扩展功能
文章信息
- 李赏, 韩文博, 姚亚军, 韩念琛
- LI Shang, HAN Wen-bo, YAO Ya-jun, HAN Nian-chen
- 基于电阻网法的路面融雪化冰系统数值模拟
- Numerical Simulation of Road Deicing System Based on Resistor Network
- 公路交通科技, 2016, Vol. 31 (1): 49-56
- Journal of Highway and Transportation Research and Denelopment, 2016, Vol. 31 (1): 49-56
- 10.3969/j.issn.1002-0268.2016.01.008
-
文章历史
- 收稿日期: 2015-03-24
2. 广东工业大学 自动化学院, 广东 广州 510006
2. School of Automation, Guangdong University of Technology, Guangzhou Guangdong 510006, China
在寒冷的冬季,路面积雪结冰给道路畅通及行车安全带来了严重的不良影响。冰雪使路面附着系数大大降低,使汽车打滑、制动距离延长,甚至刹车失灵,从而造成一系列的交通事故。因此,为了及时和有效地清除道路冰雪,最大限度地降低冰雪对社会生活和经济发展造成的危害,对融雪除冰技术进行研究是十分必要的[1, 2]。
目前,冬季除路面冰雪(不考虑冻土区[3, 4])的方法主要包括撒融雪剂 、人工清除法、机械清除法和热融法等[5]。撒融雪剂法被普遍应用,价格便宜、化冰雪效果好,但是化学融雪方法需要后期清理,环境污染严重,往往造成严重的水资源和土壤污染。此外,对钢筋、路面、行运工具腐蚀严重,需要巨额费用修复道路和桥梁,经济损失巨大。2004年,美国弗吉尼亚交通研究机构发布报告指出美国每年用于冬季路面冰雪清除与控制的直接费用高达15亿美元,间接带来的经济损失高达50亿美元,其中主要包括路面和交通装备腐蚀、水质污染和后期环境问题[6, 7]。人工法冰雪清除较彻底,但效率低,费用高,仅适用于雪量较小时或重点难点路段的冰雪清除。机械法适合于大面积机械化清除作业,但往往需在雪后完成,作业中有碍交通;路面结冰后,彻底清除困难。
近年来,迫于各种考虑,国际上许多国家开展新型道路热融雪技术研究和示范应用[8]。热融法采用加热的方式使冰雪融化,主要有电缆加热、导电混凝土或沥青、循环热流体加热等方法[9]。发热电缆法需先铺设钢筋网,再将发热电缆固定在钢筋网上,且需要保证发热电缆的绝缘完整才能保证加热有效性和用电安全,安装复杂,不宜大规模机械铺装路面。导电沥青混凝土法的混凝土电阻率不易控制,而且金属网电极的铺设对平整度要求较高,加热功率受导电沥青混凝土的密实度和老化程度影响。以上两种方法投资较小,但消耗电能大,施工难度大,总体成本较高。循环热流体可实现1∶4以上的能源转化效率,但是集热蓄能融雪化冰的过程是一个复杂多变的传热传质时变过程,涉及道桥和地下设施,试验研究周期长,投资大,传热设施一经装备,难以改造和调整。对比以上各方法,我们提出电阻网法,电阻网法虽然消耗电能较大(小于导电沥青混凝土法),但一次性投入不高,没有环境压力,施工简单,发热均匀且发热功率稳定,综合成本低,目前性价比最高。
本文以沥青混凝土中的电阻网结构为研究对象,在通过传热学理论建立其工作过程数学模型的基础上,运用数值模拟的方法对其效果进行了研究,并与试验结果作了对比。
1 电阻网工作过程数学模型图 1和图 2为沥青混凝土中的电阻网局部结构示意图。以模拟的土基层、二灰碎石层、沥青混凝土层(自底向上依次排列)和电阻丝组成的结构作为一个热力学系统,系统边界由各个壁面组成。
![]() |
| 图 1 电阻网结构示意图 Fig. 1 Schematic diagram of resistance network |
![]() |
| 图 2 电阻丝局部放大图 Fig. 2 Partial enlarged resistance wire |
路面结构持续经受着各种环境因素的综合作用,这种作用的结果集中体现为路面温度场的复杂分布[10]。为简化计算过程,对模型的结构特性以及材料特性作以下假定:(1)对用于道路的电阻丝融雪化冰系统,系统由通电加热开始至达到稳定过程中,温度场是随时间不断变化的,所以该传热过程是一个三维非稳态导热过程。由于电阻丝长度与其间距相比很大,温度场在沿电阻丝方向上变化很小,能忽略该方向的传热,故可利用二维导热过程来求解该传热单元的温度分布。(2)认为各层材料接触紧密,接触热阻忽略不计。(3)认为各层材料均质恒物性。
本研究中,使用SOLID70三维热单元来模拟沥青混凝土、二灰碎石和土基层。SOLID69作为三维热-电单元,可以模拟电阻丝的特性。
根据以上假设,理想电阻丝融雪化冰系统简化为图 3的计算模型。
![]() |
| 图 3 电阻网简化系统 Fig. 3 Simplified resistance network system |
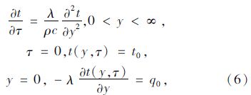
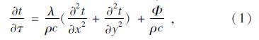
依据文献[12],模型内部导热微分方程式为式(1):
另外,初始温度均匀:
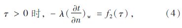
本模型道路表面适用导热问题第三类边界条件:
上述各式中,n为换热表面的外法线方向;hz为综合换热系数;tw为换热表面温度;tf为周围流体的温度。
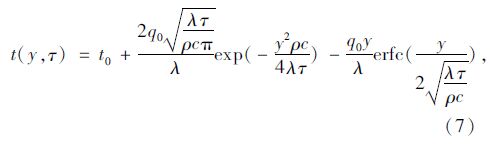
导热微分方程式连同初始条件及边界条件一起,完整地描述了该模型的非稳态导热问题。简化后模型的特点是从y=0的界面可以向正向延伸,而在每一个与y坐标垂直的截面上物体的温度都相等。从电阻丝铺设位置及以上部分进行分析,在τ=0时刻,y=0的平面突然受到热扰动,受到恒定的热流密度q0加热(第二类),上述条件下物体中温度的控制方程和定解条件为:
从而温度场的分析解为:
为余误差函数,其值可由文献[11]中的附录15误差函数选摘中选取;a=λ/ρc为热扩散系数。
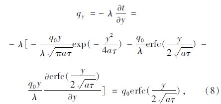
从初始时刻到某一指定时刻τ之间,通过任意截面y处的热流密度:
模型内的导热量可表示为:
模拟时,道路表面的边界条件为对流换热和辐射换热,下雪时还应有雪融化吸收的潜热。不难分析出,综合换热系数hz与空气流速、温差、接触面的物性参数(导热系数、比热容、密度)、接触面状况等均有关,并随环境、时间的变化而变化,所以在工程应用中,将综合换热系数作为常数处理,取经验值进行计算。对比以往用发热电缆融雪化冰的模拟过程,其具体方法是将铺装功率值转化为热通率载荷,并施加到简化后的模型——发热电缆表面上,发热电缆体积忽略,本文考虑电阻丝外在特征,提出使用电阻丝体生热率载荷来表示铺装功率这一创新设想,并实际验证了这种计算方法所得结果更为精确。在表面温度20 ℃,风力2级的条件下,按表 1附上道路结构层各层材料相应的属性值,分别计算不同功率下电阻丝的生热率[12]HG=P/V,式中P为模型实际铺设功率;V为电阻丝体积。然后设置边界条件,模拟计算结果如图 4~图 6所示,ANSYS模拟结果中温度单位为开尔文。
| 物性 | 材料 | |||
| 土基 | 二灰碎石 | 沥青混凝土 | 电阻丝 | |
| 密度/(kg·m-3) | 2 000 | 2 077 | 2 100 | 7 820 |
| 比热容/[(kJ·(kg·K)-1] | 1.010 | 0.82 | 1.680 | 0.460 5 |
| 导热系数/[W·(m2·K)-1] | 1.16 | 0.95 | 1.05 | 15.2 |
![]() |
| 图 4 温度场(200 W/m2)(单位:K) Fig. 4 Temperature field(200 W/m2)(unit:K) |
![]() |
| 图 5 温度场(250 W/m2)(单位:K) Fig. 5 Temperature field(250 W/m2)(unit:K) |
![]() |
| 图 6 温度场(300 W/m2)(单位:K) Fig. 6 Temperature field(300 W/m2)(unit:K) |
观察模拟结果可知,不同的铺装功率条件下加热一定时间所形成的温度分布相同,只是加热效果,即得到的最终温度不同。采集图 4~图 6中电阻丝正上方对应的表面节点在不同的铺装功率200,250,300 W/m2下温度随时间的变化规律,整理数据如图 7所示。
![]() |
| 图 7 采用不同铺装功率对表面节点模拟温度模拟值的 影响对比(中间电阻丝正上方) Fig. 7 Analog comparison of influence of different paving powers on surface node temperature (just above middle of resistance wire) |
为了更直观地观察模型径向温度分布,可在分析结果的基础上设置路径,得到XY平面内,x=0时y方向上节点温度分布如图 8所示,x=0 m处为模型下底面,x=0.04 m处为模型上表面。埋设电阻丝处及以上位置为模拟研究对象,电阻丝埋设处取得最大温度,沿y轴正向,温度逐渐降低。
![]() |
| 图 8 径向模拟温度分布(250 W/m2) Fig. 8 Analog radial temperature distribution(250 W/m2) |
以上分析是以此次试验模型为基准进行的,如果运用于实际路面的均匀满铺设,稳定的温度场分布如图 9所示,图示说明上文为简化模型计算所作的假设都是成立的。
![]() |
| 图 9 均匀温度场(250 W/m2)(单位:K) Fig. 9 Uniform Temperature field(250 W/m2)(unit:K) |
3 试验验证 3.1 试验设计
烘箱中将一定比例配制的沥青混凝土板软化,倒于箱体内铺设均匀并捣实平整。沥青底层铺好之后,按照一定的铺装功率铺装电阻丝,铺装过程中保证电阻丝均匀平滑置于沥青底层面上,完成后将其固定。如图,最后铺设沥青面层之前,分析模型内适合的A,B,C,D 4个测点埋设pt100热电阻,进行系统内温度场的测定[13]。试验模型完成之后,将其按照调压器-电流表-电阻丝-调压器顺次用导线连接,完成试验装置。
通过计算得到不同的铺装功率下对应的电阻丝的电压值,通电调节调压器的电压值大小,进行实时测量,使用万用表分别有规律地记录4个热电阻阻值的变化,通过查表计算系统内各点的温度值,同时表面温度由测温仪测得。
3.2 结果和讨论依据国外文献[14]推荐的铺装功率 250~400 W/m2,在试验中分别采用200,250,300 W/m2,严格按照道路施工工艺制作了0.12 m2的模型试件,对一定气象条件下的表面升温和结构层内的温度进行了测试。
首先分别使用上述3种不同的铺装功率进行加热,并比较其加热效果的差异。通过观察3种铺装功率下温度达到平衡的时间,比较其加热效率。试验过程中,电流表选择合适的量程,调压器始终保持所需电压值。试验前需记录下未加热时模型表面及测点的温度。
分别设定试验条件为3种铺装功率下对应的电压值,结果如图 11所示。
本研究的试验装置如图 10所示。
![]() |
| 图 10 试验装置连线图及热电阻测点局部放大图 Fig. 10 Experimental device connection and partial enlarged thermal resistance measuring points |
![]() |
| 图 11 采用不同铺装功率对测点温度的影响(200,250,300 W/m2) Fig. 11 Influence of different paving powers on temperature of measuring points(200,250,300 W/m2) |
同时,图 12显示出表面温度同内部测点温度变化趋势一致,同时对比图 7,可知表面上同一点温度变化趋势的模拟结果与试验结果一致。
![]() |
| 图 12 采用不同铺装功率对表面某点温度试验值的影响对比(中间电阻丝正上方) Fig. 12 Comparison of influence of different paving powers on experimental temperature of a surface point (just above middle of resistance wire) |
比较图 13与图 14,电阻丝及以上位置温度变化规律相同,电阻丝位置温度最高,依次往上,越接近道路表面,温度越低。
![]() |
| 图 13 径向试验温度分布(250 W/m2) Fig. 13 Experimental radial temperature distribution(250 W/m2) |
![]() |
| 图 14 同一时刻表面不同位置的加热效果图 (200,250 W/m2) Fig. 14 Heating effects at different surface positions at same time(200,250 W/m2) |
综合对比以上数据可知,铺装功率越大,加热效果越好;随着加热时间的延长,模型热系统可达到热平衡。实际铺设中,根据所需达到的融雪化冰效果选择相应的铺装功率即可。
3.2.2 模型表面不同坐标测点的温度变化图图 14为同一时刻表面不同位置的加热效果图,共10组数据,从中可以看出,铺设电阻丝位置的正上方表面几个测点的温度大致相同,旁边位置的温度稍低。由此可作设想,如果电阻网按照本研究的设计间距均匀铺设在无限大平面,则其正上方相应的表面各处温度相同,与图 9模拟结果吻合。
4 对比论证综合对比数值模拟与试验过程,可发现:
(1)道路结构模型模拟计算中除路面上表面进行换热外,其余壁面均为绝热;试验模型各壁面并不能实现完全绝热。
(2)模型模拟计算直接将恒定生热率附加在平行排列电阻丝上;试验模型仍需考虑电阻丝拐角连接处的散热并及时调整变化的调压器电压值。
(3)模型模拟计算的环境较为稳定和理想,而试验模型则处于湿度、风速等不断变化的复杂的综合环境因素影响下。
(4)数学模型几何形状规则,各平面平整;实际铺设沥青混凝土制作模型过程中,很难完全保证路面各层的平整度。
鉴于上述各因素,试验结果与模拟结果在数值上有一定的合理偏差,经多组数据反复计算可得:实测温升值为模拟分析温升值的30%~50%。根据文献[15]所述,上海汽车制造总厂工业电阻炉电阻丝的热利用效率只能达到30%左右,可证此次试验较为成功。若在实际道路工程中对施工要求精益求精,会得到更高的热效率。同时两者温度分布规律一致,可验证试验结果与数值模拟结果吻合较好。
本次试验由于条件有限,所以秉承简便、有效的原则设计试验过程,试验大多是人工操作,且试验进程各表示数随时变化,这些不稳定因素都导致试验误差的产生。减小试验误差的方法有:使用精确度高的测量仪器;多次测量求平均值;采用误差修正。针对本试验逐条考虑:(1)利用QJ36型单双臂应用直流电桥来测量热电阻阻值,进而获得测点温度,但是更换热电阻过程不能实现实时测量试验数据;(2)多次测量推导平均规律,更具有科学性,本试验适合多组模型多次对比试验,结论会更加清晰;(3)试验模型各温度层对应的坐标不能得到,所以很难进行精确的误差修正,仍需进一步学习探讨。综上,目前宜采用不断改善试验模型并进行全方位多对比的重复性试验来减少试验误差。
5 结论地面结冰是一个非常复杂的过程。由于温度、湿度、风向、风速等气象因素的不同,结冰的严重程度、结冰类型不尽相同[16]。现阶段普遍利用热能将路面冰雪融化,使融化后的冰水流出路面或利用专门的收集装置将融化的冰雪收集起来[17]。本研究采用有限元分析并实践电阻网通电产热,初步得到以下结论:
(1)电阻网融雪化冰系统在不同的铺装功率下均能实现很好的加热效果,对比温升规律,250 W/m2的铺装功率性价比最高,且比发热电缆不同铺装功率下可达加热效果[14]要好很多,加热10 h可基本达到热平衡,加热时间越长,换热量和可行性均越高;
(2)利用ANSYS对此过程进行数值模拟,结果准确,为以后不同的工程设计及实践提供了一种新的理论研究方法;
(3)实际工程应用中综合换热系数的选取,电阻网的排列位置,电阻网的间距设计,不同的道路结构层材料以及不同环境、不同铺装功率下的融雪化冰量,仍需进一步进行数值计算及试验研究。
| [1] | 傅沛兴. 北京道路冬季融雪问题研究[J].市政技术,2001,29(4):54-59. FU Pei-xing. Research on Deicing and Melting Snow on Road Surface in Beijing[J]. Municipal Engineering Technology,2001,29(4):54-59. |
| [2] | 刘红英,郝培文.道路除冰雪技术及其发展趋势[J].筑路机械与施工机械化,2008,25(11):17-21. LIU Hong-ying,HAO Pei-wen. Technology and Development Trend of Pavement Deicing[J]. Road Machinery & Construction Mechanization,2008,25(11):17-21. |
| [3] | 汪海年,侯仲杰,杨玉杰,等.多年冻土路基对流换热试验方法[J].公路交通科技,2009,26(3):43-48. WANG Hai-nian,HOU Zhong-jie,YANG Yu-jie,et al. Testing Method of Convective Heat Transfer for Permafrost Embankments[J]. Journal of Highway and Transportation Research and Development,2009,26(3):43-48. |
| [4] | 王大鹏,傅智,易洪,等.多年冻土区水泥混凝土路面下冻土路基温度场数值分析[J].公路交通科技,2009,26(1):45-50,56. WANG Da-peng,FU Zhi,YI Hong,et al. Numerical Simulation of Thermal Field of Roadbed under Cement Concrete Pavement in Permafrost Region[J]. Journal of Highway and Transportation Research and Development,2009, 26(1):45-50, 56. |
| [5] | 齐晓杰.道路与公路冰雪清除技术发展现状与探讨[J].林业机械与木工设备,2004,32(6):7-11. QI Xiao-jie. Current Development and Discussion of Snow and Ice Clearing Technology on Roads and Highways[J]. Forestry Machinery & Wood Working Equipment,2004,32(6):7-11. |
| [6] | 代琳琳,赵晓明.融雪剂的环境污染与控制对策[J].安全与环境工程,2004,11(4):29-31,39. DAI Lin-lin,ZHAO Xiao-ming. The Pollution of De-icing Agent and Control Measures[J]. Safety and Environmental Engineering,2004,11(4):29-31,39. |
| [7] | FLINTSCH G W. Assessment of the Performance of Several Roadway Mixes under Rain,Snow and winter Maintenance Activities, Final Contract Report VTRC 04-CRl8[R]. Virginia: Virginia Polytechnic Institute & State University,2004. |
| [8] | 高青,于鸣,刘小兵.基于蓄能的道路热融雪化冰技术及其分析[J].公路,2007,5(5):170-174. GAO Qing,YU Ming,LIU Xiao-bing. Technique and Analysis of Snow-Ice Melting System on Road by Thermal Energy Storage[J].Highway,2007,5(5):170-174. |
| [9] | TUMIDAJSKI P J,XIE P,ARNOTT M,et al. Overlay Current in a Conductive Concrete Snow Melting System[J]. |
| [10] | 秦健,孙立军.沥青路面温度场的分布规律[J].公路交通科技,2006,23(8):18-21. QIN Jian,SUN Li-jun. Study on Asphalt Pavement Temperature Field Distribution Pattern[J]. Journal of Highway and Transportation Research and Development,2006,23(8):18-21. |
| [11] | 杨世铭,陶文铨.传热学[M]. 4版.北京:高等教育出版社,2006:113-120. YANG Shi-ming,TAO Wen-quan. Heat Transfer[M]. 4th ed. Beijing:Higher Education Press,2006:113-120. |
| [12] | 张洪才,何波.有限元分析:ANSYS13.0从入门到实战[M].1版.北京:机械工业出版社,2011:353-357. ZHANG Hong-cai,HE Bo. Finite Element Analysis:ANSYS13.0 From Entry to Combat[M]. 1st ed. Beijing:China Machine Press,2011:353-357. |
| [13] | 武海琴.发热电缆用于路面融雪化冰的技术研究[D]. 北京:北京工业大学,2005. WU Hai-qin. Research on Heating Cables for Road Deicing[D]. Beijing:Beijing University of Technology,2005. |
| [14] | RAMSEY J W,HEWETT M J,et al. Updated Design Guidelines for Snow-melting Systems[J]. Ashrae Transactions,1999,105(2):1055-1065. |
| [15] | 李永恒.工业电阻炉的技术改造与节能探讨[J].上海节能,1994(4):10-13. LI Yong-heng. Technological Innovation and Energy Exploration of Industrial Resistance Furnace[J]. Shanghai Energy Conservation,1994(4):10-13. |
| [16] | OZOGUZ S,TARIM N,ZEKI A. Realization of High-Q Band Pass Filters Using CCCIIs[C]// Proceedings of the 44th IEEE 2001 Midwest Symposium on Circuits and Systems. Dayton, OH: IEEE, 2001:134-137. |
| [17] | 邓洪超,马文星,荆宝德.道路冰雪清除技术及发展趋势[J].工程机械,2005(12):41-44. DENG Hong-chao,MA Wen-xing,JING Bao-de. Technology of Removing Snow and Ice on Roads and Its Developing Trend[J].Construction Machinery and Equipment,2005(12):41-44. |
2016, Vol. 31














