扩展功能
文章信息
- 张天宇, 徐湘田
- ZHANG Tian-yu, XU Xiang-tian
- 大跨斜拉桥施工与成桥状态风致抖振响应分析
- Analysis on Wind-induced Buffeting Response of Long-span Cable-stayed Bridge in Construction and Completion States
- 公路交通科技, 2015, Vol. 31 (2): 81-88
- Journal of Highway and Transportation Research and Denelopment, 2015, Vol. 31 (2): 81-88
- 10.3969/j.issn.1002-0268.2015.02.013
-
文章历史
- 收稿日期:2014-01-07
桥梁风致抖振响应是一种脉动风引发的随机振动现象,随着桥梁长大轻柔化,会导致较大的风致抖振响应,抖振响应即使不会造成桥梁的垮塌,也会引起桥梁结构的局部疲劳,危及行人舒适度和行车安全[1, 2, 3]。
抖振计算分析方法一般可以分成频域法与时域法。在频域研究方面,JAIN详细介绍了大跨桥梁的多模态耦合颤振和抖振分析[4];KATSUCHI基于多模态耦合分析方法,研究了明石海峡大桥的抖振和颤振性能[5, 6];丁泉顺等应用随机振动理论,考虑自然风的任意风谱和空间相关性以及桥梁抖振响应的多模态和模态耦合效应,提出了用于大跨度桥梁耦合抖振响应分析的有限元CQC方法[7];杨咏漪等提出了在频率域内用Markov过程进行大跨度桥梁风致抖振疲劳分析的计算方法,并以珠江黄浦大桥北汊桥主桥为例,进行疲劳分析[8]。在时域研究方面,曹映泓等考虑了几何非线性和气动非线性,提出统一的颤振和抖振时程分析方法,该方法解决了随机风速场的模拟、耦合自激力的时域计算和统一的颤抖振时程分析流程、时程分析方法不能同时处理颤抖振等问题[9];胡晓伦提出了一整套斜拉桥颤抖振时域分析的实用解决方案,对杭州湾和苏通大桥进行了抖振时域分析和详细的参数分析[10];李永乐等从结构振动形态、抖振响应均方根及抖振响应功率谱密度函数3个方面对时域和频域分析结果进行了比较,印证了大跨斜拉桥时域与频域抖振响应分析的一致性[11]。另外,韩万水、何晗欣、张志田、赵林、胡亮、卢伟等对抖振的计算方法与抖振响应的影响因素进行了深入研究[12, 13, 14, 15, 16, 17]。
学者对桥梁抖振的研究主要集中在计算方法和影响因素方面,对桥梁典型施工状态与成桥状态下的抖振响应对比分析较少。本文以一座典型双塔斜拉桥为例,通过时域和频域方法,计算对比分析了大桥成桥状态、施工最大双悬臂状态与最大单悬臂状态在设计基准风速下的抖振响应规律,并分析了大桥抖振位移产生的具体原因。
1 抖振计算理论 1.1 频域法
抖振响应频域分析是一种随机振动分析方法,基于振型叠加法求得结构响应的统计值,并不能给出结构的响应时程。结合三分力系数、气动导数与气动导纳等气动参数,根据结构动力特性、脉动风功率谱及气动力模型,进行抖振频域分析,图 1给出了频域法求解抖振响应的过程框图。文献[4]详细介绍了多模态耦合抖振响应分析,此处不再赘述。
|
| 图 1 频域法求解抖振响应的框图 Fig. 1 Block diagram of solving buffeting response by frequency domain method |
进行大跨度桥梁结构的抖振时域分析,必须解决随机脉动风场的模拟与风荷载的时域化问题。
1.2.1 脉动风场模拟
大气湍流中的脉动风速可以近似地处理为各态历经的平稳高斯随机过程。若将风场看作是离散空间点处脉动风速的总和,那么脉动风场就可以看成是一个多维多变量的平稳高斯随机过程。目前,国内外对脉动风速时程的模拟方法主要有谐波合成法(WAWS法)与线性滤波法(如AR,MA,ARMA等)两大类。本文计算用脉动风场的模拟即是采用谐波合成法,谐波合成法是一种利用谱分解和三角级数叠加来模拟随机过程样本的传统方法,模拟结果较为可靠,但计算量大,可以通过在频率点间进行适当的插值减少对谱矩阵的分解次数,提高计算速度。
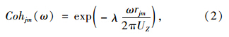
对于一个零均值的一维n变量平稳高斯随机过程{f 0j(t)}(j=1,2,…,n),其互谱密度矩阵为

,Cohjm(ω)是j点和m点的Davenport相干函数:

式中,λ为风场相关系数,在缺乏桥位处风场资料时,可偏安全地取值为7;Uz为高度z处的平均风速;rjm为j点和m点的间距。
根据Shinozuka和Deodatis的研究,随机过程{f 0j(t)}的样本{fj(t)}也可以用式(3)进行模拟:

式中,j = 1,2,…,n;Δω为频率增量;N为频率等分数;ωml为双索引频率;φml为随机相位;θml(ωml )为Hjm(ωml)的复角;Hjm(ωml)为矩阵H(ω)的元素,H(ω)是S0(ω)的Cholesky分解。
1.2.2 时域化气动力
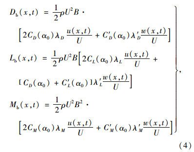
抖振时域分析需要时域化的风荷载,抖振力模型采用气动导纳函数修正的Scanlan的准定常气动力表达式,自激力可以采用Scanlan阶跃函数或Y.K.Lin脉冲函数表达的气动力计算[1, 2, 3, 17, 18, 19, 20]。
Davenport准定常抖振力模型的特点是将结构刚性化,忽略结构与气流之间的相互影响以及特征紊流对结构抖振的影响。此外,脉动风本身的高阶项部分也被忽略。
Davenport抖振力模型如下:

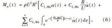
时域化的Scanlan自激力可以采用Scanlan阶跃函数或Y.K.Lin单位脉冲函数表达,Y.K.Lin基于线性自模型假定,采用脉冲函数的卷积形式可以完善地描述包含3个方向振动响应的耦合气动力,以自激升力矩为例,其基本表达式如下:

式中,fMi( i = p,h,α ) 为i方向脉冲位移的响应函数。通过对式(4)进行傅里叶变换,并比对scanlan自激力频域表达式,得到相应的传递函数,然后对传递函数的有理函数表达式进行逆傅里叶变换得到时域的脉冲响应函数,最终得到时域化的自激力模型:

式中,C1,C2,Ck,dk为待定系数,其确定方法同阶跃函数表达式的气动力公式相似,都可以根据实测的气动导数利用最小二乘法进行拟合得到。
2 斜拉桥实例概况
某斜拉桥为钻石形双混凝土桥塔斜拉桥,如图 2所示,桥跨布置为(70+160+448+160+70)m,主塔高度为181.3 m,大桥采用空间双索面,拉索顺桥向间距除塔处为22.5 m外,其余均为15 m。加劲梁为带风嘴的流线形闭口钢箱梁(图 3),梁高3.5 m,梁宽37.1 m。按照施工顺序与风振敏感性,施工状态风振分析可以考虑施工最大双悬臂状态与施工最大单悬臂状态。其中,施工最大单悬臂状态对应于以桥塔处为起点向两侧对称悬臂拼装至最大长度的状态,拼装长度为(147+147)m;施工最大双悬臂状态对应于主跨待合龙状态,中跨悬臂长度为222 m。
|
| 图 2 斜拉桥总体布置图 Fig. 2 General arrangement of cable-stayed bridge (unit:cm) |
|
| 图 3 钢箱梁标准断面图 Fig. 3 Standard cross-section of steel box girder (unit:mm) |
采用离散结构的有限元方法对大桥3种状态进行结构建模,根据桥梁总体布置与整体结构特点,在保证质量和刚度与实际结构一致的前提下进行适当简化,主梁采用单脊梁式,双索面拉索与主梁通过刚臂连接形成“鱼骨式”力学计算模型。采用Beam4单元来模拟主梁、横梁、索塔、过渡墩、承台、刚臂等;采用Link10单元来模拟斜拉索;采用MASS21单元来模拟防撞护栏、桥面铺装、栏杆等2期恒载以及桥面板单元。整个结构的约束条件与设计要求一致,塔墩在承台顶面作固结处理。
成桥状态、施工最大双悬臂状态以及施工最大单悬臂状态有限元模型分别如图 4~图 6所示。表 1给出了3种状态的主要模态描述。
| 状态 | 一阶正 对称竖弯 | 一阶反对 称竖弯 | 一阶正 对称侧弯 | 一阶反对 称侧弯 | 一阶正 对称扭转 | 一阶反对 称扭转 |
| 成桥状态 | 0.368 5 | 0.505 4 | 0.560 0 | 0.873 4 | 0.960 9 | 1.417 5 |
| 施工最大双悬臂状态 | 0.771 1 | 0.790 6 | 1.113 1 | — | 1.554 4 | — |
| 施工最大单悬臂状态 | 0.369 7 | — | 0.394 3 | — | 1.149 2 | — |
|
| 图 4 成桥状态 Fig. 4 Bridge completion state |
|
| 图 5 施工最大双悬臂状态 Fig. 5 The longest double-cantilever stage |
|
| 图 6 施工最大单悬臂状态 Fig. 6 The longest single-cantilever stage |
计算风速取主梁设计基准风速,成桥状态为49.0 m/s,施工状态为41.2 m/s。抖振响应时域分析结合Newmark-β法与Newton-Raphson迭代方法进行积分计算,时间间隔取为0.25 s,共进行10 240步迭代计算。气动导纳函数取1与Sears函数两种形式。静力三分力系数与气动导数取0°初始风攻角下的结果,三分力系数均以梁宽B为特征尺寸计算得到。对于竖向及扭转气动导数仅考虑前4项,即A*1,A*1(i=1,…,4),侧向气动导数采用拟定常近似形式,仅考虑前3项,按照式(17)计算:

多模态耦合抖振频域分析中取前20 阶模态进行分析,其他参数与时域分析相同
| 气动参数 | 成桥状态 | 施工状态 |
| CD | 0.077 2 | 0.022 0 |
| CL | 0.022 2 | -0.202 2 |
| CM | 0.009 3 | 0.014 8 |
| C′D | 0.209 2 | 0.036 8 |
| C′L | 4.775 6 | 4.045 1 |
| C′M | 0.908 1 | 1.186 0 |
采用3次拉格朗日多项式插值的改进谐波合成法进行桥位脉动风场的模拟,并考虑了Davenport相干函数修正,来体现脉动风沿桥轴方向的空间效果,利用Simiu谱(横桥向)和Panofsky谱(竖桥向)为目标谱[20]对大桥加劲梁、主塔进行了风场模拟。大桥地处B类风场,限于篇幅,此处仅给出加劲梁中跨跨中的模拟风速结果,如图 7、图 8所示,横桥向紊流度大于竖桥向,模拟风速功率谱与目标功率谱吻合理想,所以模拟的风场可以作为下一步抖振时域计算的基本数值使用。
|
| 图 7 加劲梁中跨跨中脉动风速时程 Fig. 7 Turbulence wind speed time-history of central midspan of stiffening girder |
|
| 图 8 加劲梁中跨跨中脉动风速模拟功率谱和目标功率谱 Fig. 8 Wind speed simulation power spectrum and target power spectrum of central midspan of stiffening girder |
在抖振时域分析中,通过抖振位移时程发现,3种状态下的抖振位移均为典型的随机振动。对抖振位移时程进行频谱分析发现,卓越频率主要集中在各自方向的振动基频,这表明斜拉桥抖振位移响应主要以基频振动为主。考虑到斜拉桥的结构特点,对于成桥状态,选取加劲梁中跨跨中、中跨1/4 点与主塔塔顶等3个代表截面;对于施工状态选取加劲梁中跨悬臂端点、中跨悬臂中点与主塔塔顶为代表截面,其中施工最大单悬臂状态的代表截面与成桥状态一致。研究3种状态下3个截面的抖振位移分布情况,计算结果分别如图 9~图 11所示。
|
| 图 9 成桥状态抖振位移响应 Fig. 9 Buffeting displacement responses of bridge completion state |
|
| 图 10 施工最大双悬臂状态抖振位移响应 Fig. 10 Buffeting displacement responses of the longest double-cantilever stage |
|
| 图 11 施工最大单悬臂状态抖振位移响应 Fig. 11 Buffeting displacement responses of the longest single-cantilever stage |
抖振计算结果表明:(1)在主梁设计基准风速下,3种状态下的主塔塔顶抖振位移均较小,施工过程中可以不考虑主塔顶部的位移控制。(2)加劲梁跨中三向抖振位移均大于加劲梁1/4点,这是因为3种状态下的竖弯、侧弯与扭转振动基频均为正对称形式。(3)加劲梁三向抖振位移中,竖桥向抖振位移最大,其中施工最大双悬臂状态的中跨跨中竖向位移均方根达0.24 m(如图 10中的时域计算结果)。究其原因,第一阶振型的主梁竖向“跷跷板”运动频率很低,仅为0.190 6 ,不足第二阶振型频率的一半,在振动分量中占有很大的成份,考虑到峰值因子对抖振位移的放大作用,在施工中应注意该项振动位移,主动避开大风期施工或者采取必要措施保证施工的顺利进行。(4)加劲梁横桥向抖振位移与扭转角抖振位移均较小,这说明双塔斜索面钢箱梁斜拉桥体系的侧向刚度和扭转刚度均较大。(5)施工最大双悬臂状态中跨悬臂端点和中跨悬臂中点的扭转角均方根几乎一致。
分析时域与频域计算结果发现:不考虑抖振力非定常特性(即气动导纳取为1)时计算的抖振位移最大;相比时域计算结果会夸大50%以上,考虑抖振力的非定常特性(气动导纳为Sears函数)时计算的抖振位移最小;采用时域法计算的抖振位移介于两者之间。这是由于准定常抖振力模型夸大了风荷载的相关性,所以计算结果会偏大,对于近流线型的钢箱梁而言,Sears函数做为气动导纳来修正抖振力模型的非定常特性有一定的准确性,同时频域计算方法仅考虑了前20阶模态而忽略了高阶模态的影响,且无法考虑荷载非线性,而时域计算方法不存在模态取舍问题,还可以考虑各种非线性,所以时域计算结果比气动导纳取Sears的频域计算要大得多。另外,导纳取1与取Sears函数的主梁竖向位移响应计算结果相差较大,而横向和扭转结果相差不大,这是因为无论是成桥状态还是施工状态,竖向振动频率都低于横向振动频率和扭转振动频率,考虑Sears函数后竖向抖振位移功率谱受低频影响最大,而抖振位移对低频敏感,所以两者竖向抖振位移计算差距最大。
考虑到时域计算结果相对精确,表 3给出了设计基准风速下,采用时域法计算的主跨主要控制点的静风与抖振内力响应,可供施工控制和成桥运营提供参考。
| 状态 | 截面 | 轴力/N | 侧向剪力/N | 竖向剪力/N | 扭矩/(N·m) | 竖向弯矩/(N·m) | 侧向弯矩/(N·m) |
| 成桥状态 | 跨中 | 9.77E+05 | 2.66E+04 | 1.51E+06 | 7.82E+06 | 4.70E+07 | 2.57E+07 |
| 1/4跨 | 6.04E+06 | 2.72E+05 | 9.82E+05 | 9.41E+06 | 3.06E+07 | 1.44E+07 | |
| 支座处 | 7.35E+06 | 3.93E+05 | 9.02E+05 | 7.55E+06 | 2.55E+07 | 2.00E+07 | |
| 施工最大双悬臂状态 | 1/4跨 | 1.36E+06 | 1.25E+05 | 4.14E+05 | 1.13E+07 | 1.09E+07 | 9.23E+06 |
| 支座处 | 1.47E+06 | 2.05E+05 | 7.76E+05 | 1.02E+07 | 3.67E+07 | 5.21E+06 | |
| 施工最大单悬臂状态 | 1/4跨 | 3.93E+06 | 1.77E+05 | 5.69E+05 | 1.03E+07 | 1.81E+07 | 1.71E+07 |
| 支座处 | 4.44E+06 | 2.73E+05 | 5.73E+05 | 7.63E+06 | 2.41E+07 | 1.89E+07 |
通过对一座典型斜拉桥成桥状态与施工最大单悬臂和最大双悬臂状态时频域抖振计算分析,得到以下主要结论:
(1)由于大桥采用双塔斜索面钢箱梁斜拉桥体系,使结构侧向和扭转刚度较大,成桥状态和施工状态在设计基准风速下的横桥向和扭转角抖振位移均较小,施工最大双悬臂中跨悬臂端点竖桥向抖振位移较大,在施工中应妥善处理。
(2)在主梁设计基准风速下,成桥与施工状态下的主塔塔顶抖振位移均较小,施工过程中可以不考虑主塔顶部的位移控制。
(3)进行脉动风场空间相关性修正或者采用Sears函数等气动导纳进行抖振力修正的时域计算分析方法,可以考虑各种非线性因素,因而理论上能够较好地反映斜拉桥的抖振响应。本文算例表明不考虑气动导纳的频域计算会夸大斜拉桥的抖振响应,考虑Sears函数作为气动导纳的频域计算结果比时域计算结果偏低,这是由于频域法无法考虑全部非线性因素和Sears函数作为该主梁断面气动导纳的局限性综合作用导致的。
| [1] | SIMIU E, 斯坎伦 罗伯特 H.风对结构的作用-风工程导论[M]. 刘尚培,项海帆,谢霏明,译.上海:同济大学出版社,1992. SIMIU E, SCANLAN R H. Wind Effects on Structures:An Introduction to Wind Engineering[M]. LIU Shang-pei, XIANG Hai-fan, XIE Ji-ming, translated. Shanghai: Tongji University Press, 1992. |
| [2] | SIMIU E, SCANLAN R H. Wind Effects on Structures: Fundamentals and Applications to Design [M]. 3rd ed. New York: John Wiley & Sons Incorporation, 1996. |
| [3] | 陈政清.桥梁风工程[M].北京:人民交通出版社,2005. CHEN Zheng-qing. Bridge Wind Engineering[M]. Beijing: China Communications Press, 2005. |
| [4] | JAIN A, JONES N P, SCANLAN R H. Coupled Flutter and Buffeting Analysis of Long-span Bridges [J]. |
| [5] | KATSUCHI H, JONES N P, SCANLAN R H,et al. A Study of Mode Coupling in Flutter and Buffeting of the Akashi-Kaikyo Bridge [J]. Journal of Structural Mechanics and Earthquake Engineering, JSCE, 1998,15(2): 21-36. |
| [6] | KATSUCHI H, JONES N P, SCANLAN R H. Multimode Coupled Flutter and Buffeting Analysis of the Akashi-Kaikyo Bridge [J]. |
| [7] | 丁泉顺, 陈艾荣,项海帆. 大跨度桥梁结构耦合抖振响应频域分析[J].土木工程学报,2003,36(4):86-93. DING Quan-shun, CHEN Ai-rong, XIANG Hai-fan. Response of Coupled Buffeting to Long-span Bridges in Frequency-domain[J]. China Civil Engineering Journal, 2003,36(4):86-93. |
| [8] | 杨咏漪, 廖海黎,李永乐. 大跨度桥梁风致抖振疲劳频域分析[J].空气动力学学报,2009,27(1):11-16. YANG Yong-yi, LIAO Hai-li, LI Yong-le. Study on the Analyzing Method of Buffeting-induced Fatigue of Long-spanned Bridge in Frequency Domain[J]. Acta Aerodynamica Sinica,2009,27(1):11-16. |
| [9] | 曹映泓, 项海帆,周颖. 大跨度桥梁颤振和抖振统一时程分析[J].土木工程学报,2000,33(5):57-62. CAO Ying-hong, XIANG Hai-fan, ZHOU Ying. Combined Flutter and Buffeting Analysis in Time Domain for Long-span Bridges[J]. China Civil Engineering Journal,2000,33(5):57-62. |
| [10] | 胡晓伦.大跨度斜拉桥颤抖振响应及静风稳定性分析[D].上海:同济大学, 2006. HU Xiao-lun. Flutter, Buffeting and Aerostatic Stability Analysis for Long-span Cable-stayed Bridge[D]. Shanghai: Tongji University, 2006. |
| [11] | 李永乐, 廖海黎,强士中.桥梁抖振时域和频域分析的一致性研究[J].工程力学,2005,22(2):197-183. LI Yong-le, LIAO Hai-li, Qiang Shi-zhong. Bridge Buffeting Analysis in Time and Frequency Domains[J]. Engineering Mechanics,2005,22(2):197-183. |
| [12] | 韩万水,陈艾荣. 考虑桥塔风场效应的斜拉桥抖振时域分析[J].工程力学,2007,24(1):123-128. HAN Wan-shui, CHEN Ai-rong. Time-domain Buffeting Analysis of Cable-stayed Bridge Considering Pylon Wind Field[J]. Engineering Mechanics,2007,24(1):123-128. |
| [13] | 何晗欣, 刘健新.大跨窄面悬索桥抖振时域精细化分析[J].公路交通科技,2011,28(5):68-72. HE Han-xin, LIU Jian-xin. Refined Analysis of Buffeting in Time Domain for Long-span and Slender Suspension Bridge[J]. Journal of Highway and Transportation Research and Development,2011,28(5):68-72. |
| [14] | 张志田, 葛耀君.考虑抖振影响的大跨度桥梁静风稳定性分析[J].工程力学,2006,23(8):96-101. ZHANG Zhi-tian, GE Yao-jun. Aerostatic Instability Analysis of Long-span Bridges Including Buffeting Effect[J]. Engineering Mechanics,2006,23(8):96-101. |
| [15] | 赵林, 葛耀君,项海帆.响应谱MC模拟的桥梁抖振首次超越研究[J].工程力学,2006,23(1):123-129. ZHAO Lin, GE Yao-jun, XIANG Hai-fan. Monte Carlo Simulation Approache to First Passage Probability in Bridge Buffeting Response[J]. Engineering Mechanics,2006,23(1):123-129. |
| [16] | 胡亮, 李黎,彭元诚,等. 大跨桥梁抖振时域分析的程序化方法[J].中国公路学报,2006,19(6):59-64. HU Liang, LI Li, PENG Yuan-cheng, et al. Computerized Approach for Buffeting Time-Domain Analysis of Long-Span Bridge[J]. China Journal of Highway and Transport,2006,19(6):59-64. |
| [17] | 卢伟,强士中, 周述华. 斜拉桥抖振响应非线性时程分析[J].桥梁建设,2001,3(1):11-13. LU Wei, QIANG Shi-zhong, ZHOU Shu-hua. Nonlinear Time-domain Buffeting Analysis of Cable-stayed Bridge[J]. Bridge Construction,2001,3(1):11-13. |
| [18] | 丁泉顺,陈艾荣,项海帆. 大跨度桥梁空间脉动风场的计算机模拟[J].力学季刊,2006,27(2):184-189. DING Quan-shun, CHEN Ai-rong, XIANG Hai-fan. Simulation of Spatial Fluctuating Wind Field on Long Span Bridges[J]. Chinese Quarterly of Mechanics, 2006,27(2):184-189. |
| [19] | ANDERSON J D. Fundamentals of Aerodynamics[M]. New York: McGraw-Hill, Inc.,1991. |
| [20] | JTG/T D60-01—2004,公路桥梁抗风设计规范[S]. JTG/T D60-01—2004, Wind-resistant Design Specification for Highway Bridges[S]. |
2015, Vol. 31
