扩展功能
文章信息
- 钟铭
- ZHONG Ming
- 钢筋混凝土剪弯构件的低周疲劳累积损伤性能研究
- Study of Accumulated Damage Characteristics of RC Shear-bending Member under Low Cyclic Fatigue Loading
- 公路交通科技, 2016, Vol. 31 (4): 80-87
- Journal of Highway and Transportation Research and Denelopment, 2016, Vol. 31 (4): 80-87
- 10.3969/j.issn.1002-0268.2016.04.013
-
文章历史
- 收稿日期: 2015-05-04
2. 地下工程建设预报、预警北京市重点实验室, 北京 100037
2. Beijing Key Laboratory of Underground Construction Forecosting and Warning, Beijing 100037, China
为了对桥梁结构的损伤程度进行定量分析,需要明确结构的损伤破坏机理。研究表明,地震作用下桥墩损伤累积,导致其刚度不断退化和耗能能力逐渐下降,进而形成塑性铰是钢筋混凝土桥墩损伤破坏的主要原因[1, 2]。目前国内外学者针对钢筋混凝土结构构件建立的地震损伤模型通常采用强度、位移及能量耗散等宏观物理参数来表达,现有的损伤模型在应用上都有不足之处。以延性指标和刚度退化为代表的变形损伤模型[3, 4, 5]不能体现低周疲劳的影响;而变形累积模型[6, 7, 8]虽然考虑了多次循环的影响,但所确定的损伤指标只能反映构件的变形损伤程度,不能表明构件的抗力损伤量。Park[9]等提出了最大位移和累积耗能线性组合的Park-Ang损伤模型,在一定程度上反映了结构破坏是由于较大位移幅值与低周疲劳累积损伤联合造成的这一地震损伤机理,因此在地震工程界得到了普遍的认可,但它并不能反映构件低周疲劳累积幅值对损伤的影响;而且根据试验数据拟合的线性组合系数离散性大,计算精度无法保证。此后,王东升、牛荻涛、付国等[10, 11, 12]提出了基于变形和累积耗能的非线性组合的双参数损伤模型。由于构件的塑性累积损伤与滞回耗能并不具有完全的对应关系,此类模型的关键在于对引起构件损伤的有效耗能进行准确定义和计算,但实际很难将其从滞回耗能中区分出来。Riyadh等[13]提出了综合考虑强度、刚度和位移的损伤模型,此模型的关键是需要分析累积损伤后构件的承载能力和变形能力,而关于这方面的研究尚不足。
此外,以上地震损伤评估模型多数只适用于压弯构件的评估。为支持上述损伤模型,国内外已经进行了大量钢筋混凝土压弯构件的低周疲劳试验研究[14, 15, 16],并且通过概率统计给出了桥墩的性能量化指标[17],但对钢筋混凝土剪弯构件的研究相对较少。而且,现有的地震损伤评估模型得到的构件损伤指标,反映的是构件的损伤程度,不能全面反映反复荷载作用下损伤结构的性能,与震后结构性能联系更弱,所以很有必要研究既考虑构件低周疲劳而导致的塑性累积损伤,又与震后结构性能相联系的损伤性能评估方法,这就要求确定的损伤指标能够反映低周疲劳损伤对构件抗力、刚度衰减和极限变形的综合影响。因此,本研究在作者相关试验的基础上,以低周循环下构件的割线刚度损伤为参数,讨论钢筋混凝土剪弯构件,考虑低周疲劳损伤的变形性能计算方法,分析低周疲劳效应对剪弯构件变形性能的降低影响,建立起刚度和抗力衰减的计算公式,并讨论构件极限变形的折减计算方法。
1 剪弯构件的低周疲劳变形性能衰减规律作者在相关试验研究中,以剪跨比、轴压比和纵筋配筋率等为参数,制作了编号No.3~No.12的10个钢筋混凝土试验柱,试验柱的参数和试验方法详见文献[18],其中No.6~No.11试验柱的剪跨比为2.25,为剪弯构件,其破坏模式为弯矩控制的剪弯混合破坏;其他4个钢筋混凝土试验柱为压弯构件,剪跨比为4.75。为了使试验拟合公式更具有一般性,选择美国某地震工程研究中心(PEER)数据库中剪跨比为2-4的16个构件,包括Ang et al.(1981)的 2个正方形构件,Soesianawati et al. (1986)的 4个正方形构件,Tanaka和Park (1990)的 3个正方形构件,以及Ang et al.(1985)的 4个圆形构件,Hamilton(2002)的3个圆形构件,与作者的试验一起共同分析剪弯构件的低周疲劳变形性能衰减规律。
1.1 基于残余变形的割线刚度损伤分析根据作者的试验可以明确看出,剪切变形在剪弯构件的弹性变形阶段就有较大影响,而且钢筋混凝土柱并不是理想的弹塑性构件,所以在剪弯构件低周疲劳变形损伤分析时,以每次循环的最大位移为基础。
假如已知第i次循环最大位移幅值为Δi,则按塑性力学理论,可将Δi分解为两部分,即
随着循环位移的增大,残余变形逐渐增大;在相同位移时,循环次数越多,残余变形越大。残余变形的增大可以反映构件进入塑性循环阶段的程度和循环次数的影响。试验中发现构件在有限次相同位移循环时,残余变形增大很小,因此对作者的10个钢筋混凝土试验柱的残余变形与最大位移进行如图 1所示的非线性回归分析得:
|
| 图 1 试验柱残余变形的数据拟合曲线 Fig. 1 Fitting curve of residual deformation of test column |
对剪跨比为2.25的No.6~No.11试验柱的残余变形与最大位移进行数据拟合,如图 2所示。
|
| 图 2 剪弯构件残余变形的数据拟合曲线 Fig. 2 Fitting curve of residual deformation of shear-bending member |
将式(3)与式(2)以及文献[14]中压弯构件残余变形与最大位移的试验统计公式相比较,按式(3) 计算得到的残余变形偏小。这说明由于剪切变形的影响,剪弯构件比压弯构件在相同位移循环下的残余变形小,延性差。
为了使剪弯构件试验拟合公式更具有一般性,将PEER数据库中剪跨比为2-4的16个构件与作者的7个剪弯构件一起进行如图 3所示的非线性回归分析得:
|
| 图 3 剪弯构件残余变形与循环最大位移的回归曲线 Fig. 3 Curve of regressive relationship between residual deformation and maximum displacement in each cycle of shear-bending members |
钢筋混凝土剪弯构件的刚度可用割线刚度来表示,割线刚度Ki按式(5)计算:
取开裂前钢筋混凝土柱荷载-位移曲线的割线为初始割线刚度K0,以每次循环最大位移的割线作为该循环的割线刚度,则割线刚度损伤可表示为:
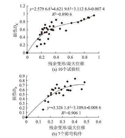
对作者的7个剪弯构件和PEER数据库中的16个剪弯构件进行如图 4所示的残余变形与割线刚度损伤的统计分析,得:
|
| 图 4 剪弯构件残余变形与割线刚度损伤的回归曲线 Fig. 4 Curve of regressive relationship between secant rigidity damage and residual deformation of shear-bending members |
相关系数为0.896。残余变形Δpi的单位为mm,割线刚度损伤DKi为0-1之间的标量,当按式(7)计算的DKi>1时,可取DKi=1。
1.2 低周疲劳作用下剪弯构件割线刚度、抗力的计算
由式(6)和式(7)可得到剪弯构件在低周疲劳作用下的塑性阶段割线刚度、抗力衰减规律:
根据钢筋混凝土柱的残余变形可求得其割线刚度,由式(4)的残余变形与最大位移的关系,进而得出塑性阶段钢筋混凝土柱的抗力,在实际震后钢筋混凝土柱评估应用中将非常方便、快速。上述公式中割线刚度的计算最为关键,为了验证本文计算方法的准确性,从Peer数据库中选择剪跨比分别为2的No.8和No.11试件,剪跨比为3的No.7试件,剪跨比为4的No.3试件进行计算对比,如图 5所示。
|
| 图 5 本文割线刚度计算结果与试验的比较 Fig. 5 Comparison of secant rigidity between calculated and test results |
图 5(a)、(b)中,No.8和No.11试件的箍筋配筋率分别为1.02%和0.51%,其他参数相同。箍筋配筋率适中的No.8试件计算结果与试验值接近,箍筋配筋率小的No.11试件计算结果偏大,No.11试件为明显的剪切脆性破坏构件,残余变形小,割线刚度下降迅速。图 5(a)、(c)和图 5(d)主要反映了剪跨比的影响,随剪跨比增大,计算结果与试验值的差值基本呈增大的趋势。由于本文采用的是残余变形与割线刚度统计分析的方法,计算结果与试验值有一定偏差,但计算结果基本反映了低周疲劳作用下剪弯构件割线刚度的退化规律,与试验值比较接近,可以满足结构工程评估的需要。
2 残余变形的影响参数分析第1节分析中,根据构件残余变形与循环最大位移的统计关系,以及残余变形表示的割线刚度累积损伤,得到了低周疲劳塑性阶段剪弯构件的刚度、抗力衰减规律,但在统计过程中没有考虑轴压比、剪跨比、纵筋配筋率和箍筋配筋率等参数的影响。因此该规律其实是残余变形的统计平均发展规律,如No.6~No.9试验柱在5 mm位移循环后按式(4)得出的残余变形数值相同,均为2.069。因此,应分析除循环最大位移外其他参数对残余变形的影响。
令ti为残余变形与循环最大位移的比值,即相对残余变形值:
显然ti为小于1的标量,可以表征构件进入塑性阶段的程度。对本文中的23个剪弯构件进行刚度损伤与ti的数据拟合,如图 6所示,可以看出割线刚度损伤与ti的数据较离散,相关性差;随ti的增大,割线刚度损伤数据总体呈锥尖形状发展,ti的数据大部分在0.6以下。
|
| 图 6 割线刚度损伤与残余变形和最大位移比值的数据拟合 Fig. 6 Fitting curve of relationship between secant rigidity damage and ratio of residual deformation to maximum displacement |
但是在固定特定参数值的条件下,割线刚度损伤与ti有明显的相关性。在作者的试验中,割线刚度损伤与ti的数据拟合如图 7所示。
|
| 图 7 试验柱割线刚度损伤与ti回归曲线的比较 Fig. 7 Comparison of regression curves between secant rigidity damage and ti of test column |
图 7(a)中的试验柱配箍率均为0.28%,试验统计式如下:
图 7(b)所示7个剪弯构件的剪跨比均为2.25,配箍率为0.28%,DKi按二次抛物线的趋势发展,残余变形与循环最大位移的比ti<0.6,回归分析得:
(1) No.4柱和No.12柱为高度950 mm的钢筋混凝土柱,纵筋配筋率相同为1.356%,No.4柱实际轴压为180 kN,No.12柱实际轴压为240 kN。两柱的残余变形随循环位移的增大而逐渐增大,如图 8所示。由于钢筋混凝土柱不是理想的弹塑性构件,两柱在纵筋屈服(9 mm)前就有明显的残余变形,在纵筋屈服时两柱的ti分别达到了0.75和0.54,相应的残余变形分别为6.75 mm和4.86 mm;在屈服后阶段的位移循环中,两柱的ti增大减缓,但残余变形数值增大很快,No.12柱的ti增大快于No.4柱,在36 mm位移循环后,ti分别为0.93和0.85,相应的残余变形分别为33.5 mm和30.6 mm。
|
| 图 8 No.4、No.12柱ti的比较 Fig. 8 Comparison of ti values between column No.4 and column No.12 |
(2) No.6柱、No.7柱为高度450 mm钢筋混凝土柱,纵筋配筋率为1.356%,No.6柱实际轴压为0 kN,No.7柱实际轴压为180 kN。ti随循环位移的变化趋势如图 9所示,两柱ti的增大趋势比较接近。在纵筋屈服时两柱的ti分别为0.27和0.25;在屈服后阶段,经过5 mm位移循环后,两柱的ti差别仍不大,分别为0.48和0.46。
|
| 图 9 No.6、No.7柱ti的比较 Fig. 9 Comparison of ti values between column No.6 and column No.7 |
可以看出,钢筋混凝土构件的残余变形随循环位移的增大而逐渐增大。轴压比对压弯构件的残余变形影响较小,对剪弯构件的残余变形影响很小。
2.2 纵筋配筋率和强度的影响(1) No.8柱、No.9柱同为高度450 mm的钢筋混凝土柱,轴压相同为180 kN,纵筋配筋率分别为2.545%和1.356%,材料分别采用了III级钢和II级钢。ti随循环位移的变化趋势如图 10所示。可以看出,纵筋配筋率和强度小的柱在相同位移循环时的ti大。在屈服位移循环时,两柱ti分别为0.20和0.31;此后,残余变形继续增大,二者的差值变小,经过5 mm位移循环后,ti分别为0.33和0.37。
|
| 图 10 No.8、No.9柱ti的比较 Fig. 10 Comparison of ti values between column No.8 and column No.9 |
(2) No.10柱、No.11柱为无轴压的450 mm钢筋混凝土柱,纵筋配筋率分别为1.356%和2.545%。ti的变化如图 11所示,同样为纵筋配筋率小的柱在相同位移循环时的ti大。在屈服位移时的ti分别为0.27和0.21;经过5 mm位移循环后,ti分别为0.40和0.24。与No.8柱、No.9柱相比较,这两个柱的轴压为0,ti之间的差值略大。
|
| 图 11 No.10、No.11柱ti的比较 Fig. 11 Comparison of ti values between column No.10 and column No.11 |
由以上的分析可知,纵筋配筋率和强度对构件的残余变形影响较小,纵筋配筋率和强度越小,残余变形会有少量增加。
2.3 剪跨比的影响No.4柱、No.9柱分别为高950 mm和450 mm的钢筋混凝土柱,轴压同为180 kN,剪跨比分别为4.75,2.25。两柱在纵筋屈服时的ti分别为0.75和0.31;No.4柱在两倍屈服位移(18 mm)循环后的ti为0.93,No.9柱在尚未达到2倍屈服位移(5 mm)循环后的ti为0.37。因此,剪跨比对构件残余变形的影响显著,剪跨比越大,残余变形增加越多。
2.4 箍筋配筋率的影响No.8和No.11试件的箍筋配筋率分别为1.02%和0.51%,其他参数相同,No.8试件的残余变形明显大于No.11试件的残余变形。因此,箍筋配筋率对剪弯构件的残余变形的影响显著,箍筋配筋率越大,残余变形越大。
综合考虑各参数对残余变形比ti的影响,进行相关分析和多元线性回归,其中箍筋配筋率和轴压比与ti的相关性差,回归结果如式(13)所示。
钢筋混凝土柱在塑性位移低周循环中,随循环次数增大,钢筋混凝土柱的残余变形逐渐增大,相应的纵筋应变和混凝土压应变均有所增加,混凝土截面减小,这也是造成构件抗力和刚度下降的主要原因。在没有发生剪切破坏的条件下,钢筋混凝土柱极限位移静力分析时,一般采用纵筋应变或混凝土极限压应变控制,即变形(应变)控制极限状态。作者在试验中,发现剪跨比为4.75的压弯构件在Δy,2Δy循环过程中残余变形有较小增加,割线刚度几乎不变,纵筋的塑性应变增大极小,相应位移峰值处的强度值下降较小,则循环对极限变形影响很小;而在4Δy循环过程中残余变形和纵筋的塑性应变逐渐增大,受压区混凝土的应变也相应增大,位移峰值处的强度值下降,低周循环损伤对柱极限变形能力将产生影响。剪跨比为2.25的剪弯构件在超过Δy后的循环过程中,即发生残余变形和纵筋的塑性应变逐渐增大,位移峰值处的强度值下降,极限变形减小的现象。这说明钢筋混凝土柱压弯构件在高塑性应变水平下的损伤累积对极限变形有降低影响,而剪弯构件在较低塑性应变水平下的损伤累积就对极限变形产生影响。
3.2 考虑低周疲劳损伤的剪弯构件极限变形折减计算方法在截面尺寸、配筋率、轴压比等参数一定的情况下,钢筋混凝土柱静力分析得到的极限变形Δf是一个定值,构件的塑性阶段也是一定的。在相同位移低周疲劳循环时,构件的塑性变形(或残余变形)增大,弹性阶段变形减小,构件纵筋和混凝土的应变增大,因此极限变形将减小。
低周疲劳损伤主要发生于构件的塑性阶段,假设钢筋混凝土柱进入塑性阶段后,低周循环的最大位移为Δi,相应的割线刚度与抗力分别为Ki,Fi,则有以下关系:
在相同位移时,静力作用下的割线刚度与抗力分别为Ksi,Fsi,同样有以下关系:
低周疲劳损伤造成了构件刚度和抗力下降,相同位移时静力条件下的抗力和刚度应大于低周疲劳作用下的抗力和刚度,即Fsi>Fi,Ksi>Ki,或者说,低周疲劳构件在相同水平力作用下的变形大于静力作用下的变形。由于本文采用割线刚度描述刚度的衰减,这里采用一种近似平均的方法考虑低周疲劳构件因刚度降低造成的变形增大。
假设当Fi=(Fsi+Fi)/2时,此时的低周疲劳损伤刚度仍为Ki,相应的变形为:
则Δ′i>Δi,增大的变形为:
因此,低周疲劳损伤对极限变形的折减系数可按式(18)计算:
钢筋混凝土柱在相同位移循环时,其抵抗变形能力的减小可用式(19)表示:
在不同位移水平低周疲劳作用下,割线刚度的降低用对应的损伤可表述为:
低周循环作用在弹性阶段影响极小,可以忽略不计。现在对剪弯构件极限变形的试验研究很少,根据作者No.6~No.11试验柱低周疲劳塑性阶段的割线刚度减少值,对计算得到的Dpi与ti进行如图 12所示的回归分析,得到如下关系:
|
| 图 12 剪弯构件Dpi与ti回归分析曲线 Fig. 12 Regressive curve of relationship between Dpi and ti of shear-bending members |
因此,剪弯构件在不同位移水平低周疲劳作用下,与静力加载相比的割线刚度减小值为:
No.6~No.8试验柱的实测极限变形分别为54.3,13.8 mm和20.5 mm,计算的极限变形分别为45.2,15.6 mm和18.4 mm,计算结果有一定的离散性,但尚在合理范围之内。
4 结论在相关试验的基础上,以低周循环下构件的割线刚度损伤为依据,讨论了钢筋混凝土剪弯构件的低周疲劳累积损伤性能和计算方法,主要结论如下:
(1)统计分析了构件残余变形与割线刚度损伤的关系,建立了剪弯构件的低周疲劳割线刚度累积损伤计算公式,得到了割线刚度和抗力衰减规律。
(2) 构件的残余变形随循环位移的增大而增大。轴压比对压弯构件的残余变形影响较小,对剪弯构件的残余变形影响很小;纵筋配筋率和强度对构件的残余变形影响较小,纵筋配筋率和强度越小,残余变形会有少量增加;剪跨比对构件残余变形的影响显著,剪跨比越大,残余变形增大越多;箍筋配筋率对剪弯构件的残余变形的影响明显,箍筋配筋率越大,残余变形越大。
(3)讨论了低周疲劳效应对剪弯构件极限变形的影响,提出了低周循环对剪弯构件极限变形影响的折减系数计算公式。
以上研究成果,明确将反复荷载作用下钢筋混凝土剪弯构件的累积损伤与刚度、抗力的衰减和极限变形联系起来,可为震后钢筋混凝土柱性能分析奠定一定基础。
| [1] | 艾庆华, 王东升, 李宏男, 等. 基于塑性铰模型的钢筋混凝土桥墩地震损伤评价[J]. 工程力学, 2009, 26(4):158-166. AI Qing-hua, WANG Dong-sheng, LI Hong-nan, et al. Seismic Damage Evaluation of RC Bridge Columns Based on Plastic Hinge Model[J]. Engineering Mechanics, 2009, 26(4):158-166. |
| [2] | HINDI R A, SEXMITH R G. Inelastic Damage Analysis of Reinforced Concrete Bridge Columns Based on Degraded Monotonic Energy[J]. |
| [3] | BANON H, BIGGS J M, IRVINE H M. Seismic Damage in Reinforced Concrete Frames[J]. Journal of Structure Engineering, 2015, 107(9): 1713-1729. |
| [4] | ROUFAIEL M S L, MEYER C. Analytical Modeling of Hysteretic Behavior of R/C Frames[J]. |
| [5] | TOUSSI S, YAO J T P. Hysteresis Identification of Existing Structures[J]. |
| [6] | STEPHENS J E, YAO J T P. Damage Assessment using Response Measurement[J]. |
| [7] | WANG M L, SHAH S P. Reinforced Concrete Hysteresis Model Based on the Damage Concept[J]. |
| [8] | CHUNG Y S, MEYER C, SHINOZUKA M. Seismic Damage Assessment of Reinforced Concrete Members,NCEER-87-0022[R]. Buffalo, NY: National Center for Earthquake Engineering Research, 1987. |
| [9] | PARK Y J, ANG A H. Mechanistic Seismic Damage Model for Reinforced Concrete[J]. |
| [10] | 王东升, 冯启民, 王国新.考虑低周疲劳寿命的改进Park-Ang地震损伤模型[J]. 土木工程学报,2004, 37(11):41-49. WANG Dong-sheng, FENG Qi-min, WANG Guo-xin. A Modified Park-Ang Seismic Damage Model Considering Low-cycle Fatigue Life[J]. China Civil Engineering Journal, 2004, 37(11): 41-49. |
| [11] | 牛荻涛, 任利杰. 改进的钢筋混凝土结构双参数地震破坏模型[J]. 地震工程与工程振动, 1996,16(4): 44-54. NIU Di-tao, REN Li-jie. A Modified Seismic Damage Model with Double Variables for Reinforced Concrete Structures[J]. Earthquake Engineering and Engineering Vibration, 1996, 16(4): 44-54. |
| [12] | 付国, 刘伯权, 邢国华. 基于有效耗能的改进Park-Ang双参数损伤模型及其计算研究[J]. 工程力学, 2013, 30(7):84-90. FU Guo, LIU Bo-quan, XING Guo-hua. The Research and Calculation on Modified Park-Ang Double Parameter Seismic Damage Model Based on Energy Dissipation[J]. Engineering Mechanics, 2013, 30(7): 84-90. |
| [13] | HINDI R A, SEXSMITH R G. A Proposed Damage Model for RC Bridge Columns Under Cyclic Loading[J]. |
| [14] | 李洪泉, 雷立宏, 吕西林. 钢筋混凝土压弯构件低周疲劳损伤的抗力衰减试验研究[J]. 南京建筑工程学院学报, 1998, 46(3): 12-18. LI Hong-quan, LEI Li-hong, LV Xi-lin. Experimental Study on the Resistance Degradation of R.C Compression Flexure Member by Low Cyclic Loading[J]. Journal of Nanjing Architectural and Civil Engineering Institute, 1998, 46(3): 12-18. |
| [15] | EL-BAHY A, KUNNATH S K, STONE W C. Cumulative Seismic Damage of Circular Bridge Column: Benchmark and Low-cycle Fatigue Tests[J]. ACI Structural Journal, 1999, 96(4): 633-641. |
| [16] | EI-BAHY A, KUNNATH S K, STONE W, et al. Cumulative Seismic Damage of Circular Bridge Columns: Variable Amplitude Tests[J]. ACI Structural Journal, 1999, 96(5): 711-719. |
| [17] | 陆本燕, 刘伯权, 刘鸣, 等. 钢筋混凝土桥墩性能指标量化研究[J]. 中国公路学报, 2010, 23(6): 49-57. LU Ben-yan, LIU Bo-quan, LIU Ming, et al. Quantitative Research on Reinforced Concrete Performance Index of Reinforced Concrete Bridge Column[J]. China Journal of Highway and Transport, 2010, 23(6): 49-57. |
| [18] | 韩冰,钟铭,王元丰. 钢筋混凝土柱低周疲劳损伤后的静力性能试验[J]. 中国公路学报, 2011, 24(2): 62-69. HAN Bing, ZHONG Ming, WANG Yuan-feng. Experiment on Static Characteristic of Reinforced Concrete Column After Low-cyclic Fatigue Damage[J]. China Journal of Highway and Transport, 2011, 24(2): 62-69. |
2016, Vol. 31
