扩展功能
文章信息
- 杨平, 赵磊军, 刘星, 王超林
- YANG Ping, ZHAO Lei-jun, LIU Xing, WANG Chao-lin
- 土工袋装砂石桩复合路基的理论研究和数值模拟分析
- Theoretical Study and Numerical Simulation Analysis on Composite Subgrade with Geosynthetic Encased Stone Columns
- 公路交通科技, 2017, 34(4): 32-38
- Journal of Highway and Transportation Research and Denelopment, 2017, 34(4): 32-38
- 10.3969/j.issn.1002-0268.2017.04.005
-
文章历史
- 收稿日期: 2016-08-24
2. 深圳市勘察测绘院有限公司, 广东 深圳 510083;
3. 湖南科技大学 岩土工程稳定控制及健康监测湖南省重点实验室, 湖南 湘潭 411201
2. Shenzhen Geotechnical Investigation & Surveying Institute Co., Ltd., Shenzhen Guangdong 510083, China;
3. Hunan Provincial Key Laboratory of Geotechnical Engineering Stability Control and Health Monitoring, Hunan University of Science and Technology, Xiangtan Hunan 411201, China
砂石桩是软土路基加固的有效技术手段,但在特软土中 (土体不排水强度低于15 kPa),由于周围土体不足以提供桩体成型所需要的围压 (尤其是桩体上半部分),很难将其应用。因此人们建议采用土工织物将砂石桩包裹形成土工袋装砂石桩 (GESC),这不仅有效解决了软土中桩体成型的弱围裹力问题,还增强了桩基整体性。
对于土工袋装砂石桩的研究,国内外学者从理论分析、数值模拟、模型试验等方面进行了探讨[1-7]。周志刚等[4]结合固结理论、有限元方法以及极限平衡理论分析了袋装碎石桩的承载力特性,揭示了土工格栅对碎石桩中的加固机理并给出了合理的布桩方案。张仪萍和王洋[8]基于土工袋装砂石桩变形解析解及固结理论,推导了非瞬时加载下袋装砂石桩复合地基固结解析解。Chungsik[9]通过三维数值分析对土工袋装砂石桩进行了较全面的参数研究,并给出了最佳袋体包裹长度的建议。Khabbazian等[10]基于有限元方法对比分析了土工袋装砂石桩与普通砂石桩的承载变形特征,并探讨了岩土体材料参数对袋装砂石桩的承载性状影响。赵明华等[11]通过大比例模型试验,对比分析了土工袋装碎石桩和普通碎石桩的承载变形特性,深入研究了土工袋装碎石桩的加固机理及鼓胀变形模式。Ali等[12]通过模型试验系统研究了不同土工织物、不同加固类型及不同桩端环境下的单桩承载特性,并分析了不同环境下土工袋装砂石桩的破坏机制。
以上研究主要针对土工袋装砂石桩的单桩性状,且未考虑桩体的长期加载效应。但实际工程中,土工袋装砂石桩均以复合路基形式出现。开展路堤长期加载下土工袋装砂石桩复合路基的变形及承载性能研究具有重要的实际意义。本文基于单元体模型,推导了复合路基的弹性解析解。通过数值分析方法研究了路堤长期堆载下,袋体包裹长度 (Le)、土工袋刚度 (J) 以及置换率 (Ar) 对复合路基的性状影响。
1 复合路基数值模型采用有限元软件ABAQUS进行数值分析,复合路基数值模型中 (图 1),模型宽55 m,假设桩直径为0.8 m,方形布置,间距1.6 m。路堤高及桩长L均假定为10 m,砂垫层厚1 m,桩底部为坚硬岩层 (图 2)。模型侧面为法向约束,底部为全约束。采用不承受拉力的膜单元模拟土工材料,且土工材料与土体之间不设置接触单元[13]。桩体和软黏土材料均采用满足摩尔库伦屈服准则的理想弹塑性体,材料模型参数参考文献[14],取值如表 1所示。
|
| 图 1 三维有限元计算模型 Fig. 1 3D finite element model |
| |
|
| 图 2 复合路基断面 Fig. 2 Cross-section of composite subgrade |
| |
| 参数 | 重度γ/ (kN·m-3) |
泊松比 ν |
弹性模量 E/kPa |
黏聚力 c/kPa |
内摩擦角/ φ/(°) |
剪胀角/ ψ/(°) |
| 砂石桩 | 20 | 0.33 | 32 000 | 10 | 38 | 8 |
| 软黏土 | 15 | 0.3 | 2 000 | 5 | 25 | 0 |
| 砂垫层 | 20 | 0.33 | 15 000 | 8 | 30 | 8 |
建立初始应力条件及边界条件后挖孔安装土工袋装砂石桩,桩顶设置刚性板,待平衡后再进行逐级加载。上覆路堤填土分5级堆载,每级填土2 m,每级堆载时间为15 d,固结沉降10 d后进行下级堆载。
2 土工袋装砂石桩性能研究图 3为普通砂石桩 (OSC) 和土工袋装砂石桩 (GESC) 复合路基的桩顶平面处平均竖向应力对比图,由图可知,当填土高度一定时,传递到GESC桩的荷载明显大于传递到OSC桩的荷载,且二者的差异随着填土高度的增加而增大。如填土高度为2 m时,GESC的平均竖向应力为OSC的1.38倍,而当填土高度为10 m时,GESC的平均竖向应力变为OSC的1.66倍。传递到桩的应力越大,桩周土承受的应力便越小,从而产生的土体变形越小。由图 4可知,采用砂石桩加固软土路基后,桩顶土体沉降量显著减少,同时由于袋装砂石桩比普通砂石桩承载了更多的竖向应力,GESC桩的减沉效果更为明显。当路堤高度增加到10 m时,GESC桩加固后的土层沉降最大值为20.3 cm,相比OSC桩减少了51.1%的沉降量,相比未进行加固作用下减少了78.5%的沉降量。
|
| 图 3 不同路堤高度下普通砂石桩与袋装砂石桩平均竖向应力图 Fig. 3 Curves of average vertical stress at different heights of embankment in GESC and OSC |
| |
|
| 图 4 不同桩体加固作用下土层最大沉降值随路堤高度变化曲线 Fig. 4 Curves of maximum settlement of soft foundation soil vs. height of embankment in different pile reinforcements |
| |
为进一步说明袋装砂石桩在控制沉降变形上的意义,引入减沉率λ的概念,定义为同一荷载下软土地基有无桩体加固的沉降比值[15]。减沉率越小,桩体的减沉效果越好。图 5为OSC桩与GESC桩的减沉率-路堤高度曲线对比图。容易发现,整个路堤堆载过程,GESC桩的减沉率均比OSC桩的λ小。综合图 3~图 5可以看出,由于袋体提高了砂石桩的刚度,增强了承载性能,并将荷载传递到下覆坚硬土层,从而有效地控制了土体沉降变形。
|
| 图 5 OSC桩与GESC桩的减沉率-路堤高度曲线图 Fig. 5 Curves of settlement reduction ratio vs. height of embankment in GESC and OSC |
| |
3 参数分析 3.1 土工布刚度影响分析
图 6为200 d时袋体刚度与减沉率关系曲线。由图可知,减沉率随袋体刚度增加而减少,但当袋体刚度增加至1 000 kN/m以后变化很小。这说明提高袋体刚度在一定程度上能有效增强桩体的承载性能。
|
| 图 6 袋体刚度-减沉率曲线 Fig. 6 Curve of settlement reduction ratio and geosynthetic encasement stiffness |
| |
图 7为200 d时模型边界处的桩土应力比与袋体刚度关系曲线。容易发现,复合地基桩土应力比与袋体刚度整体呈正相关关系,但当袋体刚度增至一定程度后,桩土应力比变化趋势减缓。土工袋包裹使得砂石桩刚度明显增大,因此有更多的荷载传递到砂石桩上,如袋体刚度为1 000 kN/m的桩土应力比为普通砂石桩的5倍。
|
| 图 7 桩土应力比-袋体刚度曲线 Fig. 7 Curve of pile-soil stress ratio and geosynthetic encasement stiffness |
| |
图 8为不同袋体刚度下200 d时的桩身侧向变形曲线,由图可知,普通砂石桩在堆载结束后于3D~5D桩长处发生显著的鼓胀变形,而GESC桩即使袋体刚度较小,也充分发挥了侧向变形的限制作用,且袋体刚度越大,桩身侧向变形越小。
|
| 图 8 桩体侧向位移曲线 Fig. 8 Curves of lateral displacement of GESC |
| |
3.2 包裹长度影响分析
在荷载作用下,OSC桩上部极易出现鼓胀变形 (见图 8),从而发生鼓胀破坏。故研究者认为仅对桩体上部进行土工袋包裹即可达到围裹减沉的效果。Murugesan认为GESC单桩的最佳包裹长度为2D~4D[16];Chungsik[9]与Khabbazian[10]指出GESC的最佳包裹长度与桩顶施加荷载的类型大小及加载时长相关。为分析袋体包裹长度Le对GESC复合路基性状的影响,分别取Le为2D,5D,8D,10D以及全长情况下进行数值模拟分析。
图 9为不同袋体包裹长度下桩顶沉降-时间关系曲线。由图可知,当路堤堆载较小时 (H=4 m,d=50),不同袋体包裹长度下的沉降几近相同,即提高袋体包裹长度,桩体沉降变化很小,桩体的最佳包裹长度约为3D。当路堤堆载高度大于6 m (65 d) 时,随着袋体包裹长度的增大,桩体沉降变形大幅减小,需全长包裹以减少沉降。故在复合路基中,GESC桩的最佳包裹长度与荷载大小相关,且当荷载较大时需要全长包裹以减少桩体沉降。
|
| 图 9 不同袋体长度下桩顶沉降-时间曲线 Fig. 9 Settlement-time curves at pile top in different encasement lengths |
| |
图 10为不同包裹长度下桩顶平均竖向应力曲线。可以看出,路堤堆载高度较小时,2D包裹长度与全长包裹下的桩顶竖向应力基本相同;而堆载高度大4 m后,竖向应力开始出现差异,包裹长度越长,转移到桩顶的竖向应力越大。当堆载结束时,全长包裹下的桩顶竖向应力为2D时的1.4倍。进一步说明,当堆载较大时,需全长包裹以提升桩的整体刚度,提高GESC桩复合路基性能。
|
| 图 10 不同袋体长度下桩体平均竖向应力曲线 Fig. 10 Curves of average vertical stress in GESC in different encasement lengths |
| |
3.3 置换率影响分析
文献[17]认为GESC复合路基中置换率的取值在5%~30%范围内较为适宜。进一步分析置换率对复合路基性能影响,分别开展置换率为5%,10%,15%,20%,25%和30%情况下GESC复合路基的承载性能研究。
选取置换率为10%,20%和30%情况下的桩顶竖向应力曲线进行分析,如图 11所示,在同一堆载高度下,随着Ar的提升 (减少桩间距),桩顶竖向应力减少。这与实际较为吻合,因为桩越密,单桩所分担的荷载越小。同时,随着路堤堆载高度的增加,不同置换率间的竖向应力差异逐渐增大,即置换率越高,竖向应力-堆载高度曲线斜率越小。如堆载高度为10 m时,随着置换率由10%提高到20%,竖向应力减少了30%;而置换率由20%提高至30%时,竖向应力减少20%。
|
| 图 11 置换率对桩体竖向应力的影响 Fig. 11 Effect of replacement ratio on vertical stress of GESC |
| |
置换率对复合路基的性能影响在减沉率-加载曲线上表现得更为直观。由图 12可知,置换率对桩沉降影响显著,Ar越大,减沉率越小,如置换率为30%时的减沉率为10%时的0.47倍。
|
| 图 12 置换率对桩体减沉率的的影响 Fig. 12 Effect of replacement ratio on settlement reduction ratio of GESC |
| |
综上分析,虽然置换率的提升能有效减少桩基沉降,但转移到桩顶的荷载减少,不利于充分发挥桩基的优越承载性能。为寻找GESC桩的最优置换率,绘制置换率与桩土应力比和桩沉降关系曲线,如图 13所示。由图可知,随着置换率的提升,桩土应力比逐渐增大,但置换率提升至15%后,变化速率减缓,当达到20%时,再增加置换率,对复合地基的应力分布基本无影响;同时随着置换率的增加,桩沉降量逐渐减少,但变化速率在置换率达到20%左右时显著变缓。由此推测GESC桩复合路基的最优置换率为20%左右。当然,实际工程中仍需根据工程地质条件及工程要求确定置换率的最佳值。
|
| 图 13 置换率与桩土应力比和沉降量关系 Fig. 13 Relationships of replacement ratio with pile-soil stress ratio and settlement |
| |
4 袋装砂石桩的理论研究 4.1 弹性解析解
考虑复合路基中的单元体模型,由砂石桩、土体、土工袋构成的典型桩土单元如图 14所示。在复合路基弹性解析解的推导过程中,满足以下假定:(1) 桩、土体及土工材料均为线弹性材料;(2) 桩端为坚硬岩层,模型顶部及底部为光滑刚性面;(3) 桩与土工袋及土工袋与土体界面间不产生相对滑移;(4) 土体压缩变形忽略不计。
|
| 图 14 单元体模型 Fig. 14 Unit cell model |
| |
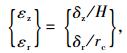
在均布荷载q作用下,桩体及桩周土的竖向位移及径向位移相等,因此砂石桩的竖向应变εz和径向应变εr为:
|
(1) |
式中, H为桩长; rc为桩径; δz和δr分别为砂石桩的竖向应力和径向位移。
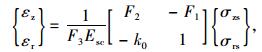
将桩周土体视为均匀的厚壁圆筒,则εz和εr由桩周土的竖向应力σzs与径向应力σrs表示为:[18]
|
(2) |
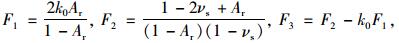
式中,Esc为土体压缩模量; F1, F2和F3为常数,分别为:
|
(3) |
式中, Ar为置换率,是桩的截面面积与复合桩-土单元面积比; νs为土的泊松比,k0=νs/(1-νs)。
由胡克定律,砂石桩的应力应变关系为:
|
(4) |
式中, σzc,σrc分别为砂石桩的竖向应力、径向应力;Ec和νc分别为砂石桩的弹性模量与泊松比。
在普通砂石桩中,土体中径向应力与砂石桩的径向应力相等;而在土工袋装砂石桩中,土工袋提供了径向包裹应力Δσr,因此袋体的径向力TR可表示为:
|
(5) |
式中J为袋体刚度。
由竖向应力平衡条件可得:
|
(6) |
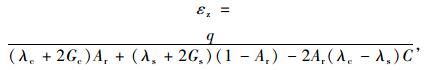
联合式 (1),(2),(4)~(6) 可求得荷载q作用下竖向应变εz为:
|
(7) |
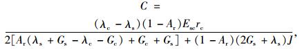
式中C为:
|
(8) |
式中λs,Gs和λc,Gc分别为土体及砂石桩的拉梅常数。
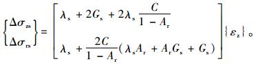
由计算得到的εz可得到径向应力εr及桩、土的应力函数表达式为:
|
(9) |
|
(10) |
|
(11) |
式 (7),(9),(10) 和 (11) 构成土工袋桩砂石桩和土体的应力、位移解析表达式。
4.2 模型验证采用上节有限元分析方法对理论分析进行验证。取最大无量纲荷载q/(Hγs)=1,土体重度γs、泊松比、弹性模量等参数与前文一致。计算的无量纲沉降值δzEcs/(H2γs) 与施加的无量纲荷载q/(Hγs) 关系曲线如图 15所示。由图可知,在不同袋体刚度下,理论解与数值计算结果均吻合较好。在初始加载阶段,土体表现为弹性变形,二者计算结果十分接近;当荷载增大至一定程度土体出现塑性变形,二者计算结果出现差异。对于土体塑性变形,限于篇幅,本文暂未考虑。综上,本文建立的解析解能较好地反映袋装砂石桩的弹性力学响应。
|
| 图 15 有限元数值解与理论计算值 Fig. 15 Calculated results by finite element method and analytical method |
| |
5 结论
(1) 在等应变条件下,推导了袋装砂石桩复合地基的弹性解析解,并通过数值模拟验证了理论解的正确性。
(2) 在一定范围内,提高袋体刚度能有效减少桩体沉降、增加桩土应力比、限制桩体侧向变形,但当袋体刚度增加至1 000 kN/m后,复合地基性能提升较小。
(3) 在复合路基中,GESC桩的最佳包裹长度与荷载大小相关,且当荷载较大时需要全长包裹以提升桩的整体刚度、减少桩体沉降。
(4) 随着置换率的提升,桩土应力比逐渐增大,桩体沉降减少;达到一定值后,二者变化速率减缓,再增加置换率,经济效益显著减少,故提出GESC桩复合路基的最优置换率为20%左右。
| [1] | 赵明华, 陈庆, 张玲, 等. 加筋碎石桩承载力计算[J]. 公路交通科技, 2011, 28(8): 7-12 ZHAO Ming-hua, CHEN Qing, ZHANG Ling, et al. Calculation of Bearing Capacity of Geosynthetic-encased Stone Columns[J]. Journal of Highway and Transportation Research and Development, 2011, 28(8): 7-12 |
| [2] | 陈建峰, 童振湄, 柳军修, 等. 竖向荷载下加筋碎石桩复合地基数值分析[J]. 岩土力学, 2013, 34(增2): 393-399 CHEN Jian-feng, TONG Zhen-mei, LIU Jun-xiu, et al. Numerical Analyses of Composite Foundation of Geosynthetic-encased Stone Columns Subjected to Vertical Loading[J]. Rock and Soil Mechanics, 2013, 34(S2): 393-399 |
| [3] | 陈建峰, 王波, 魏静, 等. 加筋碎石桩复合地基路堤模型试验[J]. 中国公路学报, 2015, 28(9): 1-8 CHEN Jian-feng, WANG Bo, WEI Jing, et al. Model Test of Embankment on Composite Foundation Reinforced with Geosynthetic-encased Stone Columns[J]. China Journal of Highway and Transport, 2015, 28(9): 1-8 |
| [4] | 周志刚, 张起森, 郑健龙. 土工格栅加固碎石桩复合地基的机理分析[J]. 土木工程学报, 1998, 31(1): 20-25 ZHOU Zhi-gang, ZHANG Qi-sen, ZHENG Jian-long. Analysis of Mechanism of Improved Ground with Stone Columns Reinforced by Geogrids[J]. China Civil Engineering Journal, 1998, 31(1): 20-25 |
| [5] | FATTAH M Y, MAJEED Q G. Finite Element Analysis of Geogrid Encased Stone Columns[J]. Geotechnical and Geological Engineering, 2012, 30(4): 713-726 |
| [6] | YOO C, LEE D. Performance of Geogrid-encased Stone Columns in Soft Ground: Full-scale Load Tests[J]. Geosynthetics International, 2012, 19(6): 480-490 |
| [7] | YOO C. Settlement Behavior of Embankment on Geosynthetic-encased Stone Column Installed Soft Ground:A Numerical Investigation[J]. Geotextiles and Geomembranes, 2015, 43(6): 484-492 |
| [8] | 张仪萍, 王洋. 非瞬时加载下土工袋装砂石桩复合地基固结解析解[J]. 岩石力学与工程学报, 2011, 30(增2): 3096-3102 ZHANG Yi-ping, WANG Yang. Analytical Solution for Composite Ground with Geosynthetic Encased Stone Column under Time-dependent Loading[J]. Chinese Journal of Rock Mechanics and Engineering, 2011, 30(S1): 3096-3102 |
| [9] | CHUNGSIK Y. Performance of Geosynthetic-Encased Stone Columns in Embankment Construction: Numerical Investigation[J]. Journal of Geotechnical and Geoenvironmental Engineering, 2010, 136(8): 1148-1160 |
| [10] | KHABBAZIAN M, KALIAKIN V N, MEEHAN C L. Numerical Study of the Effect of Geosynthetic Encasement on the Behaviour of Granular Columns[J]. Geosynthetics International, 2010, 17(3): 132-143 |
| [11] | 赵明华, 顾美湘, 张玲, 等. 竖向土工加筋体对碎石桩承载变形影响的模型试验研究[J]. 岩土工程学报, 2014, 36(9): 1587-1593 ZHAO Ming-hua, GU Mei-xiang, ZHANG Ling, et al. Model Tests on Influence of Vertical Geosynthetic-encasement on Performance of Stone Columns[J]. Chinese Journal of Geotechnical Engineering, 2014, 36(9): 1587-1593 |
| [12] | ALI K, SHAHU J T, SHARMA K G, et al. Model Tests on Geosynthetic-reinforced Stone Columns: A Comparative Study[J]. Geosynthetics International, 2012, 19(4): 292-305 |
| [13] | LO S R, ZHANG R, MAK J. Geosynthetic-encased Stone Columns in Soft Clay: A Numerical Study[J]. Geotextiles and Geomembranes, 2010, 28(3): 292-302 |
| [14] | CHOOBBASTI A J, PICHKA H. Improvement of Soft Clay Using Installation of Geosynthetic-encased Stone Columns: Numerical Study[J]. Arabian Journal of Geosciences, 2012, 7(2): 597-607 |
| [15] | KHABBAZIAN M, MEEHAN C L, KALIAKIN V N. Column Supported Embankments with Geosynthetic Encased Columns: Parametric Study[J]. Transportation Infrastructure Geotechnology, 2014, 1(3): 301-325 |
| [16] | MURUGESAN S, RAJAGOPAL K. Model Tests on Geosynthetic-encased Stone Columns[J]. Geosynthetics International, 2007, 14(6): 346-354 |
| [17] | KHABBAZIAN M, KALIAKIN V N, MEEHAN C L. Column Supported Embankments with Geosynthetic Encased Columns: Validity of the Unit Cell Concept[J]. Geotechnical and Geological Engineering, 2015, 33(3): 425-442 |
| [18] | POULOS H G, DAVIS E H. Elastic Solutions for Soil and Rock Mechanics[M]. New York: Wiley, 1974. |
2017, Vol. 34
