扩展功能
文章信息
- 张向东, 柴源, 刘佳琦, 高健
- ZHANG Xiang-dong, CHAI Yuan, LIU Jia-qi, GAO Jian
- 冻融条件下桩基侧摩阻力模型试验研究
- Experimental Research of Pile Foundation Side Friction Model under Freezing-thawing Condition
- 公路交通科技, 2015, Vol. 31 (4): 45-51
- Journal of Highway and Transportation Research and Denelopment, 2015, Vol. 31 (4): 45-51
- 10.3969/j.issn.1002-0268.2015.04.009
-
文章历史
- 收稿日期:2014-03-25
随着经济建设的快速发展和高铁工程在全国的兴起,桩基工程在各类环境中应用越来越广泛。近年来,在许多地区尤其是季节性冻土地区,由于设计时未考虑桩侧摩阻力的影响而出现大幅度沉降导致建筑物倾斜开裂而无法使用的现象频频出现[1]。因此桩侧摩阻力引起建筑物的损坏已经引起岩土工程界的重视,在设计中如何考虑负摩阻力的影响成为桩基问题研究的热点之一。
许多学者通过室内冻土力学试验和模型试验[2, 3]提出了长年冻土区域内桩侧摩阻力与温度、水分、土颗粒组成以及桩端土强度有一定的非线性关系。Chen[4]等利用自由衰减的信号,通过Fourier转换和功率谱密度估测冻土桩端土强度和桩侧摩阻力的变化关系。Wang J[5]等基于数值模拟和模型试验,研究了高温冻土地区现浇混凝土的水化热温度场和桩基负摩阻力之间的关系。Sritharan S[6]分析研究了影响季节性冻土在水平荷载,不同环境温度下对桩侧摩阻力的影响,结果表明在-1~-20 ℃的变化过程中,桩端有效弹性刚度呈明显增强趋势并减少了17%~63%的桩身侧摩阻力。但以上研究大多都为定性研究,较少涉及桩基侧摩阻力随温度变化的定量分析过程。且冻土作为一种复杂的多相介质,其力学性能与一般土质有显著不同,尤其对于季节性冻土这类冻融循环交替的土质,受温度、含水率、荷载作用等因素影响强烈[7],况且工程现场环境变化不一,冻融循环下的桩基承载特性亦表现出较大差异[8, 9],关于季节性冻土区域桩身侧摩阻力计算方法的参考文献更是少之又少,很多现场工程都无法采用准确的模型进行计算分析。
因此本文就辽西季节性冻土地区钻孔灌注桩进行模型试验,将土体温度和含水率作为主要因素考虑在内,尽可能排除其他因素影响,详细阐述了冻融条件下桩身侧摩阻力的变化规律,并基于荷载传递法的基础之上改进了冻融条件下桩身侧模阻力的计算模型。
1 试验概况 1.1 试验土体性质本次试验采用辽西地区阜新市绿地建筑工地基坑粉质黏土,土体经过曝晒、粉碎及筛选后,土样不均匀系数Cu=3.96,曲率系数Cc=0.61,其余各项基本物理性质指标见表 1。
试验仪器采用自主开发研制的冻融循环试验箱,试验箱尺寸为1 m×1 m×1.35 m(长×宽×高),具体构造如图 1所示。试验系统由加载装置、低温恒温循环试验箱、制冷装置和数据采集仪等组成,制冷系统最制冷温度最低可到达-30 ℃,在10 ℃制冷范围内,并具有数据自动采集和处理功能,可同步测量各位置应变变化情况,对冻土环境中模型桩进行多因素影响下动力特性试验。
|
| 图 1 冻融循环试验系统简图 Fig. 1 Schematic diagram of freezing-thawing cycle test system |
如果参照规范标准[13]与工程桩保持一致,需要制作直径30 mm的混凝土灌注桩。因其直径过小,在实验室内操作比较复杂,所以试验选用Q235无缝钢管作为动力试验模型桩进行代替。钢管外径为32 mm,壁厚为3 mm,长为600 mm,其中埋置于土体中的长度约500 mm。根据理论换算,理论设计桩与模型桩相关系数见表 2。
|
几何相似比 Cl |
质量密度相似比 Cp |
抗弯刚度相似比 CEI |
力相似比 CF |
| 40∶1 | 0.91∶1 | 3.8×107∶1 | 5.2×105∶1 |
试验前在桩身上按顺序沿加载方向粘贴电阻式应变片,应变片导线沿桩身延长接出到16通道的数据采集仪上。桩身每隔10 cm间隔布置一对应变片,桩头处不布置,共布置6 对。应变片外表面用防水材料进行包装,防止其在冻融循环的过程中造成损坏。
1.4 试验过程为了研究土体含水率对试验结果的影响,参照文献[15]中关于冻土在动荷载下强度的试验研究,按照类似的梯度将筛选后的土体配制成含水率分别为15.35%,20.89%,28.56%,7.91%(配置后实测值)4种不同的试验用土,均匀搅拌后,分层均匀压实于模型试验箱内,质量密度控制在1.93~2.56 g/cm3之间。压实土体的同时将6个温度传感器预埋于其中,温度传感器埋置于距离桩周围壁10 cm附近,埋设等差深度。试桩底部布置一个位移传感器,位移传感器探头与桩顶对齐,用于测量加载时桩体位移。
准备工作完成后进入试验阶段,将整个试件箱内温度从室温采用正弦方式,历时24 h降低至设定温度,待各埋深处温度传感器所测值与设定值基本达成一致时后,制冷装置不再继续工作,进入自然回温状态。此时荷载系统根据设定值可为模型桩基提供压应力,由阀控作动器将力施加于桩,计算机控制系统采集桩头当前所承受的荷载,与设定值进行比较后输出控制信号。采集装置则收集桩身上的12个应变片传回的实时应力值,以及桩顶处的位移传感器所测得的试桩沉降量。
2 试验结果与分析 2.1 温度-时间变化规律桩基位于冻土中时与位于其他土体中不同,冻土土体温度下降到0 ℃以下发生剧烈相变,土体中冰晶含量增多并与桩身形成冻结力,进而加强了桩的侧摩阻力。文献[14, 15, 16]中指出温度是控制冻土动强度变化特性的主要因素之一。而温度受试验装置和外界环境的影响,变化规律比较复杂。冻融循环的土体,监测温度随时间变化曲线是后续研究的重要前提,图 2为该试验过程中含水率为28.56%土样的温度随时间变化曲线。
|
| 图 2 温度-时间变化曲线 Fig. 2 Temperature-time curves |
可见,在不同冻结温度的试验中,装置均按照事先制定的温度在24 h时准确达到最低温度。随后进入自然升温状态中,温度升高速度逐渐降低,一般在60 h时已达到室内正常温度。
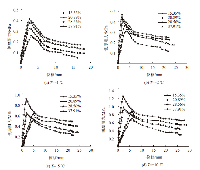
2.2 温度和含水率与桩侧摩阻力的关系鉴于文献[17]中所做类似试验采用的冻结温度从-1~15 ℃之间,本次试验将模型桩在冻结温度T分别为-1,-2,-5,-10下经历1次冻融循环,通过数据采集装置直接得出桩土位移以及换算得出的桩身侧摩阻力,实测桩头位移与桩侧摩阻力的变化曲线绘制成图 3。
为了研究桩基侧摩阻力在冻融土体中的表现特征,首先需要区分冻融界限和桩基中性点的位置。在关闭制冷装置后对土体各埋深温度传感器测值如表 3所示,此时冻土表层融化深度约10 cm。
| 深度/cm | 温度/℃ | 深度/cm | 温度/℃ | 深度/cm | 温度/℃ |
| 0 | 11.2 | 20 | -1.7 | 40 | -3.8 |
| 10 | 0.5 | 30 | -3.4 | 50 | -4.1 |
根据测得数据和相关试验结果表明:
(1)从图 3中的4个图可以看出:受土体与桩身发生的冻结力影响,冻融过程中桩侧摩阻力与桩土位移经历了3个阶段:强化阶段、弱化阶段和稳定阶段。达到峰值前为强化阶段,侧摩阻力伴随着桩土位移的增大而迅速增大直至达到峰值;然后进入弱化阶段,在该阶段侧摩阻力随桩土位移的增大而减小,最终达到一个稳定值。
|
| 图 3 不同温度下侧摩阻力随位移变化曲线 Fig. 3 Side friction varying with displacement at different temperatures |
(2)分析土体的冻结温度峰值可以发现,以冻结温度-2 ℃为例,含水率为15.35%,20.89%,28.56%,37.91%下对应的桩身侧摩阻力峰值分别为0.32,0.36,0.48,0.42 MPa,可以看出在相同冻结温度下,侧摩阻力峰值大小与土体含水率有关且存在一个界限含水率。
(3)由图 3(b)、(c)两者对比看出,在冻结温度从-2~-5 ℃的变化过程中,桩身侧摩阻力随着温度的降低也出现了不同幅度的增大。在此过程中含水率为15.35%和20.89%的曲线还出现水平位移。
(4)由图 3(c)、(d)两者对比看出当T≤-5 ℃ 后,土体已经冻结成型,桩侧模阻力随温度降低而增大的值已经很少。这与崔托维奇[11]研究结果吻合,其认为当T =-70 ℃左右,桩基侧摩阻力会增加到一个极限值。
为更直观、系统地观察侧摩阻力与含水率、温度的关系,将不同含水率、不同温度的侧摩阻力与桩土位移曲线中的最大值连接成一条曲线,绘制在同一坐标中,绘制成图 4。如图 4所示,当冻结温度在-1~-10 ℃范围内,同一含水率土样,桩侧摩阻力随冻结温度的降低而增大,其变化递增趋势已基本接近于线性变化。
|
| 图 4 温度-侧摩阻力变化规律 Fig. 4 Temperature vs. side friction |
调整横纵坐标轴后,得出含水率—侧摩阻力变化曲线,如图 5所示。观察其变化规律可以得出:界限含水率的位置一般位于含水率27%~29%之间,侧摩阻力在低于界限含水率时随含水率的增大而增大,在高于界限含水率时随含水率增大而减小。
|
| 图 5 含水率-侧摩阻力变化规律 Fig. 5 Moisture content vs. side friction |
研究冻融循环下桩侧摩阻力问题,实质上要知道桩土相对位移以及侧摩阻力与桩土温度场之间的关系,就可以了解桩侧摩阻力的分布情况。为进一步精确研究侧摩阻力与温度之间关系,现取1根试验桩,设其周长为u,现从桩任意深度x处取微段dx微分,单元体所产生的侧摩阻力为τ(x),其受力图如图 6所示。
|
| 图 6 桩土计算单元体模型 Fig. 6 Unit model for pile-soil calculation |
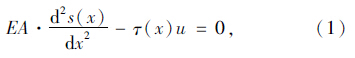
根据力的竖向平衡条件可导出桩的荷载传递基本微分方程为[17]:

假设土体位于弹塑性阶段时,在不考虑土体分层情况下,桩土相对位移间存在着简化计算公式[17],即:



;
l为桩身长度;m为地层沉降分布曲线的斜率;P0为桩顶荷载;k1为桩周土单位厚度土的刚度系数。
对于式(2)进行一次求导得:

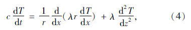
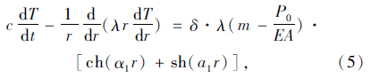
本文所研究的本构模型一般只针对于桩基础,而桩基一般都可视为轴对称模型。根据笛卡尔坐标系下三围非稳态热传导微分方程,设测量点离桩身水平距离为r,埋设深度为z,对于轴对称带相变的热传递问题,在笛卡尔坐标系下用柱坐标可将温度T描述为:

将式(3)代入式(4)中可得:


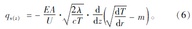
可见,如果能够测出温度随时间变化曲线的斜率,再通过现场试验的方式获取桩周土体物理力学性质,通过式(6)可得出有温度影响因子下的桩身侧摩阻力。
4 应用实例沈阳地铁中段联络站建设工程,是地铁中一个重要组成部分,联络站位于工程段之间DK11+685处。该基坑土质属于典型粉质性黏土,现场测得的土体物理力学性质参数见表 4。
| 土的颗粒成分/% | 干密度ρd/(g·cm-3) | 液限Iw/% | 塑限IL/% | 塑性指数IP | 黏聚力c/kPa | 摩擦角/(°) | ||
| d<0.075 | 0.075<d<0.5 | d>0.5 | ||||||
| 50.76 | 42.87 | 6.37 | 1.48 | 29.77 | 18.51 | 11.37 | 12.37 | 32.21 |
该工程基础桩径Φ80 cm,桩身长约11.3 m,桩身采用C50混凝土,混凝土弹性模量E=3.56×104 MPa。设计要求单桩竖向承载力设计值为11 000 kN。地表 0.3~1.2 m为素填土,0.3~11.3 m为粉质黏土层,地下水埋深为6.8~8.4 m,本场地环境类型属Ⅱ类。桩身插入持力层深度2.62 m,充盈系数1.1。
为研究桩周土和桩侧摩阻力之间的关系,在成桩过程中,将振弦式应变计埋设于桩身不同深度的12个断面,每个断面埋设3个,通过现场监测得到实时桩身侧模阻力的数值。桩的顶部沉降采用在桩顶安装的位移传感器测量得到。
在第1年年末,即成桩后45 d内,一直保持对桩身应变、沉降量及桩周土的温度进行跟踪测量。经过冬季休工阶段后,在第2年的春季气温上升至0 ℃ 以后又对桩身进行了多次监测分析。两次监测时间跨度168 d,期间受东北地区自然环境影响,经历自然土体的冻融过程,得出数据真实可靠。
将上述实测的桩基数据用有限元软件ANSYS进行分析计算。根据桩-冻土体系受力的对称性,建立1/4有限元模型进行计算,模型中冻土采用实体Solid45单元,竖直荷载设为7 500 kN,后经处理分析计算后,将实测数据、模拟数据以及用优化冻融荷载传递模型计算的数据绘制成曲线图 7进行分析。图 7表明,本文所建立的本构模型的数值计算与现场监测结果吻合度较高。
|
| 图 7 不同计算方法下的各项结果比较 Fig. 7 Comparison of results obtained by different calculation methods |
(1)冻土的冻结强度是影响侧摩阻力大小的主要因素,故冻融条件下,温度和含水率通过改变桩侧冻结力影响桩侧摩阻力的强度大小。
(2)冻融条件下桩侧摩阻力强度随温度的降低而增大,当0 ℃≥T≥-5 ℃时,侧摩阻力随温度降低而增大的趋势显著;当-5 ℃≥T≥-10 ℃时,侧摩阻力增大幅度降低。
(3)桩周土中存在一个界限含水率,一般在27%~29%之间,在界限含水率之前,桩侧摩阻力随土体中的含水率升高而增大,在界限含水率之后,桩侧摩阻力随含水率的升高而降低。
(4)基于荷载传递法和双折线模型,联系温度与含水率对桩侧摩阻力的作用关系,提出了有温度影响的冻融土体中桩侧摩阻力计算模型,具有重要的理论价值和工程实用价值。
| [1] | 张爽,唐春安,张向东. 季节性冻土地区高铁路基沉降研究[J]. 东北大学学报:自然科学版,2013(34)8:1202-1205. ZHANG Shuang,TANG Chun-an,ZHANG Xiang-dong. Subgrade Settlement of High-Speed Railway in Seasonal Frozen Soil Area [J]. Journal of Northeastern University:Natural Science Edition,2013(34)8:1202-1205. |
| [2] | CHEN G S,DAVIS D,HULSEY J L. Measurement of Frozen Soil-pile Dynamic Properties:A System Identification Approach[J]. Cold Regions Science and Technology,2012,70:98-106. |
| [3] | WANG J, ZHOU G,ZHOU J,et al. Influence of the Hydration Heat of Cast-in-situ Concrete on Temperature Field and Stability of Soil-pile in High-temperature Permafrost Regions[C]//2011 International Conference on Electric Technology and Civil Engineering (ICETCE). Piscataway,NJ:IEEE,2011:427-433. |
| [4] | 赵明华,邹丹,邹新军. 基于荷载传递法的高承台桩基沉降计算方法研究[J]. 岩石力学与工程学报,2005,24(13):2310-2314. ZHAO Ming-hua,ZOU Dan,ZOU Xin-jun. Settlement Calculation of Pile Foundations with Elevated Caps by Load Transfer Method [J].Chinese Journal of Rock Mechanics and Engineering,2005,24(13):2310-2314. |
| [5] | 周幼吾,郭东信,邱国庆,等. 中国冻土[M]. 北京:科学出版社,2000. ZHOU You-wu,GUO Dong-xin,QIU Guo-qing,et al. Frozen Ground in China[M]. Beijing:Science Press,2000. |
| [6] | 梁波,陈兴冲. 青藏铁路的重要意义、技术难点及力学问题 [J]. 工程力学,2004(增1):139-149. LIANG Bo,CHEN Xing-chong. The Significance, the Key Technical Problems and the Mechanical Problems of Qinghai-Tibetan Railway[J]. Engineering Mechanics,2004(S1):139-149. |
| [7] | 崔托维奇 H A. 冻土力学[M]. 北京:科学出版社,1985. TSYTOVIHC Н А. Mechanics of Frozen Ground[M]. Beijing: Science Press,1985. |
| [8] | 张建新, 吴东云. 桩端阻力与桩侧阻力相互作用研究[J]. 岩土力学,2008,29(2):541-544. ZHANG Jian-xin,WU Dong-yun. Research on Interaction between Resistance at Pile and Lateral Resistance of Pile[J]. Rock and Soil Mechanics,2008,29(2):541-544. |
| [9] | 叶真华,周健,唐世栋. 黏土中不同桩端条件下桩承载性状的模型试验[J]. 同济大学学报:自然科学版,2009,37(6):733-737. YE Zhen-hua,ZHOU Jian,TANG Shi-dong. Model Test on Pile Bearing Behaviors in Clay under Different Pile Tip Conditions[J]. Journal of Tongji University:Natural Science Edition,2009,37(6):733-737. |
| [10] | 刘锟,赵春风.不同桩端土承压钻孔灌注桩模型试验研究[J].岩土工程学报,2011,33(3):490-495. LIU Kun,ZHAO Chun-feng. Model Tests on Bored Piles under Vertical Load on Different Pile-tip Soils[J]. Chinese Journal of Geotechnical Engineering,2011,33(3):490-495. |
| [11] | 李永波,张鸿儒,全克江.冻土-桩动力相互作用模型试验系统研制[J]. 岩土工程学报,2012,34(4):774-780. LI Yong-bo,ZHANG Hong-ru,QUAN Ke-jiang. Development of Model Test System for Dynamic Frozen Soil-pile Interaction[J]. Chinese Journal of Geotechnical Engineering,2012,34(4):774-780. |
| [12] | 席宁中.试论桩端土强度对桩侧阻力的影响[J].建筑科学,2000,16(6):51-54,60. XI Ning-zhong. A Discussion on Influence of Soil Strength Underneath a Pile on the Pile Shaft Resistance[J]. Building Science,2000,16(6):51-54,60. |
| [13] | JGJ94—2008,建筑桩基技术规范[S]. JGJ 94—2008,Technical Code for Building Pile Foundations[S]. |
| [14] | 张向东,刘家顺,张建俊,等.地铁联络通道人工冻结粉质粘土变形与温度特性试验研究[J]. 公路交通科技,2013,30(5):74-81. ZHANG Xiang-dong,LIU Jia-shun,ZHANG Jian-jun,et al. Experimental Research on Relation between Deformation and Temperature Characteristics of Artificial Frozen Silty Clay of Cross Passage of Metro Tunnel[J].Journal of Highway and Transportation Research and Development,2013,30(5):74-81. |
| [15] | 张淑娟,赖远明,李双洋,等.冻土动强度特性试验研究[J].岩土工程学报,2008,30 (4):595-599. ZHANG Shu-juan,LAI Yuan-ming,LI Shuang-yang,et al.Dynamic Strength of Frozen Soils[J].Chinese Journal of Geotechnical Engineering,2008,30 (4):595-599. |
| [16] | 王书娟,陈志国,秦卫军,等.季节性冰冻地区路基冻胀机理分析[J].公路交通科技,2012,29 (7):20-24,44. WANG Shu-juan,CHEN Zhi-guo,QIN Wei-jun,et al.Mechanism Analysis on Subgrade Frost Heaving in Seasonal Frozen Region[J]. Journal of Highway and Transportation Research and Development,2012,29(7):20-24,44. |
| [17] | 陈伟华.多年冻土区桩侧冻结强度与负摩阻力试验研究[D]. 哈尔滨:哈尔滨工业大学,2011. CHEN Wei-hua. Experimental Research on Freezing Strength and Negative Friction of Pile Side in Permafrost Region[D]. Harbin:Harbin Institute of Technology,2011. |
| [18] | 贺炜,赵明华,邹新军.基桩荷载传递的非线性计算方法研究[J].公路交通科技,2006,23(3):74-78. HE Wei,ZHAO Ming-hua,ZOU Xin-jun. Study on Nonlinear Calculation Method of Load Transferring along Pile Shaft[J]. Journal of Highway and Transportation Research and Development,2006,23(3):74-78. |
2015, Vol. 31

,
