扩展功能
文章信息
- 罗京, 刘建蓓, 郭腾峰, 王元庆
- LUO Jing, LIU Jian-bei, GUO Teng-feng, WANG Yuan-qing
- 降雨对高速公路交通流特征的影响
- Impact of Rainfall on Expressway Traffic Flow Characteristics
- 公路交通科技, 2015, Vol. 31 (7): 134-139
- Journal of Highway and Transportation Research and Denelopment, 2015, Vol. 31 (7): 134-139
- 10.3969/j.issn.1002-0268.2015.07.021
-
文章历史
- 收稿日期:2014-7-11
2. 中交第一公路勘察设计研究院有限公司, 陕西 西安 710075
2. CCCC First Highway Consultants Co., Ltd., Xi'an Shaanxi 710075, China
与正常天气相比,恶劣天气条件下由于驾驶行为的不同造成交通流特征的变化,不同恶劣气象条件(如降雨、降雪、大雾等)的历时、强度等对交通流的影响各不相同。虽然恶劣气象条件对交通流的影响显而易见,但从交通流建模的角度出发,建立一个能够准确定量反映恶劣气象影响下的交通流模型仍然十分必要。
国内外文献中,关于降雨等恶劣气象条件对交通流特征的影响研究主要可以分为两个方面: 一是关于恶劣气象条件对交通流中自由流速度的影响研究,如Ibrahim等[1]和美国《公路通行能力手册》(HCM,2010)[2]均给出了不同降雨情况下的自由流速度降低值。Kyte等 [3]和Chin等[4]给出了不同气象条件下自由流速度的降低百分比。Hranac等[5]和Hablas[6]研究了不同气象条件对自由流速度的影响,并建立了天气影响系数模型。二是通过建立恶劣气象条件影响下的交通流模型,研究各项交通流参数受恶劣气象条件的影响,如Rekha等[7]基于线圈调查数据,采用Van Aerde交通流模型标定了降雨和降雪天气对交通流典型参数的影响。一些学者已经将天气影响纳入动态交通分配研究中,如Antoniou[8]研究确定了干燥和降雨天气条件下的交通流模型,提出了动态交通分配模型的标定程序。Dong等[9]应用动态交通分配仿真软件研究了恶劣气象条件下的路网分配问题。Mahmassani等[10,11]采用考虑天气影响下的动态交通分配模型对部分路网进行了分配研究。国内学者对于受天气影响下的交通流研究相对较少,张存保等[12]选择Van Aerde模型运用启发式算法对不同降雨下的模型参数进行了标定。叶佳缘等[13]通过数理统计方法研究了不同降雨类别对各个时段行程的时间影响。综上所述,国外研究中在恶劣气象条件对高速公路自由流速度的影响以及针对恶劣气象条件影响下的交通流模型标定方面均开展了深入的研究工作,而我国在此方面的研究鲜见。
本文以我国受降雨影响较大的海南省环岛东线高速公路为依托,分析不同降雨条件对高速公路交通流特征的影响,并标定降雨气象条件下的高速公路二阶段交通流模型。
1 天气对交通流影响模型 1.1 交通流模型交通流模型是交通流量、速度、密度之间的关系模型。根据降雨气象条件下高速公路交通流的实测数据,分析并拟合各参数,即可得到雨天环境下的交通流模型。由于单阶段交通流模型很难同时对自由流阶段和拥挤流阶段进行精确的拟合[14,15],因此,便有了二阶段和多阶段交通流模型的提出。二阶段模型的核心思想是通过两个不同的模型曲线来分别拟合自由流状态和拥挤流状态。但多阶段交通流模型存在的主要问题是模型中分阶段突变点的密度很难用科学的方法计算得到[15]。
由于高速公路交通流通行能力显著高于干线公路和城市道路,因此,二阶段Greenshields模型通常用于描述高速公路交通流[10],该模型描述的接近自由流速度时的流量达2 300 veh/(h·lane)[15]。二阶段修正Greenshields模型表达式为:

如图 1所示,当路段密度ki小于分界密度kbp时,路段速度为自由流速度uf,当路段密度ki大于分界密度kbp时,路段速度服从修正Greenshields模型。
|
| 图 1 二阶段修正Greenshields模型 Fig. 1Modified 2-stage Greenshields model |
天气影响系数(Weather Influence Coefficient,WIC)通常用来表示不良天气条件对交通流参数的影响[14]。Rakha将天气影响系数表示为不良天气条件下的交通流参数与正常天气条件下的参数之比,本文将降雨对交通流参数的影响定义为降雨天气影响下的交通流参数与正常天气(非降雨)情况下的降低比例,其表达式为:

计算得到不同交通流参数的天气影响系数后,通过回归分析建立不同气象参数对应的各交通流参数的天气影响系数,从而可得到给定气象条件下交通流参数的变化情况。由于天气条件对交通流参数的影响与气象参数的程度有直接关系[1,6],在降雨条件下,影响交通流变化的主要气象参数为降雨强度与能见度,则天气修正系数可表示为降雨强度与能见度的关系:

2 交通流模型标定 2.1 数据准备
以海南省环岛高速公路G98东线段(琼海—万宁)为调查对象,该路为双向四车道高速公路,设计速度为100 km/h。速度观测采用MetroCount 5600气压管式交通流采集系统,可在调查时间段内连续观测路段交通流,包括流量、速度、密度、车头时距等参数。4处调查点编号分别为MC1,MC2,MC3,MC4。该路段最大纵坡为0.75%,其中MC1处路线平面半径R=1 500 m,MC2处为直线段,MC3处平面半径R=1 390 m,MC4处为直线段,但MC4处位于立交分流点前,且该处设置有速度监控系统。
降雨强度采用维萨拉WTX520超声波雨量计监测。调查时间为2013年10月的连续4 d(24 h不间断观测),其中降雨天气2 d,晴朗天气2 d。将不同调查地点的速度数据按照天气情况进行分类。由于速度调查为连续昼夜不间断观测,为避免夜间调查车速时受视线影响较大,剔除调查点夜间速度观测数据,按照天气情况分为如下4组:正常天气(无雨,V≥2 000 m),小雨(0<I≤5 mm/h,1 500 m<V<2 000 m),中雨(5<I≤10 mm/h,1 200 m<V≤1 500 m),大雨(I>10 mm/h,V≤1 200 m)。
图 2为不同降雨强度下现场观测点的环境状况。
|
| 图 2 观测断面状态 Fig. 2Observation section status |
二阶段修正Greenshields模型的标定步骤按文献[10]给出的标定方法进行。
(1)标定之前,先假定初始临界密度kbp为10 veh/(km·lane)。
(2)按照临界密度将速度数据分为两部分:
第1部分速度为自由流状态。自由流速度μf为速度分布的中位数,计算速度分布的均方根误差:

第2部分速度为非自由流状态。标定前,先根据观测结果给出路段最低速度v0和阻塞密度kjam。按照路段观测结果,剔除该路段最低速度异常值后取v0=50 km/h,路段阻塞密度kjam=180 veh/(km·lane)。
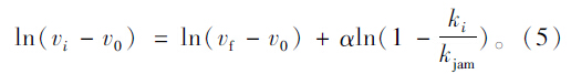
(3)将第2部分整理后两边取对数,得:

可将式(5)标定变换为线性回归,令:


采用线性回归计算得到参数a,b的值。
(4)计算畅行速度值vf:

(5)计算第2部分速度数据分布拟合值的确定系数R2:

(6)计算并比较临界密度kbp时对应的速度拟合值与μf的差异。
(7)逐渐增大临界密度kbp的取值,重复上述步骤(1)~(6),以模型第1部分拟合中均方根误差值最小,模型第2部分拟合中R2最大确定kbp的值。
2.3 标定结果分别计算得到不同降雨条件下的模型参数取值。
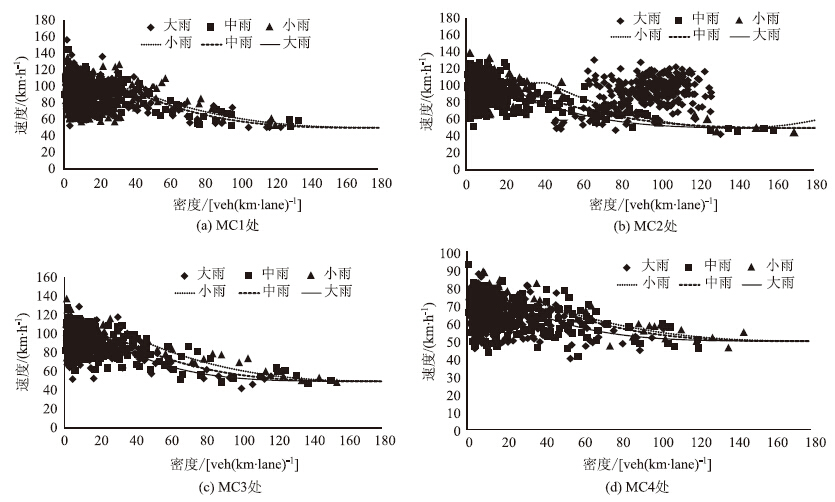
图 3为不同降雨条件下各调查点的速度-密度分布标定结果。可以看出,自由流速度均随降雨强度的增大而减小,非自由流速度也均随降雨强度的增大而降低。
|
| 图 3 速度-密度分布图 Fig. 3Speed-density distributions |
从调查数据分布来看,被调查高速公路自由流速度分布相对较离散,这主要是由于我国高速公路交通流中小型客车与大型货车所占比例相对较大,呈两极化趋势较为明显,因此,不同降雨情况下的自由流速度分布均较为离散,在密度较小的情况下由于小型客车的行驶速度较高,大型货车速度较低,使得速度离散现象更为明显。
拟合得到的各观测点不同降雨条件下路段的最大交通流量Qmax、畅行速度vf、临界密度kbp、自由流速度μf、路段最低速度v0、阻塞密度kjam的均方根系数RMSE、确定系数R2,见表 1。
| 观测点 |
天气 情况 | Qmax | vf | kbp | μf | v0 | kjam | RMSE | R2 |
| MC1 | 无雨 | 1 957 | 158.8 | 39.54 | 99.8 | 50 | 180 | 17.19 | 0.61 |
| 小雨 | 1 806 | 144.3 | 38.67 | 97.3 | 50 | 180 | 15.84 | 0.39 | |
| 中雨 | 1 859 | 136.6 | 39.02 | 95.6 | 50 | 180 | 14.33 | 0.59 | |
| 大雨 | 1 719 | 107.3 | 37.38 | 92.4 | 50 | 180 | 15.71 | 0.54 | |
| MC2 | 无雨 | 2 168 | 159.6 | 41.81 | 103.7 | 50 | 180 | 18.24 | 0.89 |
| 小雨 | 1 665 | 130.8 | 34.02 | 97.9 | 50 | 180 | 16.83 | 0.76 | |
| 中雨 | 1446 | 127.1 | 30.8 | 93.2 | 50 | 180 | 14.73 | 0.97 | |
| 大雨 | 1 306 | 130.8 | 29.02 | 90.8 | 50 | 180 | 15.18 | 0.96 | |
| MC3 | 无雨 | 2 200 | 156.4 | 43.79 | 100.5 | 50 | 180 | 13.88 | 0.51 |
| 小雨 | 1 953 | 137.1 | 40.69 | 95.9 | 50 | 180 | 11.76 | 0.70 | |
| 中雨 | 1 766 | 128.4 | 37.57 | 94.2 | 50 | 180 | 13.88 | 0.51 | |
| 大雨 | 1 250 | 129.5 | 27.47 | 91.1 | 50 | 180 | 13.68 | 0.60 | |
| MC4 | 无雨 | 1 793 | 107.9 | 49.81 | 75.3 | 50 | 180 | 10.10 | 0.21 |
| 小雨 | 1 464 | 97.8 | 41.84 | 71.7 | 50 | 180 | 6.63 | 0.61 | |
| 中雨 | 1 532 | 92.8 | 45.05 | 68.8 | 50 | 180 | 8.11 | 0.43 | |
| 大雨 | 1 209 | 88.7 | 37.2 | 65.4 | 50 | 180 | 8.87 | 0.23 |
根据模型对各观测点的标定结果,交通流模型参数中,最大交通流率Qmax、畅行速度vf、临界密度kbp及自由流速度μf的天气影响系数随降雨强度的变化如图 4~图 7所示。
|
| 图 4 最大交通流率对应的天气影响系数 Fig. 4WIC for maximum traffic flow rate |
|
| 图 5 畅行速度对应的天气影响系数 Fig. 5WIC for unimpeded speed |
|
| 图 6 临界密度对应的天气影响系数 Fig. 6WIC for critical density |
|
| 图 7 自由流速度对应的天气影响系数 Fig. 7WIC for free flow speed |
从图 4可以看出,除MC4处外,最大交通流率随降雨强度的增加而降低,对应的天气影响系数增大。小雨天气下,高速公路最大交通流量与无降雨天气相比平均降低15.7%;中雨天气下,最大交通流量与无降雨天气相比平均降低19.1%;大雨天气下,最大交通流量与无降雨天气相比平均降低32.5%,即降雨强度越大,高速公路最大服务交通量越低。
从图 5可以看出,小雨天气下,畅行速度与无降雨天气相比平均降低16.0%;中雨天气下降低15.3%;大雨天气下降低11.5%。畅行速度随降雨强度的变化趋势并不敏感,因而畅行速度主要受道路设施通行能力的影响较大。
从图 6可以看出,除MC4处外,自由流与非自由流临界密度的天气影响系数随降雨强度的增加而增加。小雨天气下,临界密度与无降雨天气相比平均降低11.9%,中雨天气下降低12.9%,大雨天气下降低24.7%,即随降雨强度的增加,高速公路自由流与非自由流临界密度呈降低趋势。
从图 7可以看出,自由流速度下,随降雨强度的增加,对应的天气影响系数增大。小雨天气下,自由流速度与无降雨天气相比平均降低4.4%,中雨天气情况下降低7.3%,大雨天气情况下降低10.6%,即随降雨强度的增加,高速公路自由流速度逐渐降低。
与其他3处调查点相比,MC4处呈现出部分不一致的变化趋势,原因是调查点MC4处位于立交分流点前,且该处设置有速度监控设施,因此该点交通流受速度监控设施的影响较大,自由流速度明显较前几处调查点降低,因此该点速度分布在分析结果中与其他点相比呈现出异常趋势。
对以上4处调查点不同交通流特征参数的天气影响系数进行线性回归标定,得到所有调查点交通流参数的天气影响系数回归参数,见表 2。表中也列出了回归模型的确定系数R2。
| 地点 | 交通流参数 | β0 | β1 | β2 | R2 |
|
所有调查点 汇总 | Qmax | 0.947 64 | -0.005 50 | -0.000 46 | 0.59 |
| vf | 2.384 76 | -0.057 30 | -0.001 18 | 0.56 | |
| kbp | 0.557 11 | 0.000 24 | -0.000 27 | 0.49 | |
| μf | 0.344 81 | -0.002 83 | -0.000 17 | 0.81 |
以海南省东线高速公路交通流和降雨量数据为基础,研究了不同降雨条件下高速公路微观交通流参数(速度、车流密度)的分布规律,标定了不同降雨条件下高速公路速度-密度分布的二阶段修正Greenshields模型,并标定了不同降雨条件下降雨强度与能见度对高速公路交通流模型参数的天气影响系数。结果表明,随降雨强度增大,该系数对高速公路最大流量、自由流车速的影响越明显。与无雨天气相比,小雨、中雨和大雨天气下高速公路最大流量分别下降15.7%,19.1%,32.5%,自由流车速分别下降4.4%,7.3%,10.6%,而临界密度、畅行速度受不同降雨的影响趋势并不明显。这主要是由于交通流从自由流到拥挤流之间的转换随地点的不同密度也不同。本文仅建立了降雨条件下的交通流天气影响系数,今后仍需进一步研究其他恶劣气象(如大雾、降雪等)对交通流的影响。
| [1] | IBRAHIM A T, HALL F L. Effect of Adverse Weather Conditions on Speed-flow-occupancy Relationships [J]. Transportation Research Board, 1994, 1457:184-191. |
| [2] | Transportation Research Board. Highway Capacity Manual 2010[M]. Washington D. C.: Transportation Research Board, 2010. |
| [3] | KYTE M, KHATIB Z, SHANON P, et al. Effect of Environmental Factors on Free-flow Speed[C]// Proceedings of the Fourth International Symposium on Highway Capacity. Washington, D.C.: Transportation Research Board, 2000:108-119. |
| [4] | CHIN S M, FRANZESE O, GREENE D L, et al. Temporary Loss of Highway Capacity and Impact on Performance: Phase 2, ORLNL/TM-2004/209[R]. Oak Ridge: Oak Ridge National Laboratory, 2004. |
| [5] | HRANAC R, STERZIN E, KRECHMER D, et al. Empirical Studies on Traffic Flow in Inclement Weather, FHWA-HOP-07-073 [R]. Bethesda: Cambridge Systematics, Inc., 2006. |
| [6] | HABLAS H. A Study of Inclement Weather Impacts on Freeway Free-flow Speed [D]. Blacksburg: Virginia Polytechnic Institute and State University, 2007. |
| [7] | RAKHA H, FARZANEH M, ARAFEH M, et al. Inclement Weather Impacts on Freeway Traffic Stream Behavior [J]. |
| [8] | ANTONIOU C. On-line Calibration for Dynamic Traffic Assignment[D]. Cambridge: Massachusetts Institute of Technology, 2004. |
| [9] | DONG J, MAHMASSANI H S, ALFELOR R. Incorporating Adverse Weather Impacts in Dynamic Traffic Simulation-assignment Models: Methodology and Application[C]// Transportation Research Board 89th Annual Meeting. Washington, D.C.: Transportation Research Board, 2010. |
| [10] | MAHMASSANI H S, DONG J, KIM J. Incorporating Weather Impacts in Traffic Estimation and Prediction Systems, FHWA-JPO-09-065 [R]. Washington, D.C.: FHWA, 2009. |
| [11] | MAHMASSANI H S, KIM J, HOU T, et al. Implementation and Evaluation of Weather Responsive Traffic Estimation and Prediction System, FHWA-JPO-12-055 [R]. Washington, D.C.: FHWA, 2012. |
| [12] | 张存保,万平,梅朝辉,等. 雨天环境下高速公路交通流特性及模型研究[J]. 武汉理工大学学报,2013,35(3):63-67. ZHANG Cun-bao, WAN Ping, MEI Zhao-hui, et al. Traffic Flow Characteristics and Models of Freeway under Rain Weather[J]. Journal of Wuhan University of Technology, 2013, 35(3):63-67. |
| [13] | 叶佳缘,杨赛霓,刘浩. 降雨对高速公路小型车行程时间的影响[J].公路交通科技,2012,29(11):135-139. YE Jia-yuan, YANG Sai-ni, LIU Hao. Impact of Rainfall on Freeway Travel Time for Passenger Cars[J]. Journal of Highway and Transportation Research and Development, 2012,29(11): 135-139. |
| [13] | RAKHA H,CROWTHER B A. Comparison of Greenshields, Pipes, and Van Aerde Car-following and Traffic Stream Models[J]. |
| [14] | RAKHA H, CROWTHER B. Comparison of Greenshields,Pipes,and Van Aerde Car-following and Traffic Stream Models[J]. |
| [15] | WANG Hai-zhong,LI Jia,CHEN Qian-yong,et al. Logistic Modeling of the Equilibrium Speed-density Relationship[J]. |
2015, Vol. 31
