扩展功能
文章信息
- 张树光, 孙成鑫, 王有涛, 林晓楠
- ZHANG Shu-guang, SUN Cheng-xin, WANG You-tao, LIN Xiao-nan
- 海棠山隧道砂岩变参数蠕变特性研究
- Study on Variable Parameter Creep Characteristics of Sandstone in Haitangshan Tunnel
- 公路交通科技, 2016, 33(10): 104-110
- Journal of Highway and Transportation Research and Denelopment, 2016, 33(10): 104-110
- 10.3969/j.issn.1002-0268.2016.10.016
-
文章历史
- 收稿日期: 2015-07-20
随着地下工程向深部发展,地下围岩在复杂地应力作用下表现出的随时间大变形、难支护以及失稳破坏等工程问题日益增多,因此在岩基、边坡、水利工程以及隧道等地下工程领域进行岩石工程流变学的研究具有重要的价值[1-6]。
为了掌握岩石的流变特性,特别是研究围岩变形失稳的破坏机理,广大岩土科技人员从试验与理论出发,做了大量的研究工作:徐卫亚[7]等基于绿片岩三轴蠕变试验,将非线性黏塑性体与五元件线性黏塑性模型串联,建立了河海模型,并对岩石非线性蠕变与松弛特性进行了研究;王来贵[8]等以改进的西原正夫模型为基础,建立了参数非线性蠕变模型,并通过局部线性化,得出了改进西原正夫模型的稳定条件;崔希海[9]等通过对红砂岩的单轴蠕变试验,研究轴向与横向蠕变规律的差异,提出岩石的长期强度应根据横向稳定蠕变的阀值应力来确定;薛凯喜、沈明荣[10]等对红砂岩进行单轴压缩蠕变试验,提出了确定岩石长期强度的新方法,预测了岩石在荷载作用下可能破坏的时间。李亚丽[11]等基于粉砂质泥岩三轴压缩蠕变试验,分析了蠕变特性,并引入非线性黏塑性元件建立非线性Burgers模型,对试验曲线进行了辨识。
目前关于岩石流变问题的研究大多将流变参数视为常数,而在实际的复杂三维地质条件下,这些力学参数往往随应力和时间而发生变化[12-14]。因此,孙钧院士[15]提出由试验结果来确定非定常的蠕变参数,再进行非线性流变本构关系的分析计算。本文拟通过砂岩三轴蠕变试验,基于改进的西原模型建立变参数蠕变方程,分析蠕变参数随应力状态与时间的变化规律。
1 三轴蠕变试验试验试样采自阜盘高速公路海棠山特长隧道的砂岩地层,试样质地均匀、无明显层理,完整性与均匀性较好。将试样加工制作成直径50 mm,高100 mm的圆柱体共20块。试样的加工精度严格按照《岩石试验方法标准》(GB50218—94)进行。在试样的轴向长度方向上,直径误差不超出0.3 mm,两端面的不平行度最大不超过0.05 mm且垂直于试样轴线,最大偏差不超过0.25°。试件制备完成后,对外观上有缺陷、差别明显的试件进行剔除并按照上述精度要求筛选,最后选择8个波速相近的岩样作为三轴蠕变用试件。对其中6个试件进行常规三轴试验,测得该种砂岩平均密度为2.35 g/cm3,围压10 MPa情况下平均抗压强度为89 MPa,平均极限应变为0.348%。围压15 MPa情况下平均抗压强度为114 MPa,平均极限应变量为0.355%。
本次蠕变试验利用TAW-2000电液伺服岩石三轴试验仪,如图 1所示,采用分级加载方式,分级荷载依次均增加10 MPa,加载速率设定为0.5 MPa/s,数据采样间隔为1 min。
|
| 图 1 TAW-2000电液伺服岩石三轴试验机 Fig. 1 TAW-2000 electro-hydraulic servo rock 3-triaxial test machine |
| |
在围压为10 MPa情况下,各级荷载作用下的蠕变均在瞬时变形之后出现,在70 MPa应力作用下出现了衰减蠕变、稳定蠕变与加速蠕变阶段,持续时间为3.38 h,远远小于前3级荷载作用时间,最终的应变量为0.283%,小于常规三轴作用下的极限变形量,在实际工程中应该得以重视。通过计算蠕变曲线前3级荷载作用下的蠕变速率可以发现,第1级荷载(40 MPa)作用下试样出现了瞬时变形与衰减蠕变阶段,最终蠕变速率为0.002%;第2级荷载(50 MPa)与第3级荷载(60 MPa)作用下出现了瞬时变形、衰减蠕变与稳定蠕变阶段,最终蠕变速率分别为0.017%和0.02%,试验曲线如图 2(a)所示。
|
| 图 2 砂岩试样蠕变曲线 Fig. 2 Creep curves of sandstone sample |
| |
围压为15 MPa情况下,在90 MPa应力作用下出现了衰减蠕变、稳定蠕变与加速蠕变阶段,持续时间为17.28 h,最终的应变量为0.299%,同样小于常规三轴作用下的极限变形量。第1级荷载(50 MPa)与第2级荷载(60 MPa)作用下试样出现了瞬时变形与衰减蠕变阶段,最终蠕变速率均小于0.001%;第3级荷载(70 MPa)与第4级荷载(80 MPa)作用下出现了瞬时变形、衰减蠕变与稳定蠕变阶段,最终蠕变速率分别为0.012%和0.018%,试验曲线如图 2(b)所示。
2 变参数蠕变方程为了更好地描述加速蠕变阶段,引入文献[16]提出的变截面阻尼器组成的非线性黏壶元件,得到改进的西原体模型(图 3)。
|
| 图 3 改进的西原体模型 Fig. 3 Modified Nishihara model |
| |
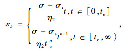
改进后的西原体模型由虎克体、开尔文体与一个非线性黏塑性体串联而成。E1控制瞬时变形的大小;E2控制黏弹性变形的极限值;η1控制由衰减蠕变过渡到稳定蠕变的快慢程度;η2控制稳定蠕变阶段的变形速率,只有当外荷载超过长期强度σs时才起作用。非线性塑性流动部分的本构模型[16]:
|
(1) |
式中,
假定加速蠕变起始时间为tc,对式(1)分别在[0, tc]和[tc, ∞]积分得:
|
(2) |
结合开尔文体的蠕变方程,依据串联法则得出改进西原体模型的一维蠕变方程如下:
当σ < σs时:
|
(3) |
式中,E1为虎克体的弹性模量;E2为开尔文体的弹性模量。
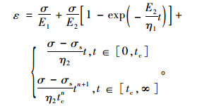
当σ≥σs时:
|
(4) |
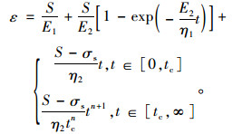
在三维应力状态下,考虑到球应力仅引起体积应变不引起形状畸变,偏应力引起形状畸变而不引起体积应变,且忽略岩石的体积变化,因此令偏应力S=σ1-σ3[16],并带入上述蠕变方程,得到轴向蠕变方程为:
当σs时:
|
(5) |
当σ≥σs时:
|
(6) |
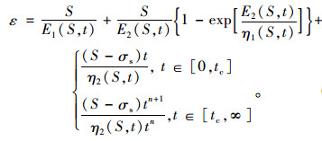
在实际工程中,岩石在复杂地质条件作用下,其物理力学参数明显随应力以及时间发展而变化,试验已证实,弹性模量、强度和黏性等参数通常都会随时间的增长而降低[15],因此将蠕变参数表示为应力与时间的函数表达式更为符合岩石材料本质属性,进而可得到变参数蠕变方程:
当σ < σs时:
|
(7) |
当σ≥σs时:
|
(8) |
当t→0时,瞬时弹性应变为ε0=S/E1,通过试验曲线的起始弹性应变值确定各级应力状态下的E1。在恒定的应力作用下,蠕变参数只与时间t有关系。
针对围压为10 MPa情况下的试验曲线,在前3级荷载作用下取t=0, 2, 5, 10, 15, 20, 25 h,在第4级荷载作用下取t=0, 1, 2, 3 h,认为在各时刻附近的30 min区间内蠕变参数没有变化。针对此区间内试验数据,运用origin软件基于最小二乘法原理,根据各应力水平,分别利用式(5)或式(6)求出各个蠕变参数的数值,围压为10 MPa时不同轴向应力状态下的蠕变参数计算结果见表 1~表 4。
| t/h | E1/GPa | E2/GPa | η1/ (GPa·h) | 微应变/με | |
| 试验值 | 计算值 | ||||
| 0 | 39.9 | — | — | 752 | 752 |
| 2 | 39.9 | 791.88 | 974.46 | 782 | 782.3 |
| 5 | 39.9 | 603.32 | 1 570.15 | 794 | 794.3 |
| 10 | 39.9 | 498.19 | 2 324.78 | 805 | 805 |
| 15 | 39.9 | 472.64 | 2 703.23 | 810.8 | 810.7 |
| 20 | 39.9 | 461.17 | 2 932.78 | 814.1 | 814.1 |
| 25 | 39.9 | 449.28 | 3 283.38 | 816.4 | 816.5 |
| t/h | E1/ GPa | E2/ GPa | η1/ (GPa·h) | η2/ (GPa·h) | 微应变/με | |
| 试验值 | 计算值 | |||||
| 0 | 35.4 | — | — | — | 1 129.9 | 1 129.9 |
| 2 | 35.4 | 1 105.6 | 1 288.9 | 78 635.7 | 1 159 | 1 159.2 |
| 5 | 35.4 | 1 019.7 | 1 672.7 | 75 045.8 | 1 170.4 | 1 170.3 |
| 10 | 35.4 | 938.2 | 2 205.1 | 71 451.2 | 1 179 | 1 179 |
| 15 | 35.4 | 780.7 | 2 827.2 | 67 121.5 | 1 182.5 | 1 182.5 |
| 20 | 35.4 | 761.1 | 3 543.3 | 64 074.0 | 1 183.8 | 1 183.8 |
| 25 | 35.4 | 760.3 | 3 799.5 | 60 684.9 | 1 184.8 | 1 184.9 |
| t/h | E1/ GPa | E2/ GPa | η1/ (GPa·h) | η2/ (GPa·h) | 微应变/με | |
| 试验值 | 计算值 | |||||
| 0 | 32.0 | — | — | — | 1 562.5 | 1 562.5 |
| 2 | 32.0 | 1 718.7 | 1 253.6 | 86 435.1 | 1 593.8 | 1 593.7 |
| 5 | 32.0 | 1 552.1 | 1 856.4 | 79 547.3 | 1 604.7 | 1 604.4 |
| 10 | 32.0 | 1 328.7 | 2 544.2 | 72 277.4 | 1 613.0 | 1 612.8 |
| 15 | 32.0 | 1 149.6 | 3 314.3 | 67 102.3 | 1 616.0 | 1 616.0 |
| 20 | 32.0 | 918.5 | 4 161.5 | 65 213.6 | 1 620.3 | 1 621.2 |
| 25 | 32.0 | 833.9 | 4 783.2 | 63 588.7 | 1 621.4 | 1 621.4 |
| t/h | E1/ GPa | E2/ GPa | η1/ (GPa·h) | η2/ (GPa·h) | 微应变/με | |
| 试验值 | 计算值 | |||||
| 0 | 29.0 | — | — | — | 2 068 | 2 068 |
| 1 | 29.0 | 188.10 | 3.18 | 865.72 | 2 418.9 | 2 418.8 |
| 2 | 29.0 | 176.31 | 8.64 | 1 502.37 | 2 444.3 | 2 444.8 |
| 3 | 29.0 | 152.28 | 12.72 | 5 347.47 | 2 526.7 | 2 526.6 |
限于篇幅围压为15 MPa时蠕变参数的计算值不再一一列出。围压为10 MPa和15 MPa时模型的计算结果与试验结果对比分别见图 4,二者均具有良好的吻合性。
|
| 图 4 试验结果与计算值对比 Fig. 4 Contrast of experimental result with calculated values |
| |
在围压为10 MPa情况下,前3级荷载作用下E2值随时间增长逐渐降低,说明试件内部损伤逐渐加剧,但在相同时刻的E2值随应力水平增加而增加,在相同荷载作用下η1随时间逐渐增加,这表明蠕变速率随时间逐渐减小,在相同时刻η1值随应力水平增加而增加。在相同荷载作用下η2值随时间逐渐减小,且相邻时刻之间的差值也越来越小表明稳定蠕变阶段的蠕变速率越来越稳定,趋近于一个稳定值,在相同时刻,η2随应力水平变化不大。在第4级荷载作用下,E2,η1,η2均远远小于前3级荷载作用下的数值,这是由于出现加速蠕变阶段,且形变对于时间与应力因素比较敏感引起的,E2随时间逐渐减小且变化不大,η1,η2随时间逐渐增加。
在围压为15 MPa情况下,砂岩试样的蠕变参数随围压增大均有不同程度的增大,各参数随应力水平及时间的变化趋势与10 MPa情况下相一致。
3.2 蠕变参数变化规律根据上面求得的蠕变参数,E2/(σ1-σ3)、η1/(σ1-σ3)与η2/(σ1-σ3)随时间的变化特点,针对围压为10 MPa、应力水平为40 MPa和60 MPa,以及围压为15 MPa、应力水平为60 MPa和80 MPa两种情况,采用origin软件对蠕变参数的变化两种情况进行拟合,计算结果分别见图 5和图 6。
|
| 图 5 σ3=10 MPa时蠕变参数拟合曲线与实验值对比 Fig. 5 Contrast of fitting curves of creep parameters with experiment values when σ3=10 MPa |
| |
|
| 图 6 σ3=15 MPa时蠕变参数拟合曲线与实验值对比 Fig. 6 Contrast of fitting curves of creep parameters with experiment values when σ3=15 MPa |
| |
由图 4和图 5得到蠕变参数E2、η1以及η2与应力及时间的关系表达式为:
|
(9) |
|
(10) |
|
(11) |
式中,a1,a2,a3,b1,b2,b3,c1,c2,c3均为试验数据拟合参数,依据本文试验得到的参数拟合结果见表 5。将E2(S, t)、η1(S, t)以及η2(S, t)代入蠕变方程式(7)与式(8)就可得到砂岩的变参数蠕变方程。
| σ3/MPa | σ1 /MPa | a1 | a2 | a3 | b1 | b2 | b3 | c1 | c2 | c3 |
| 10 | 40 | 15 213.6 | 11.9 | — | 19 013.1 | -9.6 | — | 3.75 | 4.3 | — |
| 10 | 60 | 663.6 | 12.2 | 1.23E6 | 36 021.6 | -29.4 | 6.21E6 | 30.59 | 12.3 | 9.23 |
| 15 | 60 | 25 896.7 | 11.6 | — | 21 241.8 | -10.89 | — | 14.17 | 11.96 | — |
| 15 | 80 | 20 102.2 | 11.1 | 1.28E6 | 26 617.6 | -3.71 | 4.58E5 | 10.20 | 6.53 | 23.90 |
4 结论
本文通过逐级加载砂岩三轴蠕变试验,描述了砂岩蠕变变形的特性,建立了改进的西原体模型,并在此基础上探讨了考虑应力与时间因素的蠕变参数非线性特性,得到了以下结论:
(1) 砂岩试样低应力水平下的蠕变有衰减蠕变与稳定蠕变阶段,而高应力水平作用下出现加速蠕变阶段且蠕变速率较快,蠕变破坏时的变形量小于常规作用下的极限变形量,在实际工程中应该得到重视。
(2) 基于改进的西原模型建立了砂岩试样的变参数砂岩蠕变方程,描述衰减蠕变与稳定蠕变阶段是可行的,经非线性拟合得到了蠕变参数随应力和时间变化的关系式。
(3) 控制瞬时变形的E1随应力水平的增加而减小,体现了逐级加载对岩石造成的损伤;控制黏弹性变形极限值的E2随时间逐渐降低,随应力水平的增长而增加。
(4) 控制由衰减蠕变过渡到稳定蠕变的快慢程度的η1随时间和应力水平增加而变大;在低应力水平下控制稳定蠕变阶段的变形速率的η2随时间逐渐减小,在高应力水平下η2随时间逐渐增加,但随应力水平的变化不大,蠕变参数的变化在一定程度上反映岩石结构发生劣化。
| [1] | 袁海平.诱导条件下节理岩体流变断裂理论与应用研究[D].长沙:中南大学, 2006. YUAN Hai-ping. Study on Rheologic Fracture of Jointed Rock Mass under Inducing Condition and Its Engineering Application[D]. Changsha:Central South University, 2006. http://cdmd.cnki.com.cn/article/cdmd-10533-2006173413.htm |
| [2] | 丁秀丽, 付敬, 刘建, 等. 软硬互层边坡岩体的蠕变特性研究及稳定性分析[J]. 岩石力学与工程学报 , 2005, 24 (19) : 12-20 DING Xiu-li, FU Jing, LIU Jian, et al. Study on Creep Behavior of Alternatively Distributed Soft and Hard Rock Layers and Slope Stability Analysis[J]. Chinese Journal of Rock Mechanics and Engineering , 2005, 24 (19) : 12-20 |
| [3] | 王更峰, 张永兴, 熊晓晖, 等. 深埋大变形隧道炭质板岩蠕变特性试验[J]. 公路交通科技 , 2012, 29 (9) : 95-102 WANG Geng-feng, ZHANG Yong-xing, XIONG Xiao-hui, et al. Experiment of Creep Characteristics of Carbonaceous Slate of Deep-buried Tunnel with Large Deformation[J]. Journal of Highway and Transportation Research and Development , 2012, 29 (9) : 95-102 |
| [4] | 伍国军, 陈卫忠, 贾善坡. 大型地下洞室围岩体蠕变参数位移反分析研究[J]. 岩石力学与工程学报 , 2010, 29 (S2) : 4043-4049 WU Guo-jun, CHEN Wei-zhong, JIA Shan-po. Displacement Back Analysis of Creep Parameters of Engineering Rock Mass in Large-scale Underground Chambers[J]. Chinese Journal of Rock Mechanics and Engineering , 2010, 29 (S2) : 4043-4049 |
| [5] | 任月龙, 才庆祥, 张永华, 等. 岩体蠕变对露天矿边坡稳定性的影响[J]. 金属矿山 , 2014 (5) : 1-4 REN Yue-long, CAI Qing-xiang, ZHANG Yong-hua, et al. Influence of Rock Mass Creep on Slope Stability in Surface Mine[J]. Metal Mine , 2014 (5) : 1-4 |
| [6] | 吕志涛, 张生, 邓怡虎, 等. 围岩蠕变对隧道下穿建筑物施工变形的影响[J]. 地下空间与工程学报 , 2014, 10 (6) : 1380-1386 LÜ Zhi-tao, ZHANG Sheng, DENG Yi-hu, et al. Influence of Surrounding Rock Creep on the Construction Deformation of Tunnel Undercrossing Buildings[J]. Chinese Journal of Underground Space and Engineering , 2014, 10 (6) : 1380-1386 |
| [7] | 徐卫亚, 杨圣奇, 褚卫江. 岩石非线性黏弹塑性流变模型(河海模型)及其应用[J]. 岩石力学与工程学报 , 2006, 25 (3) : 433-447 XU Wei-ya, YANG Sheng-qi, CHU Wei-jiang. Nonlinear Viscoelasto-plastic Rheological Model (Hohai Model) of Rock and Its Engineering Application[J]. Chinese Journal of Rock Mechanics and Engineering , 2006, 25 (3) : 433-447 |
| [8] | 崔希海, 付志亮. 岩石流变特性及长期强度的试验研究[J]. 岩石力学与工程学报 , 2006, 25 (5) : 1021-1024 CUI Xi-hai, FU Zhi-liang. Experimental Study on Rheology Properties and Long-term Strength of Rocks[J]. Chinese Journal of Rock Mechanics and Engineering , 2006, 25 (5) : 1021-1024 |
| [9] | 王来贵, 何峰, 刘向峰, 等. 岩石试件非线性蠕变模型及其稳定性分析[J]. 岩石力学与工程学报 , 2004, 23 (10) : 1640-1642 WANG Lai-gui, HE Feng, LIU Xiang-feng, et al. Non-linear Creep Model and Stability Analysis of Rock[J]. Chinese Journal of Rock Mechanics and Engineering , 2004, 23 (10) : 1640-1642 |
| [10] | 沈明荣, 谌洪菊. 红砂岩长期强度特性的试验研究[J]. 岩土力学 , 2011, 32 (11) : 3301-3305 SHEN Ming-rong, CHEN Hong-ju. Testing Study of Long-term Strength Characteristics of Red Sandstone[J]. Rock and Soil Mechanics , 2011, 32 (11) : 3301-3305 |
| [11] | 李亚丽, 于怀昌, 刘汉东. 三轴压缩下粉砂质泥岩蠕变本构模型研究[J]. 岩土力学 , 2012, 33 (7) 2035-2040, 2047 LI Ya-li, YU Huai-chang, LIU Han-dong. Study of Creep Constitutive Model of Silty Mudstone under Triaxial Compression[J]. Rock and Soil Mechanics , 2012, 33 (7) 2035-2040, 2047 |
| [12] | 阎岩, 王思敬, 王恩志. 基于西原模型的变参数蠕变方程[J]. 岩土力学 , 2010, 31 (10) : 3025-3035 YAN Yan, WANG Si-jing, WANG En-zhi. Creep Equation of Variable Parameters Based on Nishihara Model[J]. Rock and Soil Mechanics , 2010, 31 (10) : 3025-3035 |
| [13] | 张强勇, 杨文东, 张建国, 等. 变参数蠕变损伤本构模型及其工程应用[J]. 岩石力学与工程学报 , 2009, 28 (4) : 732-739 ZHANG Qiang-yong, YANG Wen-dong, ZHANG Jiang-guo, et al. Variable Parameters-based Creep Damage Constitutive Model and Its Engineering Application[J]. Chinese Journal of Rock Mechanics and Engineering , 2009, 28 (4) : 732-739 |
| [14] | 孔令伟, 何利军, 张先伟. 湛江黏土的蠕变模型与变参数塑性元件[J]. 岩土力学 , 2012, 33 (8) : 2241-2246 KONG Ling-wei, HE Li-jun, ZHANG Xian-wei. Creep Model of Zhanjiang Clay and Plastic Components with Variable Parameters[J]. Rock and Soil Mechanics , 2012, 33 (8) : 2241-2246 |
| [15] | 孙钧. 岩石流变力学及其工程应用研究的若干进展[J]. 岩石力学与工程学报 , 2007, 26 (6) : 1081-1106 SUN Jun. Rock Rheological Mechanics and Its Advance in Engineering Applications[J]. Chinese Journal of Rock Mechanics and Engineering , 2007, 26 (6) : 1081-1106 |
| [16] | 周长冰, 万志军, 张源, 等. 高温三轴应力下气煤蠕变特征及本构模型[J]. 煤炭学报 , 2012, 37 (12) : 2020-2025 ZHOU Chang-bing, WAN Zhi-jun, ZHANG Yuan, et al. Creep Characteristics and Constitutive Model of Gas Coal Mass Under High Temperature and Triaxial Stress[J]. Journal of China Coal Society , 2012, 37 (12) : 2020-2025 |
2016, Vol. 33
