扩展功能
文章信息
- 胡志平, 柳鹏, 王旭, 夏香波, 王瑞
- HU Zhi-ping, LIU Peng, WANG Xu, XIA Xiang-bo, WANG Rui
- 方形浅基础地基极限承载力公式的改进
- Revision of Formula of Ultimate Bearing Capacity of Shallow Square Foundation
- 公路交通科技, 2015, Vol. 31 (8): 45-50
- Journal of Highway and Transportation Research and Denelopment, 2015, Vol. 31 (8): 45-50
- 10.3969/j.issn.1002-0268.2015.08.009
-
文章历史
- 收稿日期: 2014-03-21
2. 长安大学 地下结构与工程研究所, 陕西 西安 710061
2. Institute of Underground Structure and Engineering, Chang'an University, Xi'an Shaanxi 710061, China
地基极限承载力问题是土力学和地基基础领域研究的经典、热点问题之一,目前求解地基承载力的方法大致可以分为以下4类:极限平衡法、极限分析法、滑移线法、数值分析法。
极限分析法是通过一种理想的方式来考虑土的应力-应变关系(通常称为正交法则或流动法则),并据此建立了极限定理:它包括上限定理和下限定理:上限定理考虑土体的速度模式和能量耗散而不考虑平衡条件,求得的是极限荷载的上限值;下限定理考虑土体的平衡条件和屈服条件而不考虑土的机动场,求得的是极限荷载的下限值。上、下限定理给出真实荷载的存在范围,将极限荷载逼近在一个相当小的范围内,目前众多学者运用极限分析法来进行地基承载力的研究 [1, 2, 3]。
滑移线法是假定极限状态时相当大的范围内土体达到屈服,并导致基础下土体产生临界塑流,在产生临界塑流瞬时,基础附近土体满足平衡条件和屈服条件,将屈服条件和平衡方程结合形成平衡微分方程组,再根据边界条件对其求解,就可以求出极限平衡区的滑移线场和应力分布,计算得到基础范围内的边界应力。Michalowski、J. B. Hansen及S. K. Sarma对其进行研究,对于无重土理想情况下的滑移线解析解已被证实为完全解 [4, 5, 6],而对于有重力的滑移线解目前仍不能证明,故而在工程应用中受到一定的限制。
数值分析法伴随着计算机的普及和数值计算方法的进步而获得很大的发展,D. V. Griffiths、P. K. Woodward、N. Manoharan、H. J. Burd和黄齐武等运用有限元法给出了圆形和方形浅基础地基极限承载力的数值解 [7, 8, 9, 10, 11]。
基于极限平衡法的地基承载力计算理论是土力学的传统、经典理论,这种方法把稳定问题简化为静力学问题,它既没有考虑材料的应力-应变,也没有考虑流动法则,需要对破裂面上的应力分布作大量假设才能得到完整的平衡方程,而且破裂面内外所有的点不是均满足平衡方程。K. Terzaghi、G. G. Meyerhof、J. B. Hansen、A. S. Vesic 等学者通过条形基础下求得的计算公式乘以某一修正系数的方法来得到圆形和方形基础地基极限承载力[5, 12, 13, 14]。近年来,基础地基极限承载力的理论解研究引起了部分学者的注意。周中[15]等推导了圆形基础地基极限承载力的理论解。李伟[16]推导了方形基础地基极限承载力的理论解 [17, 18]。Meyerhof、Hansen、Vesic经验公式和周中、李伟理论解均建立在Prandtl假定基础之上。周中和李伟理论解直接假定圆形和方形基础的剪切破坏面形状,假定不考虑地基土的重度时,应用静力平衡条件推导得到地基极限承载力P′u;假定地基土的内聚力C=0和超载q=0,考虑地基土的重度时,采用Vesic经验公式中相应的子项得到地基极限承载力P″u,将上述两项承载力相加得到地基的极限承载力Pu=P′u+P″u。李伟等人通过极限平衡法从理论上直接推出方形地基承载力的表达式,并与Vesic的半经验公式进行对比,验证了其合理性,但李伟的模型是将过渡区与半个被动区作为一个整体分析并且按朗肯被动土压力公式计算,本文是将过渡区和被动区分开考虑,重新进行静力平衡关系推导、计算,将得到的结果同Vesic半经验公式进行对比。
1 基本假定(1)基础底面光滑。
(2)当地基发生整体剪切破坏时,塑性区服从Prandtl理论假设的滑动面,即滑动区由主动区Ⅰ、过渡区Ⅱ、被动区Ⅲ,3部分组成,如图 1所示,图中φ为地基土的内摩擦角,a为方形基础底面边长。图 2为方形浅基础地基整体剪切破坏立面图,图 3为方形浅基础地基整体剪切破坏俯视图,b,d分别如图所示。
|
| 图 1 方形浅基础地基整体剪切破坏示意图 Fig. 1 Schematic diagram of global shear failure of shallow square foundation |
|
| 图 2 方形浅基础地基整体剪切破坏立面图 Fig. 2 Elevation of global shear failure of shallow square foundation |
|
| 图 3 方形浅基础地基整体剪切破坏俯视图 Fig. 3 Plan view of global shear failure of shallow square foundation |
(3)地基土体破坏时假定为不变形的刚塑性体,黏聚力为c,内摩擦角为φ,且服从摩尔-库仑强度理论;
(4)基础埋置深度范围内,不计基础两侧与土体的摩擦力以及基础两侧土的抗剪强度对地基的影响,而用相应的均布荷载q=γH代替,γ为基础底面以上土的重度,H为基础埋深。
2 公式推导参照文献[19],本文采用两步假设来计算:第一步,假设基底下地基土的自重为0,推导出地基极限承载力P′u;第二步,假设地基无黏聚力、无超载,可推导出另一个极限承载力P″u,通过叠加,得到地基极限承载力Pu=P′u+P″u。
2.1 不考虑土的自重2.1.1 主动区I受力分析
对于方形基础,由于地基在整体剪切破坏时的实际应力流可能非常复杂,与基础尺寸及其刚度、加载速率及大小、地层及土性参数等众多因素有关,基于Prandtl-Reissner经典理论滑动面形状、地基土体破坏时为不变形的刚塑性体、太沙基条形基础地基极限承载力主动核心区形状假定,参考目前诸多研究,将主动核心区的形状假定为四棱椎体,如图 4所示。与文献[16]一样,本文考虑主动破坏面剪应力为C+σatanφ,式中C为内聚力,φ为内摩擦角,σa为主动破坏面上正应力。
|
| 图 4 主动区刚塑性体受力图 Fig. 4 Mechanical diagram of rigid-|plastic body in active area |
设顶面正方形边长为a,四棱锥的一个侧面积为:
对于方形基础,在图 1所示地基整体剪切破坏模式假定下,被动破坏区的1/4(如图 2为KJNCDE)剖面图,如图 5所示,与文献[16]将过渡区和被动区的一半作为一个整体力矩分析不同,受到文献[15]圆形浅基础地基极限承载力计算的启发,本文考虑整个被动区的竖向受力平衡。
|
| 图 5 被动区受力图 Fig. 5 Mechanical diagram of passive area |
由图 2可知,有几何关系:
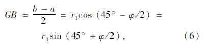
在梯形MAFB中,$FB = \frac{b}{2},MA = \frac{a}{2}$,有:
则梯形KJED的面积为:
梯形EDCN的面积为:
据文献[15],在圆形地基极限承载力的计算中,也是分开考虑了被动区和过渡区,并取整个被动区分析,本文同文献[15]假定条件一样,故有σpS1=σ′pS2。
则由图 5,被动区竖向力的整体平衡方程为:
假设σpS1=σ′pS2,(11)式化简可得:
在过渡区中,按对数螺旋曲线旋转一周后得到的螺旋曲面计算,涉及到指数函数与三角函数乘积的复杂积分,故将其近似看作是4个平面,过渡区的1/4(如图 2为ODE)的剖面图如图 6所示,与文献[16]将过渡区和被动区的一半作为一个整体分析不同,受到文献[15]圆形浅基础地基极限承载力计算的启发,本文将过渡区单独拿出来作受力分析。
|
| 图 6 过渡区受力图 Fig. 6 Mechanical diagram of transition area |
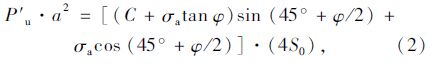
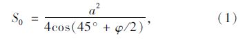
(1)竖向力的平衡条件
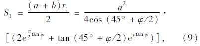
平面ODE的面积为:
则过渡区的竖向力平衡方程为:
由以上的几何关系,式(15)可化简为:
(2)力矩的平衡条件
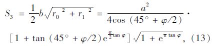
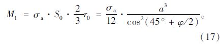
取过渡区的1/4(如图 2为KJNCDE)的剖面图如图 6所示,对O点的力矩平衡条件有:
(1)面OKJ上只剩σa产生力矩:
(2)等腰梯形面KJED上有σp和C+σptan φ产生的力矩:
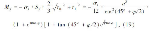
(3)面ODE上只有σt产生力矩:
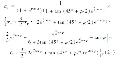
将式(17),(18),(19)带入式(20)化简得:
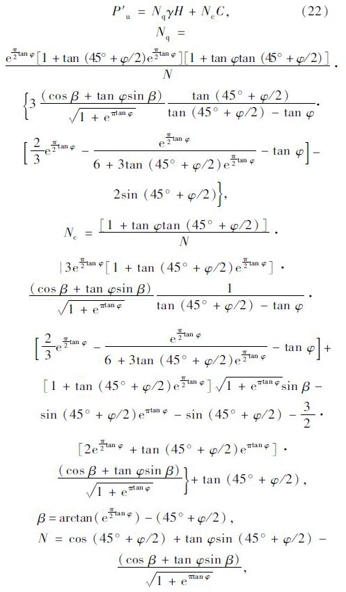
联立式(2),(12),(16),(21)可得:
假定地基土无黏聚力,且基础置于地基表面,即c=0,q=0。直接利用Vesic提出的基础形状修正系数,可推得方形浅基础的极限承载力P″u的公式:
将式(22),(23)代入Pu=P′u+P″u得:
因计算P″u的式(23)与Vesic半经验公式相同,故仅对极限压力P′u(见式(22))进行对比分析,数据分析如表 1所示。
| φ(°) | Vesic解 | 文献[16]解 | 本文解 | 与Vesic解误差/% | 与文献[16]解误差/% | |||||
| Nc | Nq | Nc | Nq | Nc | Nq | Nc | Nq | Nc | Nq | |
| 1 | 6.473 2 | 1.113 0 | 5.357 0 | 1.106 4 | 5.364 9 | 1.815 2 | -20.7 | 38.6 | 0.2 | 39.2 |
| 5 | 8.056 5 | 1.704 9 | 7.157 0 | 1.666 5 | 7.341 5 | 3.841 5 | -9.7 | 55.7 | 2.6 | 56.5 |
| 10 | 10.816 4 | 2.907 2 | 10.631 6 | 2.824 9 | 10.748 2 | 6.012 5 | -0.6 | 51.6 | 1.2 | 53.1 |
| 15 | 14.917 7 | 4.997 2 | 16.466 4 | 4.911 9 | 18.564 9 | 9.718 4 | 19.6 | 48.5 | 11.2 | 49.4 |
| 20 | 21.234 1 | 8.728 6 | 24.746 5 | 8.846 7 | 29.751 9 | 16.281 3 | 28.6 | 46.4 | 16.8 | 45.7 |
| 25 | 31.382 7 | 15.634 0 | 35.900 1 | 16.700 4 | 45.917 5 | 34.900 6 | 31.6 | 55.3 | 21.8 | 52.1 |
将表 1有关方形浅基础极限承载力的Vesic解、文献[16]解和本文解绘图进行对比,如图 7、图 8所示。
|
| 图 7 承载力系数Nc与内摩擦角的关系 Fig. 7 Relationship between bearing capacity coefficient Nc and internal friction angle |
|
| 图 8 承载力系数Nq与内摩擦角的关系 Fig. 8 Relationship between bearing capacity coefficient Nq and internal friction angle |
由表 1、图 7和图 8可知,本文理论解与Vesic解有一定的可比性,与文献[16]解比较接近。图 7显示本文内聚力承载力系数Nc随内摩擦角的增大趋势与文献[16]解的趋势相同,均是在内摩擦角在小于10°左右时较Vesic解小,在内摩擦角大于10°左右时较Vesic解大;图 8显示本文超载承载力系数Nq随内摩擦角的增大而逐渐增大,与Vesic解和文献[16]解的误差也逐渐增大,这是由于考虑整个被动区时,将被动区和过渡区整体求矩,致使σa变大的缘故。
4 结论本文方形浅基础地基极限承载力公式考虑了整个被动区的极限平衡,较严格地满足静力平衡条件和摩尔-库仑强度准则;本文内聚力承载力系数Nc随内摩擦角的增大趋势与Vesic解的趋势相同,在内摩擦角为10°左右时大致相等;本文超载承载力系数Nq随内摩擦角的增大而逐渐增大,与Vesic解和文献[16]解的误差也逐渐增大;考虑整个被动区的极限平衡,使方形浅基础地基极限承载力在一定程度上得到提高。
| [1] | 李亮,杨小礼. 圆形浅基础地基承载力极限分析的上限解析解[J]. 铁道学报,2001,23(1):94-97. LI Liang,YANG Xiao-li. Analytical Solution of Bearing Capacity of Circular Shallow Foundations using Upper-bound Theorem of Limit Analysis[J]. Journal of the China Railway Society,2001,23(1):94-97. |
| [2] | 张国祥,付江山. 基于极限分析的圆形浅基础地基承载力上限解[J]. 岩土力学,2010,31(12):3849-3854. ZHANG Guo-xiang,FU Jiang-shan. Upper Bound Solution for Bearing Capacity of Circular Shallow Foundation Based on Limit Analysis[J]. Rock and Soil Mechanics,2010,31(12):3849-3854. |
| [3] | 蒋益平,熊巨华. 方形和圆形基础地基极限承载力分析[J].岩土力学,2005,26(12):1991-1995. JIANG Yi-ping,XIONG Ju-hua. Analysis of Ultimate Bearing Capacity of Square and Circular Foundations[J]. Rock and Soil Mechanics,2005,26(12):1991-1995. |
| [4] | MICHALOWSKI R L. Upper-bound Load Estimates on Square and Rectangular Footings[J]. |
| [5] | HANSEN J B. A Revised and Extended Formula for Bearing Capacity[J]. Danish Geotechnical Institute Bulletin,1970,28(1):5-11. |
| [6] | SARMA S K,IOSSIFELIS I S. Seismic Bearing Capacity Factors of Shallow Strip Footings[J]. |
| [7] | GRIFFITHS D V. Computation of Bearing Capacity Factors Using Finite Elements[J]. |
| [8] | WOODWARD P K,GRIFFITHS D V. Observations on the Computation of the Bearing Capacity Factor Ny by Finite Elements[J]. |
| [9] | MANOHARAN N,DASGUPTA S P. Bearing Capacity of Surface Footings by Finite Elements[J]. |
| [10] | FRYDMAN S,BURD H J. Numerical Studies of Bearing Capacity Factor Ny [J]. |
| [11] | 黄齐武,贾苍琴. 三维地基极限承载力的数值极限分析[J]. 岩土工程学报,2007,29(12):1809-1814. HUANG Qi-wu,JIA Cang-qin. 3D Analysis of Ultimate Bearing Capacity by Numerical Limit Analysis[J].Chinese Journal of Geotechnical Engineering,2007,29(12):1809-1814. |
| [12] | TERZAGHI K,PECK R B. Soil Mechanics in Engineering Practice[M]. New York:Wiley John,1948. |
| [13] | MEYERHOF G G. The Ultimate Bearing Capacity of Foundations[J]. |
| [14] | VESIC A S. Analysis of Ultimate Load on Shallow Foundations[J]. Journal of Soil Mechanics & Foundations Division,1973,99(S1):45-73. |
| [15] | 周中,傅鹤林,李亮. 圆形浅基础地基承载力的理论解[J].长沙铁道学院学报,2002,20(3):1-4. ZHOU Zhong,FU He-lin,LI Liang. Theoretical Solution of Bearing Capacity of Shallow Circular Foundation[J].Journal of Changsha Railway University,2002,20(3):1-4. |
| [16] | 李伟,熊巨华,杨敏. 方形浅基础地基极限承载力的理论解[J].同济大学学报:自然科学版,2004,32(10):1325-1327. LI Wei,XIONG Ju-hua,YANG Min. Theoretical Solution of Ultimate Bearing Capacity of Soil under Shallow Square Foundation [J].Journal of Tongji University:Natural Science Edition,2004,32(10):1325-1327. |
| [17] | 王哲,王国才,陈禹,等. 矩形浅基础地基极限承载力的理论解[J].岩土力学,2008,29(4):1001-1004,1009. WANG Zhe,WANG Guo-cai,CHEN Yu,et al. Theoretical Solution of Ultimate Bearing Capacity of Foundations under Shallow Rectangular Footings[J].Rock and Soil Mechanics,2008,29(4):1001-1005,1009. |
| [18] | 朱小军,熊巨华. 矩形浅基础地基极限承载力的理论解[J]. 岩土工程学报,2011,33(增1):422-426. ZHU Xiao-jun,XIONG Ju-hua. Theoretical Solution of Ultimate Bearing Capacity of Soil under Shallow Rectangle Foundation[J].Chinese Journal of Geotechnical Engineering,2011,33(S1):422-426. |
| [19] | 胡志平,王旭,罗丽娟,等. 圆形浅基础地基极限承载力理论公式的改进[J]. 公路交通科技,2014,31(7):1-6. HU Zhi-ping,WANG Xu,LUO Li-juan,et al. Modification of Formula of Ultimate Bearing Capacity of Shallow Circular Foundation[J]. Journal of Highway and Transportation Research and Development,2014,31(7):1-6. |
2015, Vol. 31
