扩展功能
文章信息
- 柳厚祥, 胡勇军, 曹志伟, 郑智雄
- LIU Hou-xiang, HU Yong-jun, CAO Zhi-wei, ZHENG Zhi-xiong
- 基于模糊聚类理论的公路边坡稳定性分区研究
- Study on Highway Slope Stability Zoning Based on Fuzzy Clustering Theory
- 公路交通科技, 2015, Vol. 31 (5): 49-55
- Journal of Highway and Transportation Research and Denelopment, 2015, Vol. 31 (5): 49-55
- 10.3969/j.issn.1002-0268.2015.05.009
-
文章历史
- 收稿日期:2014-03-25
随着高速公路的建设日益加快,公路建设不断向复杂地形和环境恶劣地区发展,对技术等级要求也越来越高,在工程建设过程中或多或少会遇到一些不同程度的公路边坡稳定性问题[1, 2]。由于湖南省境内地形地貌条件变化大,地质结构较复杂,地质环境和地质背景脆弱,公路边坡稳定性问题日益突出,很多已建和在建的公路出现了不同程度的边坡变形甚至破坏现象。多年来,公路边坡稳定性问题一直是制约我国高速公路快速发展的主要影响因素[3, 4]。造成公路边坡失稳甚至滑坡的主要原因除了地质条件的复杂多变性、开挖引起的受力情况的变化、环境条件的改变等客观因素外,主观原因主要是目前人们对边坡失稳的力学机理认识不足和边坡稳定性评价方法的不完善,因此加强对边坡变形破坏机理及稳定性评价方法的进一步研究已迫在眉睫[4]。
陈科平采用了模糊数学理论对桂柳高速公路边坡进行稳定性分区评价,根据边坡地形特征建立了二级模糊综合评价模型[1]。周怡结合湖南省公路边坡情况建立了对湖南省公路边坡稳定性进行分区评估的二级模糊综合评判模型[2]。郭维祥对引子渡水电站右岸边坡进行分区稳定性分析,根据其自然边坡结构特征、地形地貌特征以及自然边坡破坏形式分析,并结合右岸坝基开挖情况将其分为右坝肩边坡区、趾板上游边坡区、右岸冲沟边坡区,分析了工程边坡的可能变形破坏模式[5]。为了更好地了解湖南省公路边坡的稳定状况,本文利用模糊聚类理论对湖南省9个公路边坡稳定性区域进行模糊分区研究,并运用模糊综合评价法对具有代表性的边坡稳定区中的公路边坡进行稳定性评判,进一步论证模糊聚类分析方法应用于公路边坡稳定性分析的可行性与可靠性。本文针对湖南省公路边坡稳定性的分区研究是以研究区域的地质条件为背景,以环境条件为主体,并结合湖南省公路边坡的实际情况,根据各稳定性影响因素之间的主次关系,建立公路边坡稳定性模糊聚类迭代模型。
1 模糊聚类理论 1.1 模糊分类[6]1977年,J.C.Bezdek 等人在普通分类的基础上,利用模糊集合的定义首次提出了模糊分类的概念,认为在进行模糊分类时对象集U中的对象μi是以一定的隶属度值隶属于某一类。因此,各分类看作是对象集合U上的一个模糊子集,所有像这样的分类结果所对应的分类,就是一个模糊矩阵R,即:


记Mfc为满足以上条件的模糊矩阵R的全体集合,即

设聚类对象集合为:U={μ1,μ2,…,μn},其中每一对象μi均有m个物理特性指标,即:
μi=(μi1 ,μi2 ,…,μim),在聚类分析中,如果能够根据n个对象对应的特性指标矩阵求解出满足一定条件的最佳模糊分类矩阵R,则与R对应的模糊聚类就是对象集U在该条件下的最佳模糊聚类。
1.2 模糊c均值聚类分析方法[7]要将对象集U分成c类(2≤c≤n),设c个模糊聚类中心向量构成的矩阵V为:

为了求得最佳的模糊分类,可以按照聚类准则从模糊聚类空间Mfc中优选一个最好的模糊分类。相应的模糊聚类准则如下:
求出适当的模糊聚类矩阵R及聚类中心矩阵V,使目标函数


通常情况下,求解目标函数J(R,V)是比较困难的,需要采用迭代算法求解其近似解。J.C.Bezdek证明了当q≥1,μk≠Vi 时,可以通过模糊c均值聚类算法进行逐步迭代计算,并且整个计算过程是收敛的。其主要步骤是首先选取分类数c和初始模糊聚类矩阵R(0),初始模糊聚类矩阵R(0)应满足1.1中模糊分类矩阵的3个基本条件,然后通过迭代求解出满足一定精度要求的最佳模糊聚类矩阵和最佳聚类中心矩阵。
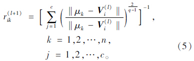
1.3 求最佳模糊聚类矩阵和最佳聚类中心矩阵[8]第一步:选定分类数c,2≤c≤n,取初始模糊聚类矩阵R(0)∈Mfc,逐步迭代l=0,1,2,…。
第二步:对于R(l),计算聚类中心矩阵 V=(V1,V2,…,Vc)T, 式中,

第三步:修正模糊聚类矩阵R(l),取

第四步:比较R(l)与R(I+1),若对取定的精度ε>0,有max{|r(l+1)ik-r (l)ik|}≤ε, 则R(l+1)和V(l)即为所求,停止迭代;否则,ll+1回到第二步重新进行计算。
1.4 模糊聚类在求出满足精度要求的最佳模糊聚类矩阵和最佳聚类中心矩阵后,可分别按下列2个判别原则进行模糊聚类判别。判别准则的原理是采用模糊模式识别理论[9]中的最大隶属度原则和就近原则。那么,模糊聚类分析理论就和模糊模式识别理论有机的结合起来,构成了模糊聚类迭代识别模型[10]。
(1)利用最佳模糊聚类矩阵聚类
设求得的最佳模糊分类矩:

在R*的第k列中,如果
,则将对象μk归于第i类,即对象μk对哪一类的隶属度最大,就将它归于哪一类。
(2)利用最佳聚类中心矩阵聚类
设求得的最佳聚类中心矩阵为V*=(V*1,V*2,…,V*c)T,μk∈U,如果
V*j|,则将对象μk归为第i类,即对象μk与哪一个聚类中心向量最靠近,就将它归于哪一类。
根据湖南省公路边坡的实际情况,并遵循下列原则进行区域划分:
(1)公路边坡稳定性分区主要考虑地形因素、地质环境因素、气象水文因素以及地震等其他因素的影响,区域界限参考控制地质、地形地貌条件的某个现象的界限。
(2)搜集各地区公路边坡相关资料,分区时不仅要考虑边坡的稳定性程度,还要考虑边坡失稳的规模和强度[2]。
(3)分区界线参考地理位置和行政区域划分,大致将湖南省区域划分为湘西、湘北、湘东、湘中、湘南。
(4)湖南省公路边坡稳定性分区研究是以研究区域的地质条件为背景,以环境条件为主体,并结合公路边坡的实际情况出发进行适当的区域划分。
根据以上公路边坡分区原则,现将湖南省公路边坡分为9个不同的稳定性区域,分别为湘北平原区I、湘中丘陵地区II、湘东山丘区III、湘东北中等山区IV、湘西重丘区V、湘南丘陵区VI、湘西中等山区VII、湘南山区Ⅷ、湘西北高、中等山区Ⅸ。
3 湖南省公路边坡稳定模糊聚类迭代模型的建立各稳定区分别考虑坡高、坡角、地层岩性、岩体结构、结构面、风化程度、地应力、降雨量[11]、降雨强度、河沟侵蚀程度[12]以及地震烈度等特性指标。其中地层岩性用岩体抗压强度表示,岩体结构和结构面特性用岩体完整系数表示,降雨量用年均降雨量表示,降雨强度用日降雨量表示,湖南各地区地震烈度平均取值参考文献[13],相应的特性指标值是分别对湖南省9个不同区域中对应的具有代表性的10个边坡实例的特性指标取平均值,得出最终的结果如表 1所示。
| 边坡稳定 区域 |
平均坡高 μi1/m |
平均坡角 μi2/(°) |
岩体抗压强 度μi3/MPa |
岩体完整 系数μi4 |
岩石风化 程度μi5/% |
初始地应力 μi6/MPa |
年均降雨量 μi7/mm |
日降雨强度 μi8/mm |
河沟侵蚀 程度μi9/% |
地震烈度 μi10/(°) |
| I | 12 | 15 | 23.46 | 0.38 | 72 | 0 | 1 450 | 19 | 70 | 3 |
| II | 76 | 40 | 36.94 | 0.35 | 68 | 0.26 | 1 550 | 20 | 43 | 4 |
| III | 80 | 45 | 32.82 | 0.43 | 64 | 0.76 | 1 650 | 23 | 50 | 5 |
| IV | 90 | 60 | 34.87 | 0.46 | 58 | 0.32 | 1 300 | 18 | 42 | 4 |
| V | 86 | 45 | 40.67 | 0.39 | 60 | 0.42 | 1400 | 24 | 52 | 4 |
| VI | 82 | 50 | 35.82 | 0.42 | 54 | 0.34 | 1 500 | 20 | 49 | 3 |
| VII | 120 | 65 | 40.24 | 0.52 | 54 | 0.42 | 1 400 | 24 | 38 | 5 |
| Ⅷ | 82 | 50 | 46.73 | 0.48 | 62 | 0.82 | 1 700 | 25 | 60 | 5 |
| Ⅸ | 146 | 68 | 59.34 | 0.63 | 34 | 1.25 | 1 100 | 13 | 56 | 6 |
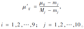
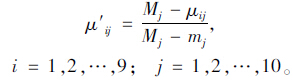
由表 1可知:各特性指标值的量纲不一致,且有些特性指标值相差很大,为了让矩阵易于收敛,故需利用极差规格化公式对特性指标值μij进行数据规格化。
(1)当特性指标值与模糊概念呈正相关时,采用如下规格化公式:

(2)当特性指标值与模糊概念呈负相关时,采用如下规格化公式:

由以上规格化公式规格化后的特性指标矩阵X表示如下:

根据边坡稳定性等级,可划分为:稳定、较稳定、基本稳定、较不稳定、不稳定5个等级,确定分类数c=5,确定相应的初始模糊分类矩阵R(0),并取q=2,精确度ε=0.01。根据模糊聚类理论编制基于目标函数的模糊c均值聚类分析的C语言程序,程序框图如图 1所示。
|
| 图 1 基于目标函数的c均值聚类分析C语言程序图 Fig. 1C Language program for c-means clustering analysis based on objective function |
在进行迭代计算之前,需要事先确定一个满足约束条件的初始模糊分类矩阵R(0):

用MATLAB调试基于目标函数的模糊c均值聚类分析C语言程序[14],并得出最佳模糊聚类矩阵和最佳聚类中心矩阵如表 2所示,然后根据最大隶属度确定各对象归属于哪一类。利用模糊聚类中心矩阵对应的判别原则可得出分类结果如表 3所示。
|
聚类中心 类别 |
平均坡高 μi1/m |
平均坡角 μi2/(°) |
岩体抗压强度 μi3/MPa |
岩体完整 系数μi4 |
岩石风化程度 μi5/% |
初始地应力 μi6/MPa |
年均降雨量 μi7/mm |
日降雨强度 μi8/mm |
河沟侵蚀 程度μi9/% |
地震烈度 μi10/(°) |
| V1 | 0.12 | 0.14 | 0.10 | 0.23 | 0.82 | 0.23 | 0.46 | 0.53 | 0.86 | 0.18 |
| V2 | 0.43 | 0.47 | 0.32 | 0.16 | 0.68 | 0.37 | 0.37 | 0.63 | 0.32 | 0.43 |
| V3 | 0.54 | 0.69 | 0.34 | 0.42 | 0.53 | 0.38 | 0.46 | 0.57 | 0.43 | 0.47 |
| V4 | 0.62 | 0.72 | 0.48 | 0.45 | 0.64 | 0.43 | 0.47 | 0.73 | 0.57 | 0.52 |
| V5 | 0.81 | 0.84 | 0.61 | 0.65 | 0.16 | 0.82 | 0.11 | 0.08 | 0.63 | 0.72 |
| 边坡稳定区分类类别 | 湖南省公路边坡稳定分区号 |
| 稳定区V1 | I |
| 较稳定区V2 | II、III |
| 基本稳定区V3 | IV、V、VI |
| 较不稳定区V4 | VII、Ⅷ |
| 不稳定区V5 | Ⅸ |
由表 3可知湘北平原区I属于边坡稳定区,湘中丘陵区II和湘东丘陵区III属于较稳定区,湘东北中山地区IV、湘西重丘区V和湘南丘陵区VI属于基本稳定区,湘西中山区VII、湘南山区Ⅷ属于较不稳定区,湘西北高、中等山地区Ⅸ属于不稳定区。由于模糊c均值聚类分析方法中分类数c,初始模糊分类矩阵R(0),误差ε和参数q均带有一定的人为因素,故需要对模糊聚类效果进行检验,检验方法如下:
(1)利用分类系数进行检验,FcR=
, 当R∈Mc时,Fc(R)=1。因此,Fc(R)越接近1,聚类效果越好。计算出Fc(R)=1.18,聚类效果较好。
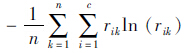
(2)利用平均模糊熵进行检验,Hc(R)=
,当Hc(R) 越接近0,聚类效果越好。计算出Hc(R)=0.23,聚类效果良好。
该公路边坡位于湘南丘陵区,地面高程110~145 m,高速公路由东北至西南方向穿过该区,并在山体东南侧区域进行了部分切方,在高速公路右侧形成长约170 m,最大高度约40 m的路堑边坡。该边坡原设计方案为自路基右侧向上分别按1∶0.75,1∶1,1∶1,1∶1.25分四级放坡,骨架防护,边坡开挖大体成型后由于雨水冲刷、地震等因素影响而发生滑坡。滑坡位于K51+210~K51+280右一级边坡基本为弱风化层,岩石节理裂隙很发育,岩石破碎。岩层倾向为190°~200°,倾角45°~50°,岩层倾向与坡向呈45°斜交。主要发育二组顺坡向节理,产状分别为115°∠50°、135°∠55°,另一组节理产状倾向坡外,节理产状160°∠30°,节理面一般较平直,间距一般0.1~0.2 m。
4.2 公路边坡稳定模糊综合评判模型边坡的稳定性取决于多项影响因素[15],而每个影响因素又包括多个影响因子,由此构成了边坡的二级模糊综合评价模型[16],其中影响因素权重分配[2]见表 4所示。
| 一级影响因素 | 二级影响因素 |
| 地形地貌特征μ1 (0.3) |
边坡坡高μ11(0.35) 边坡坡度μ12(0.5) 坡面几何形态μ13(0.15) |
| 工程地质特性μ2 (0.38) |
地层岩性μ21 (0.21) 岩土体结构μ22 (0.17) 结构面特性μ23 (0.15) 岩层走向与坡向夹角μ24 (0.17) 岩土体风化程度μ25 (0.15) 地质构造μ26 (0.10) 地应力μ27 (0.05) |
| 水文气象特征μ3 (0.24) |
年均降雨量μ31 (0.4) 降雨强度μ32 (0.4) 河沟密集程度μ33 (0.1) 河沟侵蚀程度μ34 (0.1) |
| 其他因素μ4 (0.08) |
植被μ41 (0.3) 地震作用μ42 (0.3) 人类活动μ43 (0.4) |
(1)地形地貌特征因素对应的模糊关系矩阵

(2)工程地质特性因素对应的模糊关系矩阵

(3)水文气象特征因素对应的模糊关系矩阵

(4)其他因素对应的模糊关系矩阵

利用上述一级模糊关系矩阵R和相应的一级权重矩阵A对边坡稳定进行一级模糊评价,采用模型M(·,+)得出二级模糊关系矩阵B,再对二级权重矩阵C进行模糊运算得出最终的模糊评价矩阵D=BC=(0.14,0.22,0.29,0.24,0.11)T。由最大隶属度原则可知该边坡处于基本稳定状态,当受到人工开挖、雨水冲刷以及地震等外界因素的影响时该边坡极易发生滑坡,与模糊c均值聚类分析方法得出湘南丘陵地区处于基本稳定区的结果相吻合,进一步说明模糊c均值聚类分析方法应用于公路边坡稳定性分析是可行的,且具有一定的可靠性。
5 结论(1)模糊c均值聚类分析方法应用于湖南公路边坡模糊分区具有一定的理论意义与实际价值,对研究公路的边坡稳定性问题起到推波助澜的作用。
(2)模糊综合评价在边坡稳定性分析中得到了广泛的应用,本文利用模糊综合评价模型进一步证明模糊c均值聚类分析方法对公路边坡稳定性分析的可行性与可靠性。
(3)模糊c均值聚类分析方法对边坡稳定性分析受限于许多人为因素的干扰,对模糊聚类模型的改进将是今后很有意义的研究课题。
| [1] | 陈科平. 高速公路边坡稳定性模糊评价及加固治理研究[D]. 长沙:中南大学, 2007. CHEN Ke-ping. Study on Fuzzy Evaluation and Reinforcement Technique for Stability of Expressway Slope[D]. Changsha: Central South University, 2007. |
| [2] | 郑颖人, 陈守煜, 王恭先, 等. 边坡与滑坡工程治理[M]. 北京:人民交通出版社, 2010. ZHENG Ying-ren, CHEN Shou-yu, WANG Gong-xian, et al. Slope and Landslide Engineering Management[M]. Beijing: China Communications Press, 2010. |
| [3] | 周怡. 基于模糊理论的湖南公路边坡稳定性分区研究[D]. 长沙:中南大学, 2011. ZHOU Yi. Study of Highway Slope Stability Zoning in Hunan Province Based on Fuzzy Theory[D]. Changsha: Central South University, 2011. |
| [4] | 赵建军. 公路边坡稳定性快速评价方法及应用研究[D]. 成都:成都理工大学, 2007. ZHAO Jian-jun. Study and Application of Rapid Evaluation Method for Stability of Highway Slope [D]. Chengdu: Chengdu University of Technology, 2007. |
| [5] | 郭维祥. 引子渡水电站右坝肩岩体整体稳定性地质分析与工程治理[J]. 地球与环境, 2005, 33(增1):279-284. GUO Wei-xiang. Geological Analysis and Engineering Improvement on Rock Mass Stability of Right Dam Shoulder for Yinzidu Hydropower Station[J]. Earth and Environment, 2005, 33(S1):66-69. |
| [6] | 陈水利, 李敬功, 王向公. 模糊集理论及其应用[M]. 北京: 科学出版社, 2005. CHEN Shui-li, LI Jing-gong, WANG Xiang-gong. Fuzzy Set Theory and Its Application[M]. Beijing: Science Press, 2005. |
| [7] | 高新波. 模糊聚类分析及其应用[M]. 西安: 西安电子科技大学出版社, 2004. GAO Xin-bo. Fuzzy Cluster Analysis and Its Application[M]. Xi'an: Xi'an University of Electronic Science and Technology Press, 2004. |
| [8] | 许传华, 朱绳武, 房定旺. 边坡稳定性的ISODATA模糊聚类分析[J]. 金属矿山, 2000, 294(12):24-26. XU Chuan-hua, ZHU Sheng-wu, FANG Ding-wang. ISODATA Fuzzy Clustering Analysis of Slope Stability[J]. Metal Mine, 2000, 294(12):24-26. |
| [9] | 肖盛燮, 王平义, 吕恩琳. 模糊数学在土木与水利工程中的应用[M]. 北京: 人民交通出版社, 2004. XIAO Sheng-xie, WANG Ping-yi, LÜ En-lin. Application of Fuzzy Mathematics in Civil and Hydraulic Engineering [M].Beijing: China Communications Press, 2004. |
| [10] | 陈守煜. 模糊聚类循环迭代理论与模型[J]. 模糊系统与数学, 2004, 18(2):57-61. CHEN Shou-yu. Theory and Model of Fuzzy Clustering Iteration[J]. Fuzzy Systems and Mathematics, 2004, 18(2):57-61. |
| [11] | 刘建华, 查旭东, 付宏渊, 等.考试降雨入渗条件下岩质边坡稳定性分析[J]. 公路交通科技, 2009, 26(10):33-37, 43. LIU Jian-hua, ZHA Xu-dong, FU Hong-yuan, et al. Analysis of Rock Slope Stability under Rainfall Infiltration Condition[J]. Journal of Highway and Transportation Research and Development, 2009, 26(10):33-37, 43. |
| [12] | 周群华, 闫澍旺, 邓卫东, 等. 水库水位变化对某岸区公路边坡稳定性影响分析[J]. 公路交通科技, 2011, 28(6):32-39. ZHOU Qun-hua, YAN Zhu-wang, DENG Wei-dong, et al. Analysis of Influence of Reservoir Water Level Fluctuation on Stability of a Bank Slope[J]. Journal of Highway and Transportation Research and Development, 2011, 28(6):32-39. |
| [13] | 肖和平, 敬少群, 胡奉湘. 湖南省地震烈度特征浅析[J]. 国际地震动态, 2005, 315(3): 13-18. XIAO He-ping, JING Shao-qun, HU Feng-xiang. Preliminary Studies on the Characteristics of Seismic Intensity of Hunan Province, China[J]. Recent Development in World Seismology, 2005, 315(3):13-18. |
| [14] | 杨高波, 元波. 精通MATLAB7.0混合编程[M]. 北京: 电子工业出版社, 2006. YANG Gao-bo, YUAN Bo. Proficient in MATLAB7.0 Mixed Programming[M]. Beijing: Electronic Industry Press, 2006. |
| [15] | 陈祖煜, 汪小刚, 杨健, 等. 岩质边坡稳定分析-原理·方法·程序[M]. 北京: 中国水利水电出版社, 2005. CHEN Zu-yu, WANG Xiao-gang, YANG Jian, et al. Rock Slope Stability Analysis: Principle, Method and Procedure[M]. Beijing: China Water Conservancy and Hydropower Press, 2005. |
| [16] | 张春宇, 高燕希, 蒋明锋. 二级模糊综合评判在公路边坡稳定性分析中的应用[J]. 公路工程, 2008, 3(5):109-113. ZHANG Chun-yu, GAO Yan-xi, JIANG Ming-feng. Application of Two-level Fuzzy Judging on Highway-slop Stability Analysis[J]. Highway Engineering, 2008, 3(5):109-113. |
2015, Vol. 31
