
从图 7可以看出:随着黏聚力、内摩擦角增加,浸水路基边坡的安全系数在逐渐增大,说明路基的稳定性在提高,与工程实际相吻合;文中方法所得结果与其他两种极限平衡法相近,相差在5%以内,且变化规律一致,进一步验证了文中方法的合理性。
4 结论(1) 本研究在最小势能法的基础上,考虑动水压力对浸水路基边坡的作用及滑面储存的剪切势能,提出了浸水路基边坡最小势能稳定性分析方法。该方法得到的安全系数与极限平衡法相差在5%以内,且其计算时无需划分条块及迭代,相比极限平衡方法具有一定的优势与实用价值。
(2) 当路基浸水之后,其稳定性明显下降,且在临坡水位下降过程中,安全系数先减小后增大,存在一个拐点,这个拐点对应的水位是最危险水位,在坡高1/2附近。因此当临坡水位达到坡高1/2附近时提前预警,并做好工程防范措施。
(3) 当土体的黏聚力、内摩擦角变化时,文中方法得到的路基边坡稳定性变化趋势与极限平衡法一致,与工程实际相吻合。
(4) 开发的浸水路基稳定性分析程序,便捷且实用,方便工程技术人员在实际工程中参考使用。
| [1] | 赵炼恒, 罗强, 李亮, 等. 水位升降和流水淘蚀对临河路基边坡稳定性的影响[J]. 公路交通科技, 2010, 27(6): 1-8 ZHAO Lian-heng, LUO Qiang, LI Liang, et al. Study on Stability of Subgrade Slope along River Subjected to Water Level Fluctuation and Stream Erosion[J]. Journal of Highway and Transportation Research and Development, 2010, 27(6): 1-8 |
| [2] | 宋高嵩, 陈阳东, 温福春, 等. 季冻区路基边坡的水稳定性影响分析与防治[J]. 公路交通科技, 2005, 22(6): 65-67 SONG Gao-song, CHEN Yang-dong, WEN Fu-chun, et al. Analysis and Prevention of Water Stability Effect in Seasonal Frost Area[J]. Journal of Highway and Transportation Research and Development, 2005, 22(6): 65-67 |
| [3] | VIRATJANDR C, MICHALOWSKI R L. Limit Analysis of Submerged Slopes Subjected to Water Drawdown[J]. Canadian Geotechnical Journal, 2006, 43(8): 802-814 |
| [4] | 柯云斌. 库区浸水路堤稳定性计算方法分析[J]. 路基工程, 2010(6): 25-28 KE Yun-bin. Analysis on Calculation Method of Immerseable Embankment Stability in Reservoir Area[J]. Subgrade Engineering, 2010(6): 25-28 |
| [5] | GRIFFITHS D V, LANE P A. Slope Stability Analysis by Finite Elements[J]. Geotechnique, 1999, 49(3): 387-403 |
| [6] | BERILGEN M M. Investigation of Stability of Slopes under Drawdown Conditions[J]. Computers & Geotechnics, 2007, 34(2): 81-91 |
| [7] | ÖZER A T, BROMWELL L G. Stability Assessment of an Earth Dam on Silt/Clay Tailings Foundation:A Case Study[J]. Engineering Geology, 2012, 151(4): 89-99 |
| [8] | CHEN X, HUANG J. Stability Analysis of Bank Slope Under Conditions of Reservoir Impounding and Rapid Drawdown[J]. Journal of Rock Mechanics and Geotechnical Engineering, 2011, 3(S1): 429-437 |
| [9] | 年廷凯, 万少石, 蒋景彩, 等. 库水位下降过程中土坡稳定强度折减有限元分析[J]. 岩土力学, 2010, 31(7): 2264-2269 NIAN Ting-kai, WAN Shao-shi, JIANG Jing-cai, et al. Finite Element Analysis of Slope Stability under Drawdown Conditions by Strength Reduction Technique[J]. Rock and Soil Mechanics, 2010, 31(7): 2264-2269 |
| [10] | MAUIDON M, URETA J. Stability Analysis of Rock Wedges with Multiple Sliding Surfaces[J]. Geotechnical & Geological Engineering, 1996, 14(1): 51-66 |
| [11] | 李小强. 最小势能原理在边坡稳定性分析中的应用研究[D]. 武汉: 中国科学院研究生院, 2004. LI Xiao-qiang. Research on Slope Stability Analysis Using Principle of Minimum Potential Energy[D]. Wuhan:Graduate University of Chinese Academy of Sciences, 2004. http://cdmd.cnki.com.cn/Article/CDMD-80005-2006194632.htm |
| [12] | 沈爱超, 李铀. 单一地层任意滑移面的最小势能边坡稳定性分析方法[J]. 岩土力学, 2009, 30(8): 2463-2466 SHEN Ai-chao, LI You. Minimal Potential Energy Method for Analyzing Slope Stability of Arbitrary Sliding Surface on a Single Stratum[J]. Rock and Soil Mechanics, 2009, 30(8): 2463-2466 |
| [13] | 李铀, 陆洋, 李铌, 等. 锚杆(索)加固边坡的最小势能稳定分析方法研究[J]. 岩土力学, 2008, 29(9): 2329-2334 LI You, LU Yang, LI Ni, et al. Research on Stability Analysis Method for Slope with Anchors or Prestressed-cables Based on Minimum Potential Energy Principle[J]. Rock and Soil Mechanics, 2008, 29(9): 2329-2334 |
| [14] | 温树杰, 罗惠, 李铀, 等. 基于最小势能原理的三维边坡稳定性分析[J]. 岩石力学与工程学报, 2015, 34(增1): 3298-3305 WEN Shu-jie, LUO Hui, LI You, et al. Three-dimensional Slope Stability Analysis Based on Minimum Potential Energy Principle[J]. Chinese Journal of Rock Mechanics and Engineering, 2015, 34(S1): 3298-3305 |
| [15] | 郑颖人, 时卫民, 孔位学. 库水位下降时渗透力及地下水浸润线的计算[J]. 岩石力学与工程学报, 2004, 23(18): 3203-3210 ZHENG Ying-ren, SHI Wei-min, KONG Wei-xue. Calculation of Seepage Forces and Phreatic Surface under Drawdown Conditions[J]. Chinese Journal of Rock Mechanics and Engineering, 2004, 23(18): 3203-3210 |
| [16] | 周群华, 闫澍旺, 邓卫东, 等. 水库水位变化对某岸区公路边坡稳定性影响分析[J]. 公路交通科技, 2011, 28(6): 32-39 ZHOU Qun-hua, YAN Shu-wang, DENG Wei-dong, et al. Analysis of Influence of Reservoir Water Level Fluctuation on Stability of a Bank Slope[J]. Journal of Highway and Transportation Research and Development, 2011, 28(6): 32-39 |
| [17] | 秦荣. 库水位升降作用下边坡稳定性及预警分析研究[D]. 成都: 西南石油大学, 2015. QIN Rong. Study on Slope Stability and Early-warning Analysis of Reservoir Water Level[D]. Chengdu:Southwest Petroleum University, 2015. http://cdmd.cnki.com.cn/Article/CDMD-10615-1015605801.htm |
| [18] | 梁学战. 三峡库区水位升降作用下岸坡破坏机制研究[D]. 重庆: 重庆交通大学, 2013. LIANG Xue-zhan. Research on Failure Mechanism of Bank Slope under Water Level Fluctuation in the Three Gorges Reservoir Area[D]. Chongqing:Chongqing Jiaotong University, 2013. http://cdmd.cnki.com.cn/Article/CDMD-10618-1013374665.htm |
2017, Vol. 34
