扩展功能
文章信息
- 周万枝, 谢新连
- ZHOU Wan-zhi, XIE Xin-lian
- 基于证据推理的城市公交服务能力评价研究
- Research of Urban Public Transport Service Capability Evaluation Based on Evidence Reasoning
- 公路交通科技, 2015, Vol. 31 (12): 140-144,150
- Journal of Highway and Transportation Research and Denelopment, 2015, Vol. 31 (12): 140-144,150
- 10.3969/j.issn.1002-0268.2015.12.023
-
文章历史
- 收稿日期: 2015-10-20
日益突出的城市交通拥堵问题,影响着广大民众的出行,也困扰着城市的管理者,为缓解城市交通压力,交通运输主管部门提出,要实施公交优先发展战略,深入推进“公交都市”创建,着力解决公交发展滞后、服务不优、换乘不便等问题。发展城市公交,提升服务能力,是广大民众的渴求,也是政府的责任。通过对城市公交服务的评估来促进城市公交发展,提升公交服务能力,就显得尤为迫切和重要。国内外学者在城市公交服务评估方面已经开展了一些研究,他们分别从城市公交的服务质量[1, 2, 3, 4, 5]、城市公交服务水平[6]及城市公交的公众满意度[7, 8, 9, 10]方面进行了评估,综合分析城市公交便利、安全、迅速、经济、舒适、高效等方面的因素,提出了服务质量的评价指标体系,制定了服务水平的评估标准,构建了服务满意度指数测评模型。在评价方法上则采用模糊综合评价法[11, 12]、层次分析法[13]及证据推理法[14]等对城市公交服务进行了评价。通过对上述文献的研究,本文探索对城市公交服务能力的评价,从城市公交服务要素入手,分析城市公交服务能力评价指标,构建城市公交服务能力评价模型。在评价方法上,考虑到能力评价大多是主观评价,评价判定有许多不确定性,因此采用证据推理方法对城市公交服务能力进行评价。本文将通过实证的方法,利用构建的城市公交服务能力评价模型,并用证据推理方法对城市公交服务能力进行实证评价分析;并通过实证,对评价指标选取的合理性、评价模型的可靠性、评价方法的科学性方面进行验证,为今后城市公交服务的评估及公交规划提供一定的参考,促进城市公交的快速发展。
1 证据推理(ER)评价方法 1.1 ER方法概述ER方法是一种广义化的贝叶斯推理方法,是将假设命题视作一个集合,引入信任函数、似信度函数、类概率函数等概念描述命题的精确信任程度、信任程度和估计信任程度,对命题的不确定性做多角度的描述,有处理信息的无知和缺失问题的能力。对从不同性质的数据源中提取的证据,用先验概率分派函数获得后验的证据区间,用证据区间量化命题的可信程度和似然率。用合成规则在同一个识别框架中将几个基于不同证据的信任函数合成一个新的信任函数。通过证据推理,可以简明地将一些难以量化的指标量化,在综合评判过程中融入数据的稳定因子和专家的置信度因子,从而减少数据量化的困难,将问题简化。
1.2 ER方法思路要对一个不确定问题进行评价,首先利用模糊规则对指标体系中的所有下层指标进行直接评价;其次在不失去所有价值信息的前提下,利用证据推理算法对下层指标的评价进行变换处理,实现对下层指标的上一层指标进行间接评价;然后利用效用理论,以效用函数值给出最终的评价结果。
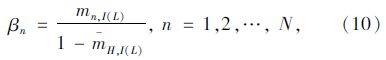
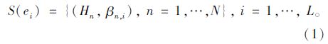
在一个评价指标体系E中,假设有一个底层指标ei,用Bi={βn,i,n=1,…,N}来表示对ei评价的置信度集合,用Hn(n=1,…,N)表示对ei的评价等级。
设S(ei)代表对指标ei的评价,那么S(E)={(Hn,βn),n=1,…,N}代表对指标E评价为等级Hn且置信度为βn,n=1,…,N。则有:
设ωi为指标ei对其上层指标E评价的权重,且0≤ωi≤1,
ωi=1,
令:
式中,mn,i为一个基本概率分配,它代表第i 个底层指标ei支持其上层指标E被评价为Hn等级的程度;mH,i为对其上层的所有N个等级评价都考虑完后,没有支持评价为任何一个等级的概率。
mH,i可分为H,i和m=H,i两部分,可分别表示为:
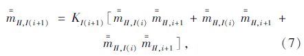
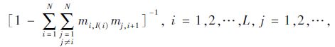
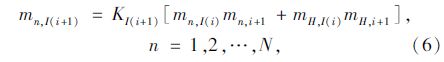
为了获得所有底层指标的组合置信度,首先定义前i个指标的子集EI(i)={e1,e2,…,ei}。
mn,I(i)是一个概率密度,它定义为EI(i)中所有i个指标支持E被评价为Hn等级的程度;mH,I(i)代表在EI(i)中所有指标被评价完后,没有被评价为任何等级的那些剩余概率密度。当i=1时,有mn,I(1)=mn,1,当n=1,2,…,N时,有mH,I(1)=mH,1。
式中,KI(i+1)是一个规范化因子,

L。
然后,根据式(8)和式(9),利用迭代计算公式从i=1到i=L-1迭代计算出系数mn,I(L),H,I(L),H,I(L)。 最后,可以通过式(10)、式(11)计算,将对所有底层指标ei的评价变换为对其上层指标E组合置信度的评价。
式中,βH表示没有支持任何一个等级的置信度。 如果问题中的所有准则都是定性的,并且具有相同的评价等级集合H,那么上述算法可直接用来累加子准则对其父准则的评价信息。
在实践中,有时子准则与其父准则完全有可能具有不同的评价等级,常见子指标用数量描述(即定量准则),上层指标为定性指标。
对于一个子准则来说,如果它的评价等级不同于其父准则,那么它的等级数就必须转化成与其父准则相同的评价等级数。假设一个子准则ei有Ni个等级Hi={Hl,i,l=1,…,Ni},S(ei)={(Hl,i,γl,i),l=1,…,Ni}, 且Hi中的一个等级Hl,i以αn,l的置信度属于H中的一个等级Hn。因此有:
式中,γl,i为准则ei被评价为等级Hl,i的置信度;αn,l为Hl,i 等级置信度的权重,由专家或研究者主观确定,0≤αn,l≤1且
αn,l=1。
根据式(13),可将S(ei)={(Hl,i,γl,i),l=1,…,Ni}等价变换为S(ei)={(Hn,βn,i),n=1,…,N}。 对于一个定量评价指标来说,它的数量值评价可用下面的方式转化为与其上层指标有相同等级数的等级评价。
设hN,i是评价的最高可能值,h1,i是最低可能值。对于每一个等级Hn(n=1,…,N),假设一个定量指标的评价值hn,i与其对应(或等价),那么,关于ei的任一评价值h可以用式(14)、式(15)来变换成一个带置信度的等级集合:
这里,当hn,i≤h≤hn+1,i时,有:
对于其余等级的置信度则均为0,即:
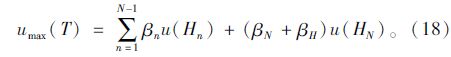
式中,k为等级数,k=1,…,N,且k≠n,n+1。 理论上在对顶层指标T的评价通过S(T)= {(Hn,βn),n=1,…,N}得以确定之后,就能确定一系列备选方案的排列顺序。但是实践证明这个过程的实现有时是非常困难的,这是因为当评价集合里有多于一个βn不等于0时,就不能通过直观的观察(Hn,βn)来比较备选方案。在研究中,构造一个效用函数u(x)作为评价排序的辅助措施,用来将每个备选方案的N个评价等级合计为一个值。
u(Hn)定义为等级Hn的效用函数,并且如果Hn+1优先于Hn,则有u(Hn+1)>u(Hn)。 如果βH=0,那么可通过u(T)=
βnu(Hn)计算备选方案T的顶层指标效用函数值。如果βH≠1,那么则有一个置信区间[βn,(βn+βH)], 它代表T被评价为Hn的可能性区间。因此,从偏于安全的角度考虑,对备选方案T的评价定义一个效用函数区间[umin(T),umax(T)], 有:
利用基于u(T)的单一数量评价值就可以对评价目标进行排序了。
2 城市公交服务能力评价模型 2.1 评价指标选取一般来说,城市公交服务要素包括公交服务条件、公交服务过程和公交服务政策3个要素,要为乘客提供安全、快速、舒适、便利、可靠、反应迅速、有社会责任的公交服务。城市公交服务能力是指城市公交提供的服务所能达到的程度,包括公交设施提供的条件服务能力、运营生产中的过程服务能力和运营政策所能提供的政策服务能力。
(1)公交服务条件
服务条件是服务能力形成的前提和基础。公交服务条件评价就是评价公交设施组成部分的状况和隐含要素的服务能力是否满足用户和社会需求。一般来说,公交服务主体设施包括城市道路、车辆及相关设施。
(2)公交服务过程
公交服务过程是公交服务的核心和保障。公交服务活动评价就是公交系统为用户提供的运管活动和用户行车状况满足用户需求和社会需求的程度。
(3)公交服务政策
公交服务政策是公交服务的重要组成部分。公交服务政策评价就是评价公交运营系统的外部政策和内部管理制度、标准规范等,它属于一种隐性的能力。
在这3个能力要素中,可以作为乘客认可度的指标很多,本文先采用专家调查法,从条件服务、过程服务及政策服务3个方面提出30项基于乘客认可度的评价指标。其中,在条件服务方面有15项指标;在过程服务方面有10项指标;在政策服务方面有5项指标。
通过运用因子分析法,对30项公交服务能力认可度指标进行了4次因子分析,最终提取了3个共同因子,共计11项评价指标,就构成了城市公交服务能力评价模型,如图 1所示。模型由3层指标构成,顶层为城市公交服务能力指标;中层为条件服务、过程服务、政策服务指标;底层则由上述12项指标构成。
|
| 图 1 公交服务能力评价模型 Fig. 1 Public transport service capability evaluation model |
对城市公交服务能力评价指标体系各指标的权重采用层次分析法确定。
服务要素评价指标有3项,即条件服务能力、过程服务能力和政策服务能力,这样则建立如表 1所示的判断矩阵。
| 条件服务能力 | 过程服务能力 | 政策服务能力 | |
| 条件服务能力 | 1 | 1/2 | 2 |
| 过程服务能力 | 2 | 1 | 3 |
| 政策服务能力 | 1/2 | 1/3 | 1 |
采用和法计算得到要素层次的指标权重分别为条件0.3、过程0.5、政策0.2,即w=(0.3,0.5,0.2)。其他层次评价指标权重也照此方法得出,请专家对11项关键指标进行相应的打分,然后采用层次分析法得到各指标的权重,指标权重如表 2所示。
对某省会城市(记为C1)公交服务能力进行乘客认可度调查,问卷中涉及上述11项指标,调查对象为各类乘客,指标评价判定定为三级,即强、一般、弱,则{H1,H2,H3}={1,2,3}, 乘客则需要对某个指标根据认可程度判定为1,2或3即可。
3.1 数据统计对城市C1的访谈调查问卷进行统计,运用公式βHi=M(Hi)/M(其中M(Hi)为对某指标评价等级为Hi的乘客数,M为总乘客数)计算可得底层各评价指标各等级的认可度,如表 3所示。
| 中层指标 | 底层指标 | 底层指标各等级认可度 |
| 条件 服务能力 | 车辆内部设施 | (H1,0.812)(H2,0.125)(H3,0.063) |
| 无障碍空间 | (H1,0.835)(H2,0.125)(H3,0.040) | |
| 乘车信息 | (H1,0.752)(H2,0.124)(H3,0.124) | |
| 设施整齐清洁 | (H1,0.880)(H2,0.120)(H3,0.000) | |
| 过程服务能力 | 行车事故率 | (H1,0.700)(H2,0.212)(H3,0.088) |
| 乘客投诉响应 | (H1,0.885)(H2,0.100)(H3,0.015) | |
| 上下车方便 | (H1,0.900)(H2,0.100)(H3,0.000) | |
| 车内秩序 | (H1,0.800)(H2,0.200)(H3,0.000) | |
| 车辆行驶正点率 | (H1,0.950)(H2,0.050)(H3,0.000) | |
| 环境服务能力 | 服务标准 | (H1,0.800)(H2,0.120)(H3,0.080) |
| 充值卡折扣 | (H1,0.870)(H2,0.100)(H3,0.030) |
在智能决策软件(Intelligence Decision System,IDS)中分别输入权重赋值、各指标乘客认可度和各评价等级的效用值。
(1)权重赋值输入
在权重赋值对话框中分别输入底层各指标权重值和中层指标权重值。
(2)认可度输入
通过问卷调查统计的认可度,是对每个评价指标评价等级的判定程度,在对话框中对应输入。
(3)效用值输入
假设乘客认可度对3个评价等级的效用值分别为u(H1)=1,u(H2)=0.5,u(H3)=0, 在效用值对话框中输入即可。
3.3 评价结果输出运行IDS软件,利用式(11)可求得各层指标的置信度βn,再利用式
u(T)=
βnu(Hn)即可求出各层指标的评价值。输出评价结果包括图、表和分析报告等多种形式。由于篇幅有限,仅输出总评价结果及各个要素评价结果。
城市C1的公交服务能力评价结果如表 4所示。
| 顶层指标评价值 | 中层指标认可度评价值 | 底层指标认可度评价值 | ||
| 0.862 3 | 条件 服务能力 | 0.803 0 | 车辆内部设施 | 0.791 9 |
| 无障碍空间 | 0.738 3 | |||
| 乘车信息 | 0.818 4 | |||
| 设施整齐清洁 | 0.845 5 | |||
| 过程服务 能力 | 0.852 9 | 行车事故率 | 0.766 0 | |
| 乘客投诉响应 | 0.858 0 | |||
| 上下车方便 | 0.870 0 | |||
| 车内秩序 | 0.885 0 | |||
| 车辆行驶正点率 | 0.864 0 | |||
| 政策服务 能力 | 0.864 1 | 服务标准 | 0.870 0 | |
| 充值卡折扣 | 0.870 0 | |||
从评价的总体结果来看,基本符合专家对实际情况的分析和对结果的预估,城市C1公交服务能力评价指标值为0.862 3,说明乘客认为城市C1的公交服务能力是处在较强的位置的。从中层评价指标来看,城市C1的城市公交条件服务能力评价值为0.803 0,说明需要进一步加强公交服务设施建设。就单个评价指标来看,城市C1需要在提供公交乘坐方便性、设施完善性方面下功夫。本文由于篇幅所限,只对一个城市公交服务能力进行了评价,但本文构建的城市公交服务能力评价模型在对评价指标进行调整后,也可以对多个城市的公交服务能力进行评价比较,或对一个城市不同公交服务提供者的服务能力进行评价比较。
| [1] | 杨晓光,安健,刘好德,等.公交运行服务质量评价指标体系探讨[J].交通运输系统工程与信息,2010,10(4):13-21. YANG Xiao-guang, AN Jian, LIU Hao-de, et al. Evaluation Architecture Discussion of Route-level Transit Service Quality[J]. Journal of Transportation Systems Engineering and Information Technology, 2010, 10(4):13-21. |
| [2] | 武慧荣,崔淑华,张海松.基于乘客感知的城市公交服务质量评价研究[J].重庆交通大学学报:自然科学版, 2012,31(5):26-29. WU Hui-rong, CUI Shu-hua,ZHANG Hai-song. Study on Evaluation of Urban Transit Service Quality Based on Passengers' Perceptions[J]. Journal of Chongqing Jiaotong University:Natural Science Edition, 2012,31(5):26-29. |
| [3] | 张栋,杨晓光,安健,等.基于乘客感知的常规公交服务质量评价方法[J].城市交通, 2012, 10(4):72-78. ZHANG Dong, YANG Xiao-guang, AN Jian, et al. Evaluation of Urban Public Transportation Service Quality Based on Passengers' Perception[J]. Urban Transport of China, 2012, 10(4):72-78. |
| [4] | 王小波.基于乘客感知的包头公交服务质量研究[D].包头:内蒙古科技大学,2014. WANG Xiao-bo. Research of Baotou Public Transport Service Quality Based on Passenger Perception[D]. Baotou:Inner Mongolia University of Science and Technology, 2014. |
| [5] | 樊茜琪,蒲琪,尹聪聪.基于乘客感知的城市轨道交通客运服务质量综合评价[J].城市轨道交通研究,2013,16(11):49-52. FAN Qian-qi, PU Qi, YIN Cong-cong. Comprehensive Evaluation of Passenger Service Quality for Urban Rail Transit Based on Passengers' Perception[J]. Urban Mass Transit, 2013,16(11):49-52. |
| [6] | 高丽杰,高利平,刘智丽,等.公交服务水平评价的Fuzzy Logic模型[J].城市公共交通, 2009(10):25-29. GAO Li-jie, GAO Li-ping, LIU Zhi-li, et al. Modeling on Public Transit Service Level with Fuzzy Logic[J]. Urban Public Transport, 2009(10):25-29. |
| [7] | CARDOZO R N. An Experimental Study of Customer Effort, Expectation, and Satisfaction[J]. |
| [8] | MOWEN J C, MINOR M S. Consumer Behavior[M]. Orlando:Harcourt, Inc., 2001. |
| [9] | ZEITHAML V A, BITHNER M J. Services Marketing:Integrating Customer Focus Across the Firm[M]. 3rd ed. Boston:McGraw-Hill/Irwin, 2003. |
| [10] | 文子娟.公路客运服务满意度评价研究[D].成都:西南交通大学, 2007. WEN Zi-juan. Research of Highway Passenger Transport Service Satisfaction Evaluation[D]. Chengdu:Southwest Jiaotong University, 2007. |
| [11] | 乔欢,张鹤.城市公共交通发展评价指标体系研究[J].交通与运输, 2009(增2):63-65. QIAO Huan, ZHANG He. The Development Evaluation System of Public Transport Research[J]. Traffic and Transportation, 2009(S2):63-65. |
| [12] | 郭泳铄,韩龙.基于模糊评价的常规公交换乘效率评价分析[J].交通科技与经济, 2013, 15(4):5-7. GUO Yong-shuo, HAN Long. Evaluation and Research on Transfer Efficiency of Normal Bus Transit Based on Fuzzy Synthetic Evaluation[J]. Technology & Economy in Areas of Communications, 2013, 15(4):5-7. |
| [13] | 武荣桢,翟栋栋,郗恩崇,等.城市公共交通服务满意度评价模型[J].交通运输工程学报, 2009, 9(4):65-70. WU Rong-zhen, ZHAI Dong-dong, XI En-chong, et al. Evaluation Model of Satisfaction Degree for Urban Public Transit Service[J]. Journal of Traffic and Transportation Engineering, 2009, 9(4):65-70. |
| [14] | 刘心报.基于证据推理方法的公路快速客运企业评价模型及仿真[J].仪器仪表学报2009, 30(6):227-231. LIU Xin-bao. Evidential Reasoning Based on Thruway Passenger Transportation Company Evaluation Model and Simulation[J]. Chinese Journal of Scientific Instrument, 2009, 30(6):227-231. |
2015, Vol. 31
