扩展功能
文章信息
- 邓友生, 段邦政, 吴鹏, 梅靖宇, 王欢
- DENG You-sheng, DUAN Bang-zheng, WU Peng, MEI Jing-yu, WANG Huan
- 泡沫混凝土声屏障吸声特性研究
- Study on Absorption Characteristics of Foam Concrete Sound Barrier
- 公路交通科技, 2017, 34(3): 144-151
- Journal of Highway and Transportation Research and Denelopment, 2017, 34(3): 144-151
- 10.3969/j.issn.1002-0268.2017.03.020
-
文章历史
- 收稿日期: 2016-01-11
随着高速公路和城市快速道路建设的迅猛发展,交通运输能力的增大,交通噪声对周围人居环境的影响日益严重[1-2]。声屏障因其降噪效果好、建造维护方便、使用灵活等优点广泛应用于国内外公路降噪体系,这对改善生活品质、加速城市建设、保护生态环境具有十分重要的意义。泡沫混凝土作为一种良好的多孔吸声材料[3-4],因其具有良好的可塑性,将其制成吸声型声屏障是噪声污染严重人居区域经济有效的降噪措施。
目前国内外学者对声屏障的声学性能及泡沫混凝土的特性进行了大量研究。李应权[5]对泡沫混凝土的配合比设计进行了研究,基于泡沫混凝土的干密度等级和抗压强度对其配合比的影响,归纳出干密度等级在A02-A05的泡沫混凝土配合比。
周信[6]等基于边界元理论和高速列车现场声源识别结果,建立考虑轨道和车体特性的高速铁路声屏障声学降噪效果模型。研究表明:声屏障插入损失随着列车运行速度的增加而降低,随着频率的增高而增大;对于通用声屏障,高度增加0.5 m,其插入损失降低1-2 dB (A)。Duhamel D[7]和Duhring M B[8]等结合耦合边界元法和遗传算法优化声屏障的顶端结构,研究表明:T形折壁型声屏障降噪效果比直壁型声屏障好,但并不是最优顶端结构;最优顶端结构比一般结构形式的声屏障插入损失要高5 dB (A)。
本文结合吸声型声屏障的声学理论和环境声学的边界元理论模型,针对交通噪音的频谱特性,研究不同声屏障高度、不同受声点高度、声屏障的结构形式及声屏障的顶端结构类型对声屏障插入损失分布规律的影响。
1 公路交通噪声公路交通噪声主要是由机动车辆在交通干线上运行时所产生噪声叠加而成,其噪声来源[9-10]主要包括动力系统噪声 (包括发动机、变速箱、风扇、进排气系统等)、路面不平整所产生的振动噪声、轮胎与地面之间的空气在压缩和释放时所产生的空气泵噪声。交通噪声频率是研究声屏障声学特性最重要的参数之一,我国高等级公路主要频率范围在250~2 000 Hz[11],其交通噪声频谱图如图 1所示。
|
| 图 1 公路交通噪声频谱图 Fig. 1 Spectrum of road traffic noise |
| |
噪声污染虽然属于物理污染,即污染源停止,污染立刻消失,但其危害却体现在多个方面。交通噪声对人的听觉、神经系统、消化系统、视力等方面有明显的影响,在噪声环境中工作的人们会产生紧张、愤怒、焦虑等负面情绪[12-13]。交通噪声的防治是提高人们正常生活、工作和学习的声环境质量,促进经济、社会可持续发展,构建和谐社会的保障前提。目前国内外交通噪声的防治措施主要采取技术和管理两方面措施。其主要方法有合理规划公路网、研究低噪声路面、研究低噪声车辆、声屏障降噪处理、绿化降噪处理等方法[11]。
2 吸声型声屏障声学理论噪声在传播过程中,声波入射到吸声型声屏障的表面会产生反射与透射。当声屏障尺寸大小比声波波长大得多时,声波入射到吸声型声屏障表面时会产生声波的反射现象,声波能量发生衰减,其反射声能的大小取决于吸声型声屏障的吸声系数。声波在平行的声屏障之间发生多次反射 (如图 2所示),降低声波从顶部衍射的声能,达到降噪效果。
|
| 图 2 声波的反射路径 Fig. 2 Sound wave reflection path |
| |
3 环境声学的理论模型
公路声屏障降噪理论是声屏障设计的基础,而随着声屏障技术的发展,公路声屏障的降噪理论可分为:几何与波动学理论、试验与半经验理论以及边界元理论。
3.1 几何与波动学理论、试验与半经验理论由于光具有波粒二象性,声屏障的几何与波动学降噪理论最初来源于光的波动学理论[14],即结合声波的波动方程及其边界条件对衍射声场进行分析,最终求解出衍射声场各点的声压。但几何与波动学降噪理论对表面阻抗为有限阻抗 (阻抗介于0与无穷大之间) 声屏障和复杂横断面声屏障的理论分析存在其局限性。
试验与半经验理论[15-17]是结合几何声学理论和大量试验结果,并引入菲涅耳数N作为参量对有垂直刚性声屏障的声场中声强分布进行预测。相比几何与波动学降噪理论,试验与半经验降噪理论虽然计算简单,但仅适用于只考虑声波衍射作用而引起的声屏障插入损失,即声屏障的插入损失必须大于10 dB,对于吸声型声屏障和复杂形式的声屏障也无法进行分析。
3.2 边界元理论国内外环境声学的相关规范确定声屏障的插入损失常采用试验与半经验理论,其经验表达式精度存在一定的局限性。由于未考虑声波传播路径中的各种障碍,无法对三维空间的声场分布进行精确的计算或模拟。边界元法是以边界积分方程为控制方程,通过对边界进行离散化,将积分问题转化为代数方程组的求解。与有限元法相比,边界元法降低了维度,从而降低了自由度,使得问题变得简单化。边界元法是一种研究声屏障插入损失的数值工具[18-19],其常应用于二维或三维空间模拟声屏障的复杂截面形式与复杂顶端结构。
3.2.1 边界元模型的建立声屏障的边界元模型常采用二维边界元模型,为简化声屏障的边界元模型,本文对其进行两个假设[20-21]:(1) 假设声屏障放置的平面是无限长且均匀;(2) 假设声屏障周围的介质是均匀的。基于上述两个假设,道路、噪声源 (可视为沿公路方向的无限长线声源) 及声屏障三者相互平行,即三者在同一个平面内,故噪声三维声场分布可转化为二维声场分布, 如图 3所示。设任意声源点 (r, r0),声场中任意点声压p(r, r0),声屏障边界曲线s,则声屏障边界上任意点Sm的声压p(rm, r0) 及该点表面法向声导纳β(rm, r0)。
|
| 图 3 声屏障的二维边界元模型 Fig. 3 Two-dimensional boundary element model of sound barrier |
| |
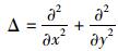
在声场区域中,声压p(x, y, z, t) 是关于受声点位置与时间的偏微分方程,且满足Helmholtz方程,即:
|
(1) |
|
(2) |
式中,Δ为拉普拉斯算子,
声屏障在声场中可视为散射体,声场可由入射声场和散射声场叠加而成,故声场中任意点的声压为:
|
(3) |
式中,pi为无声屏障时声场中的声压;pm为散射体 (声屏障) 的散射声压。
结合反映声源与声场之间关系的Helmholtz方程对无声屏障时声场中的声压进行计算,采用Green函数法对Helmholtz方程进行求解,Green函数表示任意点声源在自由场空间中任意点产生的声压为:
|
(4) |
式中,G(r, r0) 为无声屏障时r点处的声压;H10为第一种0阶的Hankel函数。
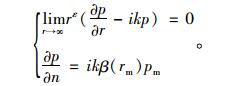
声屏障作为散射体,其散射声压在无穷远处满足Sommerfeld辐射条件[22]与声屏障局部反应的边界条件,即:
|
(5) |
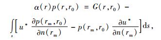
结合Green第二定理可将边界积分转化为:
|
(6) |
式中,n(rm) 为在声屏障表面rm处的外法向方向;α(r) 为声场中位置系数,当r不位于声屏障表面时,α(r)=1;当r位于声屏障表面但位于其角点上时,α(r)=0.5;当r位于声屏障表面角点时,α(r)=θ/2π。
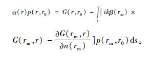
设权函数u*为Green函数并结合式 (6) 可得:
|
(7) |
若不考虑声波在多个散射体之间连续反射,式 (7) 中的G(rm, r) 可简化成自由场的Green函数。针对点声源三维声场分布的问题,式 (7) 也同样适用,主要区别在于计算点的数目多少。由于二维模型的声源是无限长的相干线声源,而实际交通噪声源是无限长的非相干线声源,故在分析三维模型时,将非相干线光源离散化后点光源的声场分布进行叠加,从而求解出三维模型的声场分布。
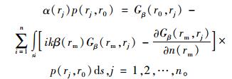
3.2.2 边界元模型的求解(1) 边界离散化
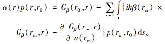
将声屏障边界s离散成一系列的边界单元s1, s2, …, sn。每个单元内部的声压可近似相等,即单元内任意点的声压p(rm, r0)=p(ri, r0)。故式 (7) 可化为:
|
(8) |
(2) 声导纳
声导纳β与声阻抗η是反映材料吸声性能的两个参数,声导纳是运动质点的振动速度与声压复数的比值,并与声阻抗成倒数关系,即β=v/p=1/η。对声阻抗与声导纳进行估算时,可采用Delany-Bazley单参数经验模型:
|
(9) |
式中,ρ为空气密度;c为空气中的声速;ρc为空气的特性阻抗;X=ρf/σ,σ为材料的流阻。
(3) 声场中的声压
结合式 (9) 与声屏障边界上各单元声压值p1, p2, …, pn可得到关于p1, p2, …, pn的n维线性方程组:
|
(10) |
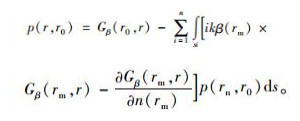
采用矩阵解耦运算求解式 (10) 中边界上各点的声压值p1, p2, …, pn,结合边界上各点的声压值p1, p2, …, pn与无声屏障时的声压Gβ(r0, r) 对声场中任意点的声压值进行求解。
|
(11) |
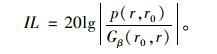
声屏障的插入损失IL是在声屏障插入前后声压级之差,故声场中任意点的声屏障插入损失IL为:
|
(12) |
基于吸声型声屏障边界元模型的建立与求解,并运用MATLAB程序语言对其进行矩阵解耦,将求解边界上各点的散射声压p1, p2, …, pn与入射声压进行叠加。考虑到交通噪声频率是研究声屏障声学特性最重要的参数之一,结合图 1的公路交通噪声频谱图,选取中心频率为250~2 000 Hz的1/3倍频程进行计算,最后将各频带的计算声场进行A计权修正与叠加。
本文公路计算模型选取双向四车道,选取干密度为600 kg/m3,厚度为5 cm的泡沫混凝土作为声屏障的吸声材料,其吸声性能如图 4所示。
|
| 图 4 泡沫混凝土的吸声性能 Fig. 4 Sound absorption property of foam concrete |
| |
设声源位于道路中心线上,声屏障高度为H,受声点高度为h。依据公路工程技术标准 (TJT 001—97),考虑到公路绿化带及人行道,声屏障距离声源的水平距离大约为8 m。本文对不同声屏障高度、不同受声点高度、不同组合形式及不同顶端结构类型,分析以声源为中心点的前后水平距离80 m受声点的声屏障插入损失。
4.1 声屏障的高度声屏障高度设计是声屏障环境声学中最重要的部分,设计高度的合理性与声屏障的降噪效果、声屏障的形式和造价有直接关系。故拟采用当声屏障高度H为2,3,4,5 m、受声点高度h为1 m时,以声源为中心点的前后水平距离80 m的声屏障插入损失。
声屏障高度对声屏障插入损失的影响如图 5所示,在两平行声屏障之间 (近声源侧),声屏障插入损失为0,这是由于自由声场插入吸声型声屏障后,大部分声能被吸声材料吸收或消耗,反射的声能很小 (几乎可忽略不计),反射声波与下一批入射声波无法形成干涉现象的条件。在声屏障外侧 (远声源侧) 一定范围内,声屏障插入损失出现极大值与极小值,因为散射体声屏障的存在,入射声波与散射声波发生干涉现象,在距离声源约12 m的位置入射声波与散射声波振动加强,导致声屏障插入损失达到极小值点;在距离声源约16 m的位置入射声波与散射声波振动减弱,导致声屏障插入损失达到极大值点。由于声能的衰减变化与声波传播距离的三次方成反比,距离越远,声波的衰减越慢,故在远声源侧,随着水平距离的增加,声屏障插入损失逐渐趋于稳定。
|
| 图 5 高度对声屏障插入损失的影响 Fig. 5 Impact of height on sound barrier's insertion loss |
| |
随着声屏障高度的增加,声屏障的插入损失在近声源侧无影响,在远声源侧变化较为复杂。在远声源侧干涉阶段 (约10~20 m),声屏障插入损失随着声屏障的高度增加而增加,其插入损失值与其高度呈现对数函数关系,运用SPSS软件对两者进行相关性与显著性分析可知,两者有显著的相关性,其相关性系数为0.926。在远声源侧衰减阶段 (约20~50 m),声屏障插入损失衰减幅度与速率随着声屏障高度的增加而增大。在远声源侧稳定阶段,声屏障的插入损失随着声屏障水平距离的增大逐渐趋于稳定,且各高度的插入损失相差不超过0.2 dB,这是因为声屏障的高度只能影响声屏障附近的声场分布,随着水平距离越远,声波传播的距离差会逐渐减小,从而减小各高度的声屏障插入损失。
4.2 受声点的高度h受声点的高度是分析声屏障声场分布的参数之一。随着受声点的高度增加,受声点从声影区向声亮区转变的同时也伴随着声波传播距离的变化。故拟采用当受声点高度h为1,2,3,4,5 m,声屏障高度h为3 m时,研究以声源为中心点的前后水平距离80 m的声屏障插入损失分布情况。
受声点高度对声屏障插入损失的影响如图 6所示,随着受声点高度的增加,声屏障的插入损失变化在近声源侧无影响;在远声源侧干涉阶段,声屏障插入损失逐渐降低,这是由于随着受声点高度的增加,受声点逐渐由声影区向声亮区过渡,导致声屏障的插入损失减小;受声点高度为3 m时 (受声点高度与声屏障高度一致),声屏障插入损失变化剧烈程度较大,这是因为受声点处于声影区与声亮区的交界处,且声波传播到受声点的距离最短,受声点接收到入射声波与散射声波多,干涉的现象比其他受声点高度明显。在远声源侧衰减阶段,声屏障插入损失衰减幅度与速率随着高度的增加而减小。在远声源侧稳定阶段,各高度的插入损失相差不超过0.1 dB。
|
| 图 6 受声点高度对声屏障插入损失的影响 Fig. 6 Impact of acoustic points'height on sound barrier's insertion loss |
| |
4.3 复合型声屏障的组合形式
声屏障按其声波在声场中的传播类型可分为隔声型声屏障、吸声型声屏障及吸声与隔声相结合的复合型声屏障。因其组合形式的不同,声屏障对噪声绕射的衰减也有所差异。故选定声屏障高度为3 m,受声点高度为1 m,泡沫混凝土作为吸声材料,假设隔声材料为全反射材料。并拟用3种复合型声屏障的组合形式与吸声型声屏障对以声源为中心点的前后水平距离80 m的声屏障插入损失分布情况进行对比,其组合方案见表 1。
| 类型 | 组合形式 | 高度/m |
| 方案1 | 吸声型 | 3 |
| 隔-吸型声屏障 | 吸声型 (上) | 1.5 |
| 隔声型 (下) | 1.5 | |
| 吸-隔型声屏障 | 隔声型 (上) | 1.5 |
| 吸声型 (下) | 1.5 | |
| 吸-隔-吸型声屏障 | 吸声型 (上) | 1 |
| 隔声型 (中) | 1 | |
| 吸声型 (下) | 1 |
组合形式对声屏障插入损失的影响如图 7所示,复合型声屏障在近声源侧声屏障插入损失小于零,在远声源侧声屏障插入损失明显高于吸声型声屏障。自由声场插入复合型声屏障后,由于隔声屏障的反射,反射声波与入射声波能产生干涉现象,导致近声源侧的声屏障插入损失有负值的存在;在远声源侧,复合型声屏障插入损失的分布也有3个阶段。
|
| 图 7 组合形式对声屏障插入损失的影响 Fig. 7 Impact of combination of sound barrier on insertion loss |
| |
复合型声屏障因其组合形式不同,在远声源侧和近声源侧的声场分布有差异。在近声源侧,复合型声屏障因隔声屏障的高度和面积不同,其声屏障插入损失不同。在近声源侧,当隔声屏障与受声点的相对高度越小,干涉现象越明显,声屏障插入损失负值越大;当隔声屏障面积越大,声屏障插入损失负值也越大。故方案2的声屏障插入损失负值最大,方案3声屏障插入损失负值最小。在远声源侧干涉阶段,方案4干涉加强区和减弱区的声屏障插入损失最大,这是因为方案4比方案3与方案2能更有效地减弱声屏障的绕射。在远声源侧稳定阶段,复合型声屏障的降噪效果优于吸声型声屏障,方案2的插入损失比方案1高0.4 dB,方案3的插入损失比方案1高1.3 dB,方案4的插入损失比方案1高2 dB。
4.4 顶端结构类型公路声屏障的顶端结构形式可分为:直壁型、折壁型、表面倾斜型、全封闭型及半封闭型。直壁型声屏障与表面倾斜型声屏障一般应用于降噪要求较低的公路上;折壁型主要将声屏障顶端弯折成Y型、T型、圆弧型等形式,一般用于降噪要求较高且声屏障高度有限制的公路;对于降噪要求高的高速公路高架桥可采用全封闭型及半封闭型声屏障。本文选定声屏障高度为3 m,受声点高度为1 m,泡沫混凝土作为吸声材料,拟用直壁型、30°折壁型及圆弧型3种顶端结构类型 (构造型式如图 8所示) 研究以声源为中心点的前后水平距离80 m的声屏障插入损失分布情况。
|
| 图 8 顶端构造型式示意图 Fig. 8 Schematic diagram of top structur form |
| |
顶端结构对声屏障插入损失的影响如图 9所示,3种不同顶端结构的声屏障插入损失的变化规律一致。折壁型是在声屏障的顶部设置不同的结构,不仅增大与声波的接触面积,而且增大声波的传播距离,故30°折壁型和圆弧型声屏障降噪效果优于直壁型。在远声源侧稳定阶段,30°折壁型的插入损失比直壁型高1.6 dB,圆弧型的插入损失比直壁型高2.6 dB。
|
| 图 9 顶端结构对声屏障插入损失的影响 Fig. 9 Impact of top structure on sound barrier's insertion loss |
| |
5 结论
(1) 泡沫混凝土吸声型声屏障插入损失随受声点水平距离的变化规律:在近声源侧,声屏障插入损失为0;在远声源侧,声屏障插入损失分为干涉、衰减及稳定3个阶段。
(2) 随着声屏障高度的增加,在近声源侧对声屏障插入损失的变化无影响;在远声源侧稳定阶段各高度的声屏障插入损失相差不超过0.2 dB,但在远声源侧干涉阶段声屏障插入损失与其高度呈现对数函数关系。
(3) 随着受声点高度的增加,在近声源侧对声屏障插入损失的变化无影响;在远声源侧干涉阶段,声屏障插入损失随着受声点高度的增加而减小,当受声点高度与声屏障高度一致时,声屏障插入损失变化剧烈;在远声源侧稳定阶段各高度的声屏障插入损失相差不超过0.1 dB。
(4) 复合型声屏障因其组合形式不同,在远声源侧和近声源侧的声场分布有差异。在近声源侧声屏障插入损失存在负值,当隔声屏障与受声点的相对高度越小,声屏障插入损失负值越大;在远声源侧干涉阶段和稳定阶段,方案4的插入损失最大。
(5) 顶端结构的变化不会影响声屏障插入损失随受声点水平距离的变化规律,顶端结构为圆弧形声屏障的降噪效果优于30°折壁型和直壁型。
| [1] | 郭萍, 文桂林, 王艳广, 等. 三维有限长声屏障声压简化算法[J]. 公路交通科技, 2012, 29(8): 153-158 GUO Ping, WEN Gui-lin, WANG Yan-guang, et al. A Simplified Method for Calculating Acoustic Pressure of 3D Finite Length Noise Barriers[J]. Journal of Highway and Transportation Research and Development, 2012, 29(8): 153-158 |
| [2] | 王海波, 余志, 蔡铭. 不同顶端形态声屏障菲涅尔半波带衍射研究[J]. 公路交通科技, 2016, 33(5): 147-152 WANG Hai-bo, YU Zhi, CAI Ming. Study on Diffraction of Different Top Shaped Noise Barriers with Fresnel Half-wave Zone Method[J]. Journal of Highway and Transportation Research and Development, 2016, 33(5): 147-152 |
| [3] | 蒋俊, 牛云辉, 卢忠远. 减缩剂对泡沫混凝土收缩的影响研究[J]. 功能材料, 2014, 45(11): 11032-11035 JIANG Jun, NIU Yun-hui, LU Zhong-yuan. Study on the Shrinkage of Foamed Concrete with Shrinkage-reducing Admixtures[J]. Journal of Functional Materials, 2014, 45(11): 11032-11035 |
| [4] | 袁璞, 马芹永, 张海东. 轻质泡沫混凝土SHPB试验与分析[J]. 振动与冲击, 2014, 33(17): 116-119 YUAN Pu, MA Qin-yong, ZHANG Hai-dong. SHPB Tests for Light Weight Foam Concrete[J]. Journal of Vibration and Shock, 2014, 33(17): 116-119 |
| [5] | 李应权, 朱立德, 李菊丽, 等. 泡沫混凝土配合比的设计[J]. 徐州工程学院学报:自然科学版, 2011, 2(26): 1-5 LI Ying-quan, ZHU Li-de, LI Ju-li, et al. Study on Mix Ratio Design of Foamed Concrete[J]. Journal of Xuzhou Institute of Technology:National and Science Edition, 2011, 2(26): 1-5 |
| [6] | 周信, 肖新标, 何宾, 等. 高速铁路声屏障降噪效果预测及其验证[J]. 机械工程学报, 2013, 49(10): 14-19 ZHOU Xin, XIAO Xin-biao, HE Bin, et al. Numerical Model for Predicting the Noise Reduction of Noise Barrier of High Speed Railway and Its Test Validation[J]. Journal of Mechanical Engineering, 2013, 49(10): 14-19 |
| [7] | DUHAMEL D. Shape Optimization of Noise Barriers Using Genetic Algorithms[J]. Journal of Sound and Vibration, 2006, 297(1): 432-443 |
| [8] | DUHRING M B, JENSEN J S, SIGMUND O. Shape Optimization of Noise Barriers Using Genetic Algorithms[J]. Journal of Sound and Vibration, 2008, 317(3): 557-575 |
| [9] | 史小丽, 王选仓, 贾奇英. 公路隧道内交通噪声预测[J]. 公路交通科技, 2010, 27(2): 147-151 SHI Xiao-li, WANG Xuan-cang, JIA Qi-ying. Traffic Noise Prediction inside Highway Tunnels[J]. Journal of Highway and Transportation Research and Development, 2010, 27(2): 147-151 |
| [10] | 王云鹏, 韦大川, 李世武, 等. 橡胶粉改性沥青降噪机理及试验研究[J]. 公路交通科技, 2008, 25(12): 201-206 WANG Yun-peng, LI Da-chuan, LI Shi-wu, et al. Study on Noise Reduction Mechanism and Experiment of Rubber Powder Modified Asphalt[J]. Journal of Highway and Transportation Research and Development, 2008, 25(12): 201-206 |
| [11] | 蒋康.公路声屏障优化研究[D].西安:长安大学, 2008. JIANG Kang. Research on Optimization of Road Noise Barriers[D]. Xi'an:Chang'an University, 2008. |
| [12] | 林潮. 噪声作业对工人神经行为功能影响的调查研究[J]. 工业卫生与职业病, 1998, 24(5): 272-274 LIN Chao. Investigation of Workers Exposed to Noise on the Behavior of Neurological Function[J]. Industrial Health and Occupational Diseases, 1998, 24(5): 272-274 |
| [13] | MURRAY C D R, FLYNN J, RATCLIFFE L, et al. Effect of Acute Physical and Psychological Stress on Gut Autonomic Innervation in Irritable Bowel Syndrome[J]. Gastroenterology, 2004, 127(6): 1659-1700 |
| [14] | 李文.高速铁路声屏障声学与景观设计研究[D].长沙:中南大学, 2009. LI Wen. Research on Aeoustieal and Landscape Design of High-speed Rail Way Noise Barriers[D]. Changsha:Central South University, 2009. |
| [15] | 范丽丽.泡沫铝声屏障降噪效果测试与机理研究[D].沈阳:东北大学, 2009. FAN Li-li. Study on Effect Test and Mechanism of Aluminum Foam Noise Barrier[D]. Shenyang:Northeastern University, 2009. |
| [16] | 周信.高速铁路声屏障降噪效果预测及新型声屏障设计[D].成都:西南交通大学, 2013. ZHOU Xin. Noise Reduction Prediction and Design of New Type of Noise Barrier for High-speed Train[D]. Chengdu:Southwest Jiaotong University, 2013. |
| [17] | 郭萍.三维声屏障声压简化算法及声学特性研究[D].长沙:湖南大学, 2012. GUO Ping. Research on a Simplified Method to Calculate Acoustic Pressure of Three-dimensional Noise Barrier and Its Acoustic Performance[D]. Changsha:Hunan University, 2012. |
| [18] | GREINER D, AZNAREZ J J, MAESO O, et al. Single and Multi-objective Shape Design of Y-noise Barriers Using Evolutionary Computation and Boundary Elements[J]. Advances in Engineering Software, 2010, 41(2): 368-378 |
| [19] | GRUBESA S, JAMBROSIC K, DOMITROVIC H. Noise Barriers with Varying Cross-section Optimized by Genetic Algorithms[J]. Applied Acoustics, 2012, 73(11): 1129-1137 |
| [20] | 卢洋. 屏体吸声性能布局对声屏障插入损失的影响[J]. 噪声与振动控制, 2014, 34(6): 121-125 LU Yang. Influence of Arrangement of Sound Absorptive Surface on Insertion Loss of Noise Barriers[J]. Noise and Vibration Control, 2014, 34(6): 121-125 |
| [21] | 卢洋, 蒋中锐. 屏体吸声性能对道路声屏障插入损失的影响[J]. 环境影响评价, 2015, 37(1): 92-96 LU Yang, JIANG Zhong-rui. The Influence of Sound Absorptive Surface to the Performance of Noise Barrier[J]. Environmental Impact Assessment, 2015, 37(1): 92-96 |
| [22] | AMINI S, WILTON D T. An Investigation of Boundary Element Method for the Exterior Acoustic Problem[J]. Numerical Methods in Applied Mechanics and Engineering, 1986, 54(1): 49-65 |
2017, Vol. 34
