扩展功能
文章信息
- 马继萍, 邢磊, 戴学臻
- MA Ji-ping, XING Lei, DAI Xue-zhen
- 公交站点网络规划多目标优化模型
- Multi-object Optimization Model for Bus Station Network Planning
- 公路交通科技, 2015, Vol. 32 (9): 128-132
- Journal of Highway and Transportation Research and Denelopment, 2015, Vol. 32 (9): 128-132
- 10.3969/j.issn.1002-0268.2015.09.021
-
文章历史
- 收稿日期: 2014-12-14
2. 中国市政工程中南设计研究总院有限公司, 湖北 武汉 430014;
3. 长安大学 公路学院, 陕西 西安 710064
2. Central and Southern China Municipal Engineering Design & Research Institute Co., Ltd., Wuhan Hubei 430014, China;
3. School of Highway, Chang'an University, Xi'an Shaanxi 710064, China
公交站点是城市公交路网系统运行重要节点,也是城市基础设施的重要组成部分,其在区域路网中的整体布局和站点型式与功能,不仅决定区域路网公交系统服务水平,而且影响整个路网交通流通行效率[1, 2, 3]。如何利用有限城市道路资源,优化公交站点布局,使其在满足区域路网公交系统服务水平要求时,最大程度降低公交系统对路段交通和整个路网交通的不利影响,有效减小路网交通流的延误积累,具有十分重要的现实意义。
本文以降低路网交通流平均延误时间,提高区域路网公交系统运行效率为目标,从路段通行能力和公交车驻站行为对路段交通流的干扰出发,建立公交站点网络规划多目标优化模型,并给出相应算法。
1 问题分析 1.1 公交站点对路段交通流影响公交站点对区域交通网络运行的不利影响主要表现在站点前后一定范围内公交车驻站行为的干扰。这些影响因素总体划分为刚性因素和柔性因素。刚性因素指与交通基础设施建设相关的因素,建成之后的型式基本固定;柔性因素指与使用者相关的因素,多为主观因素,具有复杂性和不确定性。这些因素的不合理表征将不同程度地引发车站秩序的混乱,进而影响公交站点临近路段上下游交通的运行,造成延误和区域交通运行不畅。根据国内外研究成果,公交车驻站行为的干扰因素主要包括公交站点横断面位置和型式(刚性)、站点线路数目(刚性)、站点排队长度(刚性)、超车道设计和利用率(刚性)、站点网络布局和服务密度(刚性)、行人和非机动车辆行为(柔性)等[4, 5, 6]。其中,刚性因素的可优化程度远远大于柔性因素,实施站点网络层面的布局优化是有效疏解这一问题的重要手段。
1.2 公交站点网络设计优化目标公交站点在基本路段a0设置策略的不同会对路段和区域路网交通流造成不同程度的干扰,具体表现在路段交通饱和度不同程度增加,路段交通服务通行能力不同程度下降和交通延误在区域路网中的延误积累[7, 8]。据此建立城市公交站点网络设计优化目标:
(1)设站路段节点间路段平均饱和度最小化;
(2)设站路段节点间交通流平均通行延误时间最小;
(3)区域路网中公交站点密度和分布维持在一个合理水平,能够满足区域内出行和服务需求。
2 公交站点网络设计优化模型 2.1 基本假设道路网络N=V,D∪B,V为节点集,D为设站路段集,B为不设站路段集,如图 1所示,集合定义如下:
|
| 图 1 路网结构 Fig. 1 Road network structure |
(1)节点集V由原存节点集Vy(规划或现状路网中道路原有交叉节点)和虚拟节点集Vx(模型中基本路段划分基准线交叉节点)组成;
(2)设站路段集D包括两个方向的设站可能,如针对节点vi,j和vi-1,j间路段存在两种可能即vi,j→vi-1,j或vi-1,j→vi,j设置站点;
(3)不设站路段集B表示在该路段双向均不设站;
(4)确定基本路段a0最大长度l0(a0)max,应使基本路段内不存在双向同时设站的情况。
2.2 模型网格划分方法设节点vy为某一原存节点,以该节点为基准,l0(a0)为基本路段长,沿交叉道路逐段划分至另一原生节点vy′终止,并延伸基本路段划分基准线相交构成路网虚拟节点集vx。
当路段划分至某一原生节点vy′,末端长度l(a)不足基本路段长l0(a0)时,作如下定义:
(1) 若l(a)/l0(a0)≥
,取l(a)=l0(a0);
(2) 若l(a)/l0(a0)<
,取l(a)=0。
设y(a0),a0∈D∪B为路网基本路段a0公交站点设站策略函数,则有:
2.4 优化模型建立对于给定区域路网N0=(V,D∪B):
(1)对于不设站路段a0∈B,其通行能力记为C0(a0);
(2)对于设站路段a0∈D,且设站方向为vi,j→vi,j+1,其通行能力记为C1(a0);
(3)对于设站路段a0∈D,且设站方向为vi,j+1→vi,j,其通行能力记为C2(a0)。
由上得:
一般有C1(a0)<C0(a0),C2(a0)<C0(a0)成立。
类似通行能力,定义最大期望饱和度:
式中,
0(a0),a0∈B,
1(a0),a0∈D,
2(a0),a0∈D为常数。当路段设站策略明确后,结合C(a0),
(a0)便可确定各路段通行能力和最大期望饱和度。
基于策略函数y(a0),基本路段a0∈N0的流量为xa0,y,饱和度
,则最小化路段平均饱和度可以表示为:
(a0),a0∈D∪B。
记T′(a0,y)为基本路段a0在设站策略函数y影响下,一辆小汽车的平均交通延误时间,并假设当y(a0)=0时,站点对车辆通行无延误影响,此时通行时间为T0a0,y=0(T0可在没有公交车、人流等因素影响下,由实测平均通行时间确定)则有:
式中,fp,fc,fd,fe分别为对应的典型延误系数:排队延误系数、错车延误系数、阻挡延误系数、二次(或多次)停车延误系数。当基本路段设站策略y(a0)取定后,相应延误原因的存在和分配情况也可确定。理想状态:在相同策略y(a0)假设每辆车通过基本路段a0的延误时间相同,则路网中各路段交通流平均延误时间最小化可表示为:
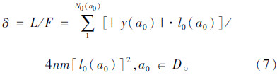
在策略y(a0)下,设计最大程度满足优化目标时,整个区域中公交线网密度δ必须达到一定服务水平,即:
由式(7)可知对于给定路网N0(2n×2m),δ为策略函数y(a0)的函数。其中,L为设公交站的基本路段道路中心线总长度;F为给定路网N0(2n×2m)所围成区域面积;N0(a0)为给定路网中基本路段总数。
根据《城市道路交通规划设计规范》关于公共交通线网密度的规定,要求设公交线路的道路中心线总长度与有公共交通服务的城市用地面积比值应满足3~4 km/km2,城市边缘地区公交线网密度应满足2~2.5 km/km2,δ可参照规范要求取值。
2.5 典型延误系数确定针对典型延误系数,给出一种基于统计分析的确定方法。
(1)延误类型频率统计
为了解各典型延误类型的大小、程度和频率,掌握公交车进站行为对正常车流的延误影响规律,研究选取4个典型车站进行交通调查统计分析,见表 1。
| 站名 | 道路等级 | 站台设置位置 | 车站型式 | 超车道使用程度 | 停靠线路数 |
| A | 次干路 | 人行道 | 港湾 | 低 | 13 |
| B | 次干路 | 人行道 | 直接 | 中等 | 15 |
| C | 主干路 | 机非隔离带 | 直接 | 高 | 11 |
| D | 主干路 | 机非隔离带 | 直接 | 高 | 8 |
采用站点调查方式,分别对4个车站进行时长为2 h的观测,以3 min为间隔,分别在路段车流中选择一辆通过公交站点的车辆,记录公交车减速、停靠、加速过程中的行为对所选车辆造成不同类型延误的次数及时间,见表 2。
| 站名 | 排队延误 | 错车延误 | 阻挡延误 | 二次(或多次)停车延误 |
| A | 10.2 | 25.6 | 16.8 | 14.8 |
| B | 12.4 | 27.4 | 13.5 | 16.4 |
| C | 0 | 30.2 | 29.7 | 3.5 |
| D | 0 | 8.5 | 7.5 | 5.8 |
| 注:延误出现频率(%)=受到延误影响的车辆数/被调查的车辆数 | ||||
(2)延误系数矩阵构造
根据标度拓展法[9],将上述4种延误类型依据表 3统计数据进行两两比较,并依不减次序排列:{s1 < s4 < s3 < s2}。参照表 4比例标度取值,为上述不减次序中相邻元素关系赋值记为: {l1,l2,l3}={1.6,1.8,1.8}。
| 项 目 | 排队延误 | 错车延误 | 阻挡延误 | 二次(或多次)停车延误 |
| 符 号 | s 1 | s 2 | s 3 | s 4 |
| 平均值 | 5.65 | 22.93 | 16.88 | 10.13 |
| 注:平均延误出现频率(%)=某一延误类型在各车站出现的总数/被调查车站数 | ||||
| 名称 | 频率相同 | 频率略微低 | 频率明显低 | 频率强烈低 | 频率绝对低 |
| 比例标度 | 1 | 1.8 | 1.6 | 1.4 | 1.2 |
其中,间隔项的关系值由相邻项的关系值乘积确定,如s1较s4延误出现频率明显低,取l1=1.6,s4较s3延误出现频率略微低,取l2=1.8,则s1与s3关系值为1.6×1.8=2.88,而相对应s3与s1的关系为1/2.88,其余同理可得。据此构造延误系数矩阵DM如下:

由MATLAB计算最大特征值λmax=3.819,其所对应的特征向量规范化后可得各延误类型的延误系数取值为 {s1,s2,s3,s4}={0.29,0.09,0.17,0.25}。
该延误系数建立在对典型站点、典型延误类型数据统计分析基础上,其计算结果除受公交站点进站行为的直接影响外,还与站点形式等因素有关,实际工作中可结合具体情况参照此方法进行延误统计分析和计算。
3 模型求解算法模型求解为多目标优化设计引入非负当量因子ξ1,ξ2,将两个目标函数统一为一个单目标函数:
采用遗传算法设计模型求解[10, 11, 12],对路网基本路段a0公交站点设置的策略函数y(a0),a0∈D∪B进行编码,估计目标函数F(y)上界,记为f(y)max,并构造适应度函数F(y)=f(y)max-f(y),公交站点网络设计优化模型求解的遗传算法如下:
(1)输入,不设站基本路段单向一条车道通行能力C0(a0),最大期望饱和度S(a0,y),不设站点基本路段平均通行时间T0(a0,y=0)。
(2)输出,基本路段设站决策y(a0),a0∈D∪B,各路段的流量x(a0,y),a0∈D(y)∪B,各路段饱和度S(a0,y),a0∈D(y)∪B,路段平均饱和度,路网中各路段交通流平均延误时间。
(3)开始,随机产生初始群体。
循环执行以下步骤:
对于每一个个体y(a0),a0∈S∪B,利用Frank-Wolf算法进行用户平衡配流,得对应每一个个体y(a0)的各路段流量x(a0,y);
对于每一个个体y(a0),a0∈S∪B,利用x(a0,y)计算目标函数值和适应度;
利用选择、交换、变异、复制等算子构造下一代群体;
根据遗传代数和目标函数的更新频率确定是否终止算法;
返回;
结束。
4 结论(1)实施公交站点网络设计优化能够充分利用有限城市道路资源,合理分配公交驻站站点位置和密度,降低公交车驻站行为对路段交通的干扰,使区域路网公交系统和交通流运行更加顺畅和安全。
(2)从降低路网交通流平均延误时间出发,考虑区域路网公交站点满足一定服务水平限制,建立公交站点网络设计优化双层规划模型,可确定路段站点设置策略。
(3)基于延误类型发生频率统计和标度拓展法,构造延误系统矩阵,给出一种简单而有效的设站路段交通流平均通行延误时间的计算方法。
| [1] | 邱杨. 提高公交站点停靠能力研究 [D]. 武汉:华中科技大学,2007. QIU Yang. Research on Increasing Parking Capacity of Bus Stop [D].Wuhan: Huazhong University of Science and Technology, 2007. |
| [2] | 胡君辉,阳丽,孔令江,等.考虑公交起讫站点影响的城市混合交通流研究[J]. 交通运输系统工程与信息,2011,11(1):102-107. HU Jun-hui, YANG Li, KONG Ling-jiang,et al. Urban Mixed Traffic Flow Considering the Influence by Origin-destination of Public Transportation [J]. Journal of Transportation Systems Engineering and Information Technology, 2011, 11(1): 102-107. |
| [3] | 王希. 城市公交站点延误统计分析及对策研究[D].西安:长安大学,2011. WANG Xi. Statistic Analysis of Delay at Urban Transit Station and Its Countermeasure[D]. Xi'an: Chang'an University, 2011. |
| [4] | 黄正东,丁寅,张莹. 基于GIS 可达性模型的公交出行预测[J]. 公路交通科技,2009,26(增1):452-456. HUANG Zheng-dong, DING Yin, ZHANG Ying. Predicting Bus Trip Generation with GIS Based Accessibility Model [J]. Journal of Highway and Transportation Research and Development, 2009,26(S1):452-456. |
| [5] | 许奇,杨静,彭丰,等. 考虑延误折算方式的公交车站布置形式选择方法[J]. 交通运输系统工程与信息,2011,11(增1):1-7. XU Qi,YANG Jing,PENG Feng,et al. Design of Bus Stops Based on the Delay of Mixed Traffic[J].Journal of Transportation Systems Engineering and Information Technology,2011, 11(S1): 1-7. |
| [6] | 郭中华,王炜,陆建. 非港湾式公交停车对道路交通流的影响分析[J]. 公路交通科技,2005,22 (11):142-147. GUO Zhong-hua,WANG Wei,LU Jian. Analysis of Road Traffic Flow Affected by Bus Stops without Bus Bay [J]. Journal of Highway and Transportation Research and Development, 2005,22(11):142-147. |
| [7] | 王江兰. 常规公交站点停靠延误影响因素分析[D]. 西安:长安大学,2014. WANG Jiang-lan. Analysis on Affecting Factors of Delay on Regular Bus Stop [D]. Xi'an: Chang'an University, 2014. |
| [8] | 赵月,杜文. 公交站点设置对道路通行能力的影响分析[J]. 公路交通科技,2007,24 (8):136-139. ZHAO Yue,DU Wen. Study on Effect of Bus-stop on Capacity of Road Section [J]. Journal of Highway and Transportation Research and Development, 2007,24(8):136-139. |
| [9] | 吕跃进,张维. 指数标度在AHP标度系统中的重要作用[J]. 系统工程学报,2003,18(5):452-456. LV Yue-jin, ZHANG Wei. Kernel Function of Index Scale in AHP Scale System [J]. Journal of Systems Engineering, 2003,18(5):452-456. |
| [10] | 杨广林,逯燕玲. 遗传算法和蚁群算法融合的公交线网优化算法[J]. 北京联合大学学报:自然科学版,2014,28(1):13-16. YANG Guang-lin,LU Yan-ling. Optimization Algorithm of Bus Routes with the Combination of Genetic Algorithm and Ant Colony Optimization[J]. Journal of Beijing Union University:Natural Science Edition, 2014,28(1):13-16. |
| [11] | 刘好德,杨晓光. 基于改进遗传算法的公交线网优化设计研究[J]. 计算机工程与应用,2007,43(8):10-14. LIU Hao-de,YANG Xiao-guang. Research on Transit Routes Network Design Based on Improved Genetic Algorithm[J]. Computer Engineering and Applications, 2007,43(8):10-14. |
| [12] | 黄敏. 多层次公交线网拓扑结构分析[J]. 公路交通科技,2010,27(5):93-99. HUANG Min. Analysis on Topology Frame of Multi-level Transit System Network[J]. Journal of Highway and Transportation Research and Development, 2010,27(5):93-99. |
2015, Vol. 32








