扩展功能
文章信息
- 颜可珍, 胡迎斌, 游凌云, 刘能源, 庾付磊
- YAN Ke-zhen, HU Ying-bin, YOU Ling-yun, LIU Neng-yuan, YU Fu-lei
- 横观各向同性沥青路面结构动力响应分析
- Analysis on Dynamical Response of Cross-anisotropic Asphalt Pavement Structure
- 公路交通科技, 2017, 34(5): 1-9
- Journal of Highway and Transportation Research and Denelopment, 2017, 34(5): 1-9
- 10.3969/j.issn.1002-0268.2017.05.001
-
文章历史
- 收稿日期: 2016-04-14
2. 郑州市政工程勘测设计研究院, 河南 郑州 450052
2. Zhengzhou Municipal Engineering Survey and Design Institute, Zhengzhou Henan 450052, China
近年来,车辆荷载作用下沥青路面结构力学响应问题受到国内外学者的广泛关注,得到较多研究成果[1-4]。但大部分研究认为路基路面材料是各向同性的。实际上路基路面材料由于其材料组成、成型等原因,导致路基路面材料具有明显的各向异性特征。横观各向同性作为一种特殊的各向异性表征,能较好的表示路基路面结构材料的各向异性导致的路面结构行为差异[5-7]。Gazetas根据黏土的超固结程度,考虑黏土在沉积、填筑压实过程中或复杂应力状态下导致土颗粒的排列呈各向异性,发现其水平模量与竖直模量比在0.9~4.0[8]。碎石材料和沥青混合料由于颗粒的分布、形状、方位和空隙结构及压实等原因,其内部结构也呈各向异性[9-11]。Tutumluer研究发现碎石类材料的水平模量和剪切模量普遍比竖直模量低,具有明显的各向异性特征,其水平模量与竖直模量比在3%~21%[12];Kim从微观力学的角度分析了碎石类材料的横观各向同性,其研究结果表明碎石类材料水平模量与竖直模量比在0.4~1.0[13]。Masad等人[9]最先研究发现了Superpave旋转压实仪成型的沥青混凝土的横观各向同性特性。Wang等人[5]通过三轴试验测得现场成型沥青混凝土的水平模量与竖直模量比在0.2~0.5。Motola和Uzan[14]通过测量沥青混凝土试件竖直和水平方向的动态模量,测得其水平模量与竖直模量比为0.4。以上研究成果表明,路基路面结构材料确实具有明显的横观各向同性特征。
路面结构受到的车辆荷载为典型的动态荷载,基于静荷载的路面设计理论与实际情况存在一定差异。董泽蛟等[3]采用有限元方法研究了移动荷载下横观各向同性路面动力学问题。M. U. Ahmed等[15]采用有限元分析FWD荷载和不同轮胎荷载下沥青混合料的横观各向同性特性对路面响应的影响,并与现场数据进行对比。FWD荷载被广泛应用于路面结构承载力评价[16-17],研究FWD荷载下沥青路面结构的动力学特征对路面结构承载力评价及服务寿命分析非常重要。因此,文中采用三维有限元方法模拟FWD荷载作用下横观各向同性沥青路面动力响应。
1 三维有限元动力方程由弹性动力学HAMILTON变分原理可以得到解决弹性系统动力学问题的有限元方程如下:
|
(1) |
式中,a″(t)、a′(t)分别为系统的节点加速度向量和节点速度向量;M,C,K和P(t)分别为系统的质量矩阵、阻尼矩阵、刚度矩阵和节点荷载向量。
在实际动力分析过程中要精确的确定阻尼矩阵是较困难的。通常将实际结构的阻尼矩阵简化为Rayleigh阻尼,即:
|
(2) |
式中,α、β为与结构固有频率和阻尼比有关的比例常数,实际应用中常采用简化的取值形式α=λ1ω1,β=λ1/ω1,ω1为计算体系的基本固有频率,λ1为该频率时的阻尼比。一般土木工程结构的结构阻尼比λ1取值范围为0.02~0.09,λ1取0.05。
2 有限元模型的建立 2.1 边界条件及网格划分采用ABAQUS进行有限元模拟计算。模型尺寸的选取将决定动荷载下路面结构分析的收敛性和计算结果的精度。根据相关研究发现[1],研究动力荷载时模型在深度上宜在10 m以上,同时水平方向宜取5 m以上。计算模型尺寸为10 m×10 m×11.5 m(x, y, z),底面为固定面,横向面无x向位移,纵向面无y向位移。假定层间完全连续,单元类型为C3D8R。模型边界条件和网格划分件如图 1所示。
|
| 图 1 横观各向同性路面三维有限元动力模型 Fig. 1 Three-dimensional finite element dynamic model of cross-anisotropy pavement |
| |
2.2 荷载模型
FWD荷载对路面的冲击作用以半正弦函数来描述,如图 2所示,荷载作用于路面的正中。其荷载函数表达式为q=0.721sin(πt/0.03) MPa,荷载圆半径为0.15 m。沿FWD荷载轴线依次布设路表弯沉测点D0~D6,其相对于荷载中心的相对位置依次为:0,0.2,0.3,0.61,0.9,1.22,1.83 m。
|
| 图 2 FWD荷载波形 Fig. 2 FWD load wave form |
| |
2.3 路面结构及材料参数
计算中采用典型的三层路面结构形式,从上往下依次为沥青面层、碎石基层、土基,并确定横观各向同性假设条件下的结构层材料参数[5-7, 9, 12-13, 18]:
(1) 假定沥青面层为横观各向同性,碎石基层和土基为各向同性。沥青面层竖向模量Ev=1 400 MPa,水平向与竖向泊松比相等(μv=μh=0.25),水平向模量与竖向模量比(以下称模量比)nM分别取0.2,0.5,0.7,1;
(2) 假定碎石基层为横观各向同性,沥青面层和土基为各向同性。碎石基层竖向模量Ev为500 MPa,水平向与竖向泊松比相等(μv=μh=0.25),模量比nJ分别取0.17,0.21,0.5和1;
(3) 假定土基为横观各向同性,沥青面层和碎石基层为各向同性。土基竖向模量Ev为50 MPa,水平向与竖向泊松比相等(μv=μh=0.35),模量比nT分别取0.9,1,2.5和4,如表 1所示。
| 结构层 | 材料特性 | 弹性模 量/MPa | 泊松比 | 阻尼比 | 密度/ (kg·m-3) | 厚度/ cm |
| 沥青面层 | 各向同性 | 1 400 | 0.25 | 0.05 | 2 400 | 18 |
| 横观各向同性 | — | — | ||||
| 基层 | 各向同性 | 500 | 0.25 | 2 100 | 35 | |
| 横观各向同性 | — | — | ||||
| 土基 | 各向同性 | 50 | 0.35 | 1 800 | — | |
| 横观各向同性 | — | — |
3 计算结果分析 3.1 面层横观各向同性路面结构动力响应分析 3.1.1 面层底应力及应变影响分析
图 3是考虑面层横观各向同性(即不同模量比)时面层底应力及应变时程曲线。从图 3可以看出,随着面层模量比增大,面层底拉应力增大(nM=0.2时,层底应力为压应力),但拉应变却减小,当面层为各向同性体(即nM=1) 时层底应力最大而应变最小,且随着荷载增大影响越明显。这说明面层横观各向同性对面层应力及应变影响较大。面层底拉应变大小是控制面层疲劳寿命的指标之一,从计算结果可以看出,考虑面层的横观各向同性时,相同荷载作用下,路面结构疲劳寿命越短,面层易出现疲劳开裂。因此,应在路面结构设计中考虑面层材料的横观各向同性特征,根据沥青混合料的实测模量比,在基于各向同性假定计算沥青层层底应力和应变时,乘以相应的调整系数(根据大量路面结构计算回归得到)。
|
| 图 3 面层底应力和应变时程曲线 Fig. 3 Time history curves of stress and strain at bottom of surface course |
| |
3.1.2 基层底应力及应变影响分析
图 4是考虑基层横观各向同性时基层底应力及应变时程曲线。可以看出,随着基层模量比增大,基层底拉应力及拉应变均减小,但应力及应变整体变化幅度不大。这说明面层横观各向同性对基层底应力及应变影响较小。
|
| 图 4 基层底应力和应变时程曲线 Fig. 4 Time history curves of stress and strain at bottom of base course |
| |
3.1.3 土基顶部应变影响分析
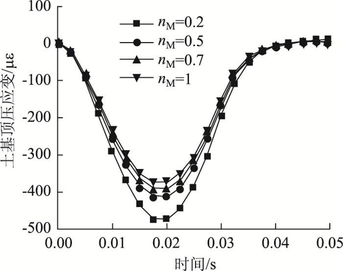
土基顶部压应变是路基永久变形和路面车辙的主要控制指标。图 5是考虑基层横观各向同性时土基顶部应变时程曲线。可以看出,随着面层模量比增大,土基顶部压应变减小,在面层为各向同性体(nM=1) 时土基顶部压应变最小,且随着荷载的增大其应变变化越明显。这说明面层横观各向同性对土基顶部压应变有一定影响。表明假设面层为各向同性时,预估车辙将比实际偏小,设计偏不安全。以车辙为设计控制指标时,应当在路面结构设计中考虑面层材料的横观各向同性特征。
|
| 图 5 土基顶部压应变时程曲线 Fig. 5 Time history curves of strain at top of soil subgrade |
| |
3.1.4 路表弯沉影响分析
路表弯沉是评价路面结构承载力的主要指标。图 6为面层不同模量比时测点D0~D6的路表弯沉时程曲线,可以看出,路表弯沉随时间先增大后减小,在荷载达最大时刻滞后一段时间达到峰值,各测点的弯沉峰值自荷载中心位置D0到测点D6逐渐减小,且测点距离荷载作用中心越远,滞后时间越长。可以解释为,当荷载作用过程中以能量形式在路面结构中传递消耗,离荷载作用中心越远能量损耗越严重,故弯沉越小滞后时间越长(如D0测点弯沉最大变化量39.6 μm,D6测点弯沉最大变化量仅3.3 μm)。随着面层模量比增加,各测点的弯沉峰值均稍微变小,当面层为各向同性体时,弯沉相对最小。对比各测点的弯沉盆图,可以看出面层横观各向同性对路面变形的影响较小。
|
| 图 6 路表弯沉时程曲线 Fig. 6 Time history curves of surface deflection |
| |
3.2 基层横观各向同性路面结构动力响应分析 3.2.1 面层底应力及应变影响分析
图 7是考虑基层横观各向同性时面层底应力及应变时程曲线。可以看出,随着基层模量比增大,面层底拉应力及拉应变减小,当基层为各向同性体(即nJ=1) 时层底应力及应变最小,且随着荷载的增大其应力及应变变化越明显。这说明基层横观各向同性对面层底应力及应变影响较大。表明考虑基层的横观各向同性时,相同荷载作用下,面层更易出现疲劳开裂。因此,应在路面结构设计中考虑基层材料的横观各向同性。
|
| 图 7 面层底应力和应变时程曲线 Fig. 7 Time history curves of stress and strain at bottom of surface course |
| |
3.2.2 基层底应力及应变影响分析
图 8是考虑基层横观各向同性时基层底应力及应变时程曲线。可以看出,随着模量比增大,基层底拉应力增大且拉应变减小,当基层为各向同性体时层底应力最大而应变最小,且随着荷载的增大其应力及应变变化越明显。这说明基层横观各向同性对基层底应力及应变影响较大。表明考虑基层横观各向同性时,相同荷载作用下,基层更易出现疲劳开裂。因此,应在路面结构设计中考虑基层材料的各向异性特征。
|
| 图 8 基层底应力和应变时程曲线 Fig. 8 Time history curves of stress and strain at bottom of base course |
| |
3.2.3 土基顶部应变影响分析
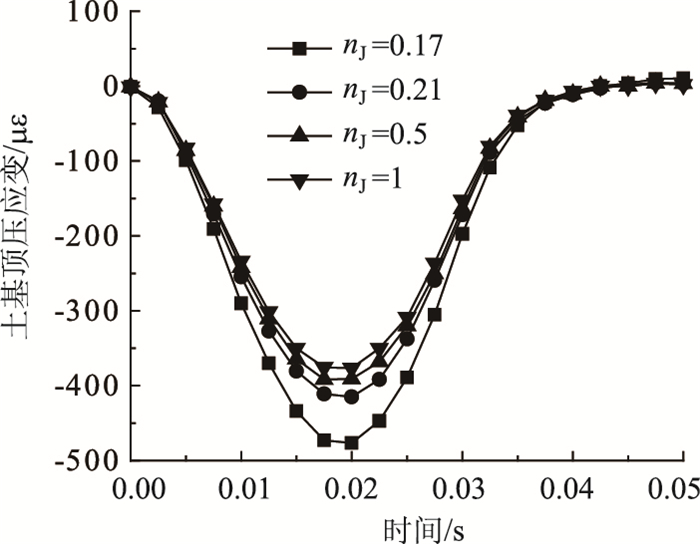
图 9是考虑基层横观各向同性时土基顶部应变时程曲线。可以看出,随着基层模量比增大,土基顶部压应变减小,在基层为各向同性体时土基顶部压应变最小(应变峰值处,nJ=0.17时土基顶部应变793.9 με,nJ=1时为389.0 με),且随着荷载的增大其应变变化越明显。说明基层横观各向同性对土基顶部压应变影响较大。考虑基层横观各向同性后,假设基层为各向同性将导致路面车辙比实际偏小,设计偏不安全。以车辙为设计控制指标时,应在路面结构设计中考虑基层材料的横观各向同性特征。
|
| 图 9 土基顶部压应变时程曲线 Fig. 9 Time history curves of strain at top of soil subgrade |
| |
3.2.4 路表弯沉影响分析
图 10为考虑基层横观各向同性时测点D0~D6的路表弯沉时程曲线。可以看出,基层模量比的变化对弯沉峰值有较大影响。基层水平向模量与竖向模量之比越大弯沉峰值就越小,基层为各向同性体时,路表弯沉达到最小。对比分析基层不同水平模量与竖直模量比时在测点D0~D6路表弯沉时程曲线,基层横观各向同性对路面变形的影响相对较大。采用弯沉作为控制指标进行路面结构设计和分析时,应在路面结构设计中考虑基层材料的横观各向同性特征。
|
| 图 10 路表弯沉时程曲线 Fig. 10 Time history curves of surface deflection |
| |
3.3 土基横观各向同性路面结构动力响应分析 3.3.1 面层底应力及应变影响分析
图 11是考虑土基横观各向同性时面层底应力及应变时程曲线。可以看出,随着土基模量比增大,面层底拉应力及拉应变变化不大,说明土基横观各向同性对面层底应力及应变影响可以忽略不计。
|
| 图 11 面层底应力和应变时程曲线 Fig. 11 Time history curves of stress and strain at bottom of surface course |
| |
3.3.2 基层底应力及应变影响分析
图 12是考虑土基横观各向同性时基层底应力及应变时程曲线。可以看出,随着土基模量比增大,基层底拉应力及拉应变减小,在土基为各向同性体(nJ=1) 时层底应力最大且应变最小。此时土基横观各向同性对基层底应力及应变影响要大于面层底,但总体上土基横观各向同性对基层底应力及应变影响较小。
|
| 图 12 基层底应力和应变时程曲线 Fig. 12 Time history curves of stress and strain at bottom of base course |
| |
3.3.3 土基顶部应变影响分析
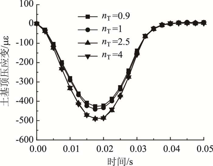
图 13是考虑土基横观各向同性时土基顶部应变时程曲线。可以看出,随着土基模量比增大,土基顶部压应变增大,在面层水平模量与竖直模量比nT=4时土基顶部压应变最大,且随着荷载的增大其压应变变化越明显。这说明土基横观各向同性对土基顶部应变影响较大。从计算结果可知,考虑土基横观各向同性后,假设土基为各向同性将使路面车辙比实际偏小,设计偏不安全。以车辙为设计控制指标时,应在路面结构设计中考虑土基材料的横观各向同性特征。
|
| 图 13 土基顶部压应变时程曲线 Fig. 13 Time history curves of strain at top of soil subgrade |
| |
3.3.4 路表弯沉影响分析
图 14为考虑土基横观各向同性时测点D0~D6的路表弯沉时程曲线,可以看出,土基模量比越大路表弯沉峰值就越小,但弯沉值变化的幅度不大,说明土基横观各向同性对路表弯沉峰值影响较小。
|
| 图 14 路表弯沉时程曲线 Fig. 14 Time history curves of surface deflection |
| |
3.4 材料各向异性对路面结构使用寿命的影响
根据美国沥青协会(AI)设计方法的破坏准则[19],沥青层底部的水平拉应变εl,控制疲劳开裂;而土基顶的压应变εc,控制永久变形,即车辙。根据有限元分析得到的路面结构应力及应变计算结果,路面结构的最大应变作为输入参数,取沥青层底部最大拉应变控制的沥青混合料的疲劳模型:
|
(3) |
|
(4) |
式中,Nc为控制疲劳开裂的荷载重复作用次数;fi(i=0,1,…,5) 为模型常量(根据AI设计方法取f0=18.4,f1=6.167×10-5,f2=3.291,f3=0.854,f4=4.84,f5=0.69);10m为调整值(不同的混合料体积百分数和疲劳试验标准引起疲劳行为的差异);E为沥青混合料弹性模量;Vb为沥青体积百分率;Vv为空隙率;本研究中沥青Vb=13%,Vv=5%。
路面结构的最大路基顶部压应变控制的永久变形模型:
|
(5) |
式中,Nr为控制车辙的荷载重复作用次数;εc为最大土基顶压应变。
对比分析考虑路面结构层横观各向同性特性时应力及应变变化规律,将沥青层层底最大拉应变和土基顶最大压应变分别带入上述疲劳和永久变形关系式中,对路面服务寿命分析,分析结果如表 2所示。
| 结构层 | 模量比 (n=Eh/Ev) | 控制疲劳开裂的荷载 重复作用次数Nc | 控制车辙的荷载重 复作用次数Nr |
| 沥青面层 | 0.2 | 3.97×106 | 1.01×106 |
| 0.5 | 1.11×107 | 1.89×106 | |
| 0.7 | 1.79×107 | 2.44×106 | |
| 1.0 | 3.09×107 | 2.92×106 | |
| 碎石基层 | 0.17 | 5.57×106 | 1.03×105 |
| 0.21 | 6.59×106 | 1.76×105 | |
| 0.5 | 1.50×107 | 8.63×105 | |
| 1.0 | 3.13×107 | 2.52×106 | |
| 土基 | 0.9 | 3.15×107 | 2.67×106 |
| 1.0 | 3.16×107 | 2.43×106 | |
| 2.5 | 3.44×107 | 9.94×105 | |
| 4.0 | 3.48×107 | 9.89×105 |
从表 2中可以看出,考虑面层和基层横观各向同性时,路面结构的服务寿命明显降低。模量比越小,路面服务寿命越短。当沥青面层模量比减小到0.2时,控制疲劳开裂和车辙的荷载重复作用次数Nc和Nr分别减小了87%和65%(相对于模量比为1)。当碎石基层模量比减小到0.17时,控制疲劳开裂和车辙的荷载重复作用次数Nc和Nr分别减小了82%和59%。考虑土基的横观各向同性对路面服务寿命影响不明显,控制疲劳开裂和控制永久变形的荷载重复作用次数变化规律不同,疲劳寿命随模量比增大而增大,但永久变形规律相反。
4 结论(1) 考虑面层的横观各向同性时,面层水平模量与竖直模量比值对基层底应力及应变和路表变形影响较小;对面层底应力及应变和土基顶部应变影响较大,且随荷载增大这种影响越明显。以车辙作为路面结构设计控制指标及控制面层疲劳开裂时,应在路面结构设计中考虑面层材料的横观各向同性特征。
(2) 考虑基层的横观各向同性时,基层水平模量与竖直模量比值对路面结构层应力及应变和路表变形影响均较大,随荷载的增大其应力及应变变化越明显。以车辙或弯沉作为路面结构设计控制指标及控制面层、基层疲劳开裂时,路面结构设计分析时考虑基层材料的横观各向同性很有必要。
(3) 土基的横观各向同性虽仅对土基顶部压应变影响较大,对面层和基层的应力及应变和路表变形影响较小,可忽略不计,但在以车辙作为路面结构控制指标时,应在路面结构设计中考虑路基土的横观各向同性特征。
(4) 考虑面层及基层的横观各向同性时,路面结构的服务寿命明显降低。随着其水平模量与竖直模量比值n的降低路面服务寿命缩短,在n=1(结构层材料为各向同性)时路面服务寿命最长。考虑路基土材料的横观各向同性对路面服务寿命的影响不明显。从路面结构的服务寿命分析发现,应将面层和基层材料的横观各向同性特性考虑到路面设计方法中。
| [1] | 侯芸, 郭忠印, 田波, 等. 动载作用下沥青路面结构的变形响应分析[J]. 中国公路学报, 2002, 15(3): 6-10 HOU Yun, GUO Zhong-ying, TIAN Bo, et al. Dynamic Deflection Response of Layered Pavement Structure Subjected to Dynamic Load[J]. China Journal of Highway and Transport, 2002, 15(3): 6-10 |
| [2] | 董忠红, 吕彭民. 交通荷载下沥青路面结构动力响应理论研究[J]. 郑州大学学报:工学版, 2007, 28(4): 88-91, 95 DONG Zhong-hong, LÜ Peng-min. Theoretical Research of the Dynamic Response of Asphalt Pavement Structure Under Traffic Loads[J]. Journal of Zhengzhou University: Engineering Science Edition, 2007, 28(4): 88-91, 95 |
| [3] | 董泽蛟, 刘美丽, 郑好, 等. 考虑横观各向同性特性的沥青路面动力学分析[J]. 中国公路学报, 2012, 25(5): 18-23 DONG Ze-jiao, LIU Mei-li, ZHENG Hao, et al. Dynamic Mechanical Analysis of Asphalt Pavement Based on Cross-isotropic Propertie[J]. China Journal of Highway and Transport, 2012, 25(5): 18-23 |
| [4] | DONG Z, LU P. A Model to Study the Dynamic Response of Visco-elastic Layered System under Moving Load[J]. Engineering Mechanics, 2011, 28(12): 153-159 |
| [5] | WANG L, HOYOS L R, WANG J, et al. Anisotropic Properties of Asphalt Concrete: Characterization and Implications for Pavement Design and Analysis[J]. Journal of Materials in Civil Engineering, 2005, 17(5): 535-543 |
| [6] | WANG H, AL-QADI I L. Importance of Nonlinear Anisotropic Modeling of Granular Base for Predicting Maximum Viscoelastic Pavement Responses under Moving Vehicular Loading[J]. Journal of Engineering Mechanics, 2013, 139(1): 29-38 |
| [7] | KIM S H, LITTLE D N, MASAD E, et al. Estimation of Level of Anisotropy in Unbound Granular Layers Considering Aggregate Physical Properties[J]. International Journal of Pavement Engineering, 2005, 6(4): 217-227 |
| [8] | GAZETAS G. Stress and Displacements in Cross-Anisotropic Soils[J]. Journal of the Geotechnical Engineering Division, 1982, 108(4): 532-553 |
| [9] | MASAD E, TASHMAN L, SOMEDAVAN N, et al. Micromechanics-based Analysis of Stiffness Anisotropy in Asphalt Mixtures[J]. Journal of Materials in Civil Engineering, 2002, 14(5): 374-383 |
| [10] | UNDERWOOD S, HEIDARI A, GUDDATI M, et al. Experimental Investigation of Anisotropy in Asphalt Concrete[J]. Transportation Research Record, 2005, 1929: 238-247 |
| [11] | SEYHAN U, TUTUMLUER E. Anisotropic Modular Ratios as Unbound Aggregate Performance Indicators[J]. Journal of Materials in Civil Engineering, 2002, 14(5): 409-416 |
| [12] | TUTUMLUER E.Anisotropic Behavior of Unbound Aggregate Bases: State of the Art [C]//Proceedings of the 6th Annual Symposium of the International Center for Aggregate Research (ICAR), St.Louis, U.S.:[s.n.], 1998:11-33. |
| [13] | KIM S H, LITTLE D, MASAD E. Simple Methods to Estimate Inherent and Stress-induced Anisotropy of Aggregate Base[J]. Transportation Research Record, 2005, 1913: 24-31 |
| [14] | MOTOLA Y, UZAN J. Anisotropy of Field-compacted Asphalt Concrete Material[J]. Journal of Testing & Evaluation, 2007, 35(1): 103-105 |
| [15] | AHMED M U, TAREFDER R A, ISLAM M R. Effect of Cross-anisotropy of Hot-mix Asphalt Modulus on Falling Weight Deflections and Embedded Sensor Stress-strain[J]. Transportation Research Record, 2013, 2369: 20-29 |
| [16] | 肖川, 邱延峻, 曾杰, 等. FWD荷载作用下的沥青路面实测动力响应研究[J]. 公路交通科技, 2014, 31(2): 1-8 XIAO Chuan, QIU Yan-jun, ZENG Jie, et al. Study on Measured Dynamic Response of Asphalt Pavement under FWD Load[J]. Journal of Highway and Transportation Research and Development, 2014, 31(2): 1-8 |
| [17] | 邱欣, 杨青, 游庆龙. 沥青路面阻尼特征参数及路表动态弯沉盆分布特征研究[J]. 公路交通科技, 2013, 30(7): 1-6, 17 QIU Xin, YANG Qing, YOU Qing-long. Study on Damping Characteristic Parameters and Distribution Characteristics of Surface Dynamic Deflection Basins of Asphalt Pavement[J]. Journal of Highway and Transportation Research and Development, 2013, 30(7): 1-6, 17 |
| [18] | BOULBIBANE M, COLLINS I F, WEICHERT D, et al. Shakedown Analysis of Anisotropic Asphalt Concrete Pavements with Clay Subgrade[J]. Canadian Geotechnical Journal, 2011, 37(4): 882-889 |
| [19] | The Asphalt Institute.Research and Development of the Asphalt Institute's Thickness Design M annual (MS 1), Research Report No.82-2 [R]. 9th ed. Maryland: College Park, 1982. |
2017, Vol. 34
