扩展功能
文章信息
- 高启聚, 姚祖康
- GAO Qi-ju, YAO Zu-kang
- 粒料基层设计指标和控制模型研究
- Study on Design Index and Model for Controlling Permanent Deformation of Granular Base Course
- 公路交通科技, 2016, 33(5): 39-45
- Journal of Highway and Transportation Research and Denelopment, 2016, 33(5): 39-45
- 10.3969/j.issn.1002-0268.2016.05.007
-
文章历史
- 收稿日期:2015-01-04
2. 同济大学 交通运输工程学院, 上海 201804
2. School of Transportation Engineering, Tongji University, Shanghai 201804, China
车辙是沥青路面结构的主要破坏形式[1],限制路面车辙是路面结构设计普遍选取的一种损坏模式[2-3]。车辙是由沥青路面结构的永久变形引起,半刚性基层由于具有较强的承载和荷载分布能力,永久变形主要来源于沥青面层。而粒料基层沥青路面结构,永久变形除了来源于沥青面层以外,还来源于路面结构的其他层位。AASHO利用环道试验调查研究表明[4-5],粒料层和路基的永久变形可占整个路面结构永久变形的50%以上,且绝大部分是粒料层的永久变形。在行车荷载的反复作用下,永久变形会逐步积累,最终影响整个路面的使用性能。
目前国内外研究人员大多注重研究沥青面层的永久变形,对粒料基层的永久变形研究相对较少,仅有少量成果处于永久变形量预估模型研究阶段,粒料基层永久变形设计指标和控制模型研究却未涉及。因此,在已有研究成果的基础上,开展粒料基层永久变形设计指标与控制模型的研究,对于完善沥青路面结构设计指标和设计体系均具有重要的现实意义。
1 粒料的永久变形安定行为目前,粒料的永久变形试验研究均是以安定理论为基础的[6]。安定理论(Shake-down)是塑性理论的一个分支,探讨结构在重复荷载作用下不可回复响应。粒料属于典型的弹塑性材料,在车辆荷载反复作用下,永久变形累积规律同重复荷载应力水平和作用次数有关。Werkmeister等总结试验研究结果认为[7],粒料的永久变形性状可以分为3种类型,见图 1。
|
| 图 1 粒料在重复荷载作用下的性状 Fig. 1 Characteristics of graded macadam under repeated loadings |
| |
(1) 塑性安定(A区):当材料承受较小荷载时,产生小量塑性变形,随着荷载作用次数的增加,其值将稳定在一个固定值,随后结构体的变形表现为回弹变形,此时认为路面结构是安定的可以接受的;(2) 塑性蠕变(B区):当材料承受的荷载变大时,结构体产生大量塑性变形,塑性变形随荷载作用次数的增加而逐渐变大,但塑性变形率(塑性变形与荷载作用次数的比值)会保持恒定值;此时认为路面在一定的使用期内是安全的,但需要根据路面破坏准则计算路面使用年限;(3) 增量性破坏(C区):当材料承受的荷载很大时,结构体产生较大塑性变形,并且塑性变形率随荷载作用次数的增加而逐渐增加,此种状况在路面设计中是不允许出现的。上述性状表明存在一个区分粒料在重复荷载作用下趋向稳定或者破坏状况的临界应力水平,即安定极限,此极限可以应用安定理论通过理论分析或者试验研究确定。
2 粒料永久变形试验研究 2.1 试验应力加载条件计算结果表明[8],粒料基层内的典型应力水平为:σ1=100~200 kPa,σ3=0~50 kPa;主应力比σ1/σ3在1.2~7.9之间变化,主要分布在1.4~5.1之间,据此确定粒料的永久变形试验加载条件。
2.2 级配碎石组成设计试验采用石灰岩轧制碎石,规格分别为0~5 mm,5~10 mm,10~20 mm和20~30 mm。根据常用的连续型级配范围[9]和空隙率的不同,设计两种级配碎石,结果见表 1。1#级配碎石最佳含水量和最大干密度[10]分别为5.68%和2.223 g/cm3;2#级配碎石最佳含水量和最大干密度[10]分别为3.95%和2.255 g/cm3。
2.3 粒料永久变形试验试件为直径×高度=100 mm×200 mm的圆柱体,按照98%的压实度和最佳含水量控制质量[9],振动成型法成型。试验设备为UTM-100,半正弦波波形加载,每秒1次加载频率,0.1 s荷载持续时间,0.9 s荷载间歇时间,加载次数10万次,每5 s采集一个永久变形试验数据。加载围压分别为30,50 kPa和70 kPa,每种围压下不同主应力比作为应力加载路径,每一种试验工况下平行试验试件个数为3个。
| 筛孔/mm | 31.5 | 26.5 | 19 | 16 | 13.2 | 9.5 | 4.75 | 2.36 | 1.18 | 0.6 | 0.3 | 0.15 | 0.07 |
| 1#级配碎石/% | 100 | 97.0 | 87.3 | 80 | 73.8 | 65.7 | 44.4 | 26.4 | 19.3 | 13.6 | 9.6 | 7.7 | 6.4 |
| 2#级配碎石/% | 100 | 93.5 | 79.1 | 71.5 | 65.2 | 57.1 | 35.7 | 23.4 | 17.1 | 12.0 | 8.5 | 6.8 | 5.6 |
| 级配范围下限/% | 100 | 90 | 75 | 66 | 59 | 46 | 30 | 18 | 13 | 9 | 6 | 3 | 0 |
| 级配范围上限/% | 100 | 100 | 95 | 88 | 82 | 71 | 55 | 40 | 32 | 25 | 20 | 13 | 7 |
| 级配范围中值/% | 100 | 95.0 | 85.0 | 77.0 | 70.5 | 58.5 | 42.5 | 29.0 | 22.5 | 17.0 | 13.0 | 8.0 | 3.5 |
2.4 永久变形试验结果分析 2.4.1 永久变形安定极限荷载分析
由于粒料永久变形具有安定特性,在进行粒料重复荷载三轴试验之前,必须确定安定极限荷载。采用试验方法确定B区向C区过渡时的临界荷载,即对每一种围压应力对应主应力比分别选用7.0,6.5,6.0,5.5,5.0,4.5,4.0,3.5,3.0,2.5,2.0等,依次按照由大到小的应力加载路径分别进行两种级配碎石永久变形试验。如果在某一应力路径下,试件不再发生增量性破坏,则此对应应力比即为B区向C区过渡时的最大临界应力比。图 2为1#级配碎石在围压50 kPa和对应主应力比5.5时的增量性破坏试验;图 3为1#级配碎石在围压50 kPa和主应力比小于5.5时各对应应力路径下的永久变形曲线;图 4为1#级配碎石在围压50 kPa和主应力比小于5.5时各对应主应力比下的永久应变速率变化曲线。
|
| 图 2 增量性破坏试验(半对数坐标) Fig. 2 Incremental destruction test (semi-logarithmic scale) |
| |
|
| 图 3 永久变形试验曲线 Fig. 3 Permanent deformation testing curves |
| |
|
| 图 4 应变速率与荷载作用次数关系曲线(半对数坐标) Fig. 4 Curves of relation between strain rate and loading times (semi-logarithmic scale) |
| |
由图 2可知,在围压50 kPa和对应主应力比5.5时,随着荷载作用次数增加,永久变形急剧增大,在有限作用次数下4个试件全部产生增量性破坏;由图 3可知,当各对应应力路径的主应力比小于等于5.0时,永久变形曲线逐渐趋于稳定发展。综合上述分析,在围压50 kPa时所对应的主应力比5.5为B区向C区过渡时的最大临界应力比,即永久变形试验加载的最大临界应力条件。
对图 3和图 4综合分析可知,在围压50 kPa和小于最大临界应力条件下,随着荷载作用次数的增加,粒料的永久变形逐步增大;对应主应力比越大,永久变形量越大,竖向永久变形速率也越大。同时随着荷载作用次数的增加,永久应变速率均减小,但是对应主应力比越小,永久应变速率减小的速度越快,很快达到永久变形的稳定状态;反之,对应主应力比越大,永久应变速率减小的速度越慢,永久变形达到稳定的时间就越长。但是由于受加载次数10万次的限制,在试验曲线中无法区分安定状态中的A区和B区。因此,必须借助数学统计回归手段对永久变形试验曲线进行外延。
同理,1#级配碎石和2#级配碎石在其他围压和对应不同应力加载路径下的试验分析结果与上述完全相同,不再一一详述。1#级配碎石在围压分别为30,50 kPa和70 kPa 时,B区向C区过渡时对应最大临界主应力比分别为7.0,5.5和4.0。2#级配碎石在围压分别为30,50 kPa和70 kPa 时,B区向C区过渡时对应最大临界主应力比分别为7.0,5.5和4.0。
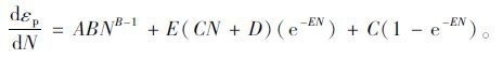
2.4.2 永久变形试验曲线的模拟回归Perez I.[11]建立了粒料处于安定状态时的永久变形预估模型,模型如下:
|
(1) |
式中,N为荷载作用次数;εp为永久应变;A,B,C,D,E为应力比和材料性质的函数,
|
利用上述模型分别拟合两种级配碎石永久变形试验结果,试验曲线数值拟合结果见表 2和表 3。
| 对应围压 应力/kPa | 主应力比 σ1/σ3 | 回归系数 | R2 | ||||
| A | B | C | D | E | |||
| 30 | 6.5 | 0.01 | -0.397 13 | 1.102 18E-8 | 0.009 67 | 4.351 4E-4 | 0.97 |
| 6.0 | 0.01 | -0.234 22 | 1.391 15E-8 | 0.006 78 | 2.084 66E-4 | 0.95 | |
| 5.5 | 0.01 | -0.613 29 | 4.005 06E-9 | 0.005 42 | 7.587 62E-4 | 0.94 | |
| 5.0 | 0.01 | -0.569 77 | 7.534 32E-9 | 0.006 08 | 5.540 99E-4 | 0.95 | |
| 4.5 | 0.01 | -0.716 33 | 4.361 17E-9 | 0.004 51 | 8.339 85E-4 | 0.93 | |
| 4.0 | 0.01 | -0.755 52 | 6.103 84E-9 | 0.003 04 | 5.729 12E-4 | 0.91 | |
| 50 | 5.0 | 0.01 | -3.033 98 | 4.665 14E-9 | 0.014 54 | 0.001 04 | 0.99 |
| 4.5 | 0.01 | -0.737 78 | 7.233 39E-9 | 0.009 67 | 8.402 27E-4 | 0.97 | |
| 4.0 | 0.01 | -0.708 95 | 5.035 56E-9 | 0.009 58 | 7.146 56E-4 | 0.98 | |
| 3.5 | 0.01 | -3.304 91 | 4.477 48E-9 | 0.008 53 | 0.001 39 | 0.93 | |
| 3.0 | 0.01 | -3.314 03 | 1.785 44E-9 | 0.002 68 | 0.001 29 | 0.93 | |
| 70 | 3.5 | 0.05 | -0.823 37 | 4.444 16E-9 | 0.006 9 | 7.283 72E-4 | 0.98 |
| 3.0 | 0.05 | -0.802 71 | 3.672 6E-9 | 0.004 06 | 7.07811E-4 | 0.96 | |
| 2.5 | 0.05 | -0.858 02 | 2.033 17E-9 | 0.003 12 | 8.966 58E-4 | 0.96 | |
| 2.0 | 0.05 | -1.120 56 | 1.692 78E-9 | 0.001 19 | 0.001 05 | 0.94 | |
| 对应围压 应力/kPa | 主应力比σ1/σ3 | 回归系数 | R2 | ||||
| A | B | E | D | E | |||
| 30 | 6.5 | 0.01 | -0.494 73 | 4.912 35E-8 | 0.003 64 | 4.581 39E-4 | 0.96 |
| 6.0 | 0.01 | -0.475 94 | 3.647 04E-8 | 0.003 17 | 4.088 53E-4 | 0.96 | |
| 5.5 | 0.01 | -0.860 92 | 2.650 63E-9 | 0.002 69 | 8.760 21E-4 | 0.97 | |
| 5.0 | 0.01 | -0.527 96 | 3.254 66E-9 | 0.002 48 | 4.417 03E-4 | 0.96 | |
| 4.5 | 0.01 | -0.658 48 | 2.615 46E-9 | 0.001 36 | 5.741 15E-4 | 0.95 | |
| 4.0 | 0.01 | -0.612 08 | 2.091 56E-9 | 0.001 18 | 3.459 03E-4 | 0.95 | |
| 50 | 5.0 | 0.01 | -0.622 57 | 2.822 33E-9 | 0.004 25 | 8.499 22E-4 | 0.98 |
| 4.5 | 0.01 | -0.860 11 | 3.370 52E-9 | 0.003 16 | 0.001 11 | 0.93 | |
| 4.0 | 0.01 | -0.887 94 | 2.493E-9 | 0.003 01 | 6.480 06E-4 | 0.99 | |
| 3.5 | 0.01 | -0.748 75 | 2.215 64E-9 | 0.001 99 | 8.384 2E-4 | 0.94 | |
| 3.0 | 0.01 | -0.546 38 | 2.008 93E-9 | 0.001 49 | 2.714 24E-4 | 0.92 | |
| 70 | 6.0 | 0.01 | -0.529 44 | 4.710 71E-9 | 0.004 15 | 8.337 21E-4 | 0.95 |
| 5.5 | 0.01 | -0.821 34 | 4.165 64E-9 | 0.003 93 | 8.474 86E-4 | 0.96 | |
| 4.5 | 0.05 | -0.913 21 | 4.113 81E-9 | 0.002 68 | 0.001 23 | 0.90 | |
| 4.0 | 0.05 | -0.893 23 | 3.671 85E-9 | 0.002 6 | 7.614 52E-4 | 0.95 | |
| 3.5 | 0.01 | -0.443 84 | 3.714 39E-9 | 0.002 33 | 4.714 61E-4 | 0.92 | |
| 3.0 | 0.05 | -1.028 1 | 2.139 51E-9 | 0.002 08 | 8.252 94E-4 | 0.96 | |
曲线拟合相关性较高,相关系数均在0.90以上,因此利用试验曲线拟合模型对永久变形结果外延在理论上是可行的。
3 永久变形设计指标与控制模型的建立 3.1 塑性安定状态判定原则Werkmeister S.根据粒料重复加载三轴试验研究认为[7],当重复加载三轴试验得到的后期压实之后的永久轴向应变速率不大于1×10-8时,粒料的永久变形便达到了A-B区域的边界。在A区域内,回弹应变基本保持不变,粒料的永久变形处于稳定状态;当永久轴向应变速率等于8×10-8时,便达到了B-C区域的边界(永久蠕变限界)。因此,可把永久轴向应变速率不大于1×10-8作为粒料永久变形处于塑性安定状态的判断准则,从而可以确定每一种围压下A区向B区过渡的临界应力水平,并在A区内建立粒料永久变形的控制模型。
3.2 永久变形塑性安定状态分析对式(1)求导数,得到如下公式:
|
(2) |
根据导数的物理意义,式(2)即为粒料永久应变瞬时速率的计算公式。把表 2和表 3的回归系数分别代入到式(2)中,可以得到不同应力加载路径下的永久应变瞬时速率,然后与A区向B区过渡的永久轴向应变速率临界值1×10-8进行比较,从而得出处于A区和B区边界时的临界应力水平。图 5示出了1#级配碎石在围压30 kPa和对应不同主应力加载路径下的应变速率与应变速率界限值1×10-8的比较结果。
|
| 图 5 永久应变速率与应变速率界限值的比较 Fig. 5 Comparison of permanent strain rates with strain rate threshold values |
| |
由图 5看出,在围压30 kPa和加载主应力比分别为6.5和6.0时,1#级配碎石的永久应变速率均已超过了1×10-8,即粒料的永久变形已经由A区(塑性安定状态)发展到了B区(塑性蠕变状态),此种状况不符合在A区内建立粒料基层永久变形控制模型的原则,予以舍弃;当主应力比小于6.0时,各种加载路径下的永久应变速率即使在荷载作用次数达到4 000万次的时候,仍然小于1×10-8,粒料的永久变形始终处于A区(塑性安定状态)内,由此判断A区向B区过渡时的临界主应力比为6.0。因此,只有当主应力比小于等于5.5时,粒料的永久变形才处于塑性安定状态,即A区内。
同理,可以分析和判断1#级配碎石和2#级配碎石分别在其他围压应力和对应加载路径下由A区向B区过渡时的临界主应力比。1#级配碎石在围压为50 kPa和70 kPa时,由A区向B区过渡的对应最大临界主应力比分别为5.0和3.5;2#级配碎石在围压分别为30,50 kPa和70 kPa时,由A区向B区过渡的对应最大临界主应力比分别为5.5,5.0和6.0。
3.3 永久变形临界值的确定利用分层应变总和法和美国力学经验设计法粒料层永久变形预估模型[12],通过与我国设计标准轴载的换算,计算了162种典型沥青路面结构的粒料基层永久变形[8]。计算结果表明,在108种典型高等级公路路面结构中,粒料基层的永久变形普遍位于2~3 mm之间,永久变形量较小。在54种典型低等级公路路面结构中,粒料基层的永久变形普遍位于4~6 mm之间,约占路面结构总永久变形量的59%,永久变形量相对较大,粒料层永久变形大小随沥青层厚度变化而变化。
根据上述分析综合考虑,选择上限6 mm作为粒料层永久变形的允许临界标准。由于试验所用试件的标准高度为200 mm,根据选取的6 mm永久变形允许临界值,可以得到在重复荷载作用下粒料永久变形处于塑性安定状态时的允许临界应变值为0.03。
3.4 永久变形设计指标和控制模型的建立根据永久变形试验曲线拟合结果,可以计算与允许临界应变值0.03相对应的最大荷载作用次数,结果分别见表 4和表 5。
| 主应力比 | 5.5 | 5.0 | 4.5 | 4.0 | 3.5 | 3.0 | 2.5 | 2.0 | 对应围压应力/kPa |
| 偏应力与围压应力比/(×106) | 4.5 | 4.0 | 3.5 | 3.0 | 2.5 | 2.0 | 1.5 | 1.0 | |
| 临界荷载作 用次数 | 2.362 6 | 7.149 4 | 5.844 8 | 10.118 | — | — | — | — | 30 |
| 临界荷载作用次数 | — | 3.314 | 2.812 | 4.055 4 | 4.795 | 15.302 | — | — | 50 |
| 临界荷载作用次数 | — | — | — | — | 5.197 8 | 7.063 | 13.220 6 | 17.02 | 70 |
| 主应力比 | 6.0 | 5.5 | 5.0 | 4.5 | 4.0 | 3.5 | 3.0 | 对应围压应力/kPa |
| 偏应力与围压应力比/(×106) | 5.0 | 4.5 | 4.0 | 3.5 | 3.0 | 2.5 | 2.0 | |
| 临界荷载作用次数 | — | 8.455 | 10.303 3 | 10.95 | 13.779 | — | — | 30 |
| 临界荷载作用次数 | — | — | 9.123 6 | 7.963 2 | 10.826 5 | 12.642 | 14.191 | 50 |
| 临界荷载作用次数 | 5.487 | 6.258 4 | — | 6.641 | 7.462 1 | 7.447 | 13.049 9 | 70 |
根据表 4和表 5的计算结果,利用幂指数函数形式对偏应力和围压应力比与允许临界荷载作用次数进行统计回归,分别建立两种级配碎石在不同围压应力下,偏应力和围压应力比与荷载作用次数的回归公式,如表 6所示。
| 对应围压 应力/kPa | 1#级配碎石 | 2#级配碎石 |
| 30 | σd/σ3=152.25N-0.239 | σd/σ3=4×106N-0.851 7 |
| (R2=0.722 4) | (R2=0.962 7) | |
| 50 | σd/σ3=815.49N-0.365 8 | σd/σ3=1×108N-1.071 5 |
| (R2=0.800 7) | (R2=0.843 6) | |
| 70 | σd/σ3=128 610N-0.700 7 | σd/ σ3=5×107N-1.039 8 |
| (R2=0.942) | (R2=0.802 5) |
幂指数函数形式可变换成如下形式:
|
(3) |
式中,σd为粒料层顶面压应力;σ3为围压应力。
其中系数A和B可以分别与围压应力σ3按照二次多项式形式建立如下回归关系式。
1#级配碎石:
|
(4) |
2#级配碎石:
|
(5) |
上述公式即为在路面结构设计中控制粒料基层永久变形的模型公式。式(4)中的系数适用于4.75 mm以上所有筛孔合成级配通过率均大于级配范围中值时的粒料基层永久变形量控制;而式(5)中的系数则适用于4.75 mm以上所有筛孔合成级配通过率均小于级配范围中值时的粒料基层永久变形量控制。
4 结论(1) 应力水平和荷载作用次数是决定粒料永久变形大小的关键因素,粒料的永久变形具有安定行为。
(2) 安定极限荷载的大小决定了粒料永久变形呈现塑性安定、塑性蠕变和增量性破坏等3种不同的状态,可以通过试验研究确定安定极限荷载的大小。
(3) 粒料永久变形的不同安定状态和路面结构设计之间存在着对应关系。
(4) 基于安定理论和粒料的永久变形安定状态试验研究,初步提出了控制粒料基层永久变形的应力比设计指标,建立了应力比与荷载作用次数的控制模型。
| [1] | 沙庆林. 高速公路沥青路面早期破坏现象及预防. 北京:人民交通出版社[M]. 2008 . SHA Qing-lin. Premature Damage and Its Preventative Measures of Bituminous Pavement on Expressway. Beijing:China Communications Press[M]. 2008 . |
| [2] | 林绣贤. 柔性路面结构设计方法. 北京:人民交通出版社[M]. 1988 . LIN Xiu-xian. Design Methods of Flexible Pavement Structures. Beijing:China Communications Press[M]. 1988 . |
| [3] | 沈金安. 国外沥青路面设计方法总汇. 北京:人民交通出版社[M]. 2004 . SHEN Jin-an. Summary of Foreign Design Methods of Asphalt Pavements. Beijing:China Communications Press[M]. 2004 . |
| [4] | AASHO. The AASHO Road Test,Special Report 61F[R].Washington,D.C.:Highway Research Board,1962. |
| [5] | VESIC A S,DOMASCHUK L. Theoretical Analysis of Structural Behavior of Road Test Flexible Pavements,NCHRP Report10[R].Washington,D.C.:Highway Research Board,1964. |
| [6] | 魏密, 杨群, 郭忠印. 安定理论在柔性路面设计中的应用[J]. 公路交通技术,2007, (1) :5–9. WEI Mi, YANG Qun, GUO Zhong-yin. Application of Shakedown Theory in Flexible Pavement Design[J]. Technology of Highway and Transport, 2007, (1) : 5–9 . |
| [7] | WERKMEISTER S, DAWSON A R, WELLNER F. Permanent Deformation Behavior of Granular Materials[J]. Road Materials and Pavement Design, 2005, 6 (1) : 31–51 . |
| [8] | 高启聚.土基与粒料层永久变形设计指标和控制模型研究,SDJTKYS2011-2 [R].济南:山东省交通科学研究所,2011. GAO Qi-ju. Research on Design Indexes and Models for Controlling Permanent Deformation of Subgrade and Unbound Aggregate Layer,SDJTKYS2011-2 [R].Jinan:Shandong Provincial Traffic Science Institute,2011. |
| [9] | JTGD50-2006,公路沥青路面设计规范[S]. JTGD50-2006,Specifications for Design of Highway Asphalt Pavement[S]. |
| [10] | JTGE40-2007,公路土工试验规程[S]. JTGE40-2007,Test Methods of Soils for Highway Engineering [S]. |
| [11] | PEREZ I, MEDINA L, ROMANA M G. Permanent Deformation Model for A Granular Material Used in Road Pavements[J]. Construction and Building Materials, 2006, 20 (9) : 790–800 . |
| [12] | AASHTO. A Manual of Practice of Mechanistic-Empirical Pavement Design Guide. Washington,D.C.:Highway Research Board[M]. 2008 . |
2016, Vol. 33
