扩展功能
文章信息
- 张永亮, 陈兴冲
- ZHANG Yong-liang, CHEN Xing-chong
- 基于非线性Pushover分析的单桩横向受力特性研究
- Research on Lateral Load Bearing Behavior of Single Pile Based on Nonlinear Pushover Analysis
- 公路交通科技, 2015, Vol. 31 (1): 96-101
- Journal of Highway and Transportation Research and Denelopment, 2015, Vol. 31 (1): 96-101
- 10.3969/j.issn.1002-0268.2015.01.016
-
文章历史
- 收稿日期:2014-03-10
在正常使用时,桥梁桩基础的变位一般较小,可采用线弹性地基反力法——m法对桩基础进行受力分析。我国现行的铁路桥涵地基和基础设计规范规定[1]:规范给出的m值仅适用于地面处水平位移不超过6 mm的情况,当位移较大时,m值应适当降低。事实上,土是一种具有强烈非线性的介质,在基础变位较小的情况下,就表现出较明显的非线性。在强震作用下通常基础的水平变位较大,地基土或桩身将处于明显的非线性受力状态,此时m法将不再适用。若考虑地基土的塑性耗能作用,将明显降低墩身的地震反应[2]。考虑到桩基础若在地震中发生损伤通常很难检测到,并且加固维修的费用也非常高,因此在能力保护设计理念中,通常将桩基础按弹性设计[3]。这种设计方法在大跨度桥梁以及铁路桥梁中,由于桥墩本身的刚度较大,导致基础受到的地震作用也非常大,在大震时若要求基础保持弹性不仅给设计增加了难度,有时甚至难以实现。
目前,日本铁道抗震设计规范[4]给出了考虑地基土及桩身非线性的桥梁桩基础静力推倒分析模型,并利用结构整体的稳定水平及桩构件的损伤水平两个指标衡量桩基础的抗震性能。美国LRFD桥梁抗震设计指南[5]也指出了能力保护原则的一个例外,即允许桩基础位于地面以下的桩身发生有限的非弹性变形。但这些定量抗震分析方法均要求以合理的桩基础非线性静力计算模型为前提。
目前,关于桩基础的静力计算模型及试验研究,国内外已取得了较多的研究成果。Chai Y. H. (2002)[6],Hsiung Y.M.(2006)[7]与Chiou J. S. (2009)[8]等对单桩基础的静力分析模型进行了研究,总结了单桩位移延性系数的影响参数。Andreas J.Kappos (2001)[9]在研究基础类型及柔度对钢筋混凝土桥梁地震反应的影响时,提出了以弹性二维梁单元及非线性转动弹簧组合模拟墩柱及桩构件的弹塑性,地基土的力学参数采用双线性化的p-y曲线表达,并用非线性平动弹簧模拟。叶爱君[10]采用Pushover方法研究了群桩基础的抗震性能,将桥梁桩基础作为一个整体构件,桩身采用弹塑性梁单元模拟,桩周土抗力采用基于p-y曲线的非线性弹簧模拟。陈明山(2004)[11]提出引进p-y曲线,t-z曲线及q-z曲线作为桩与土层间的连接接口,并分析了地基土壤参数的变化对基础设计的敏感度。
对于群桩基础,由于受到刚性承台的约束,每根桩的桩头不是自由变形的。为了进一步研究群桩基础的水平承载能力及变形性能,本文首先以固定桩头约束下的单桩(相当于群桩基础中的一个桩)为研究对象,研究在地基土以及桩身进入非线性状态下的单桩水平极限承载能力及变形能力。采用非线性静力Pushover分析方法,应用分布塑性铰模型模拟桩身的弹塑性,以p-y曲线模拟桩侧地基土抗力,对固定约束桩头的单桩基础进行了分析,系统总结了其受力特点及变形规律。该分析方法可为群桩基础的静力Pushover分析奠定基础,而一旦获得了群桩基础的Pushover曲线,经转化可得到其能力曲线,该曲线为应用能力谱法评估桩基础抗震性能非常重要的曲线之一。 1 单桩静力非线性推倒分析模型 1.1 分析模型
典型的固定桩头单桩静力推倒分析模型,见图 1。固定桩头约束采用双链杆方法模拟,见图 2。静力推倒分析模型采用位移加载模式,即在桩顶施加逐步增大的水平位移,直至桩身截面的曲率达到其极限曲率时为止。
|
| 图 1 单桩静力推倒模型Fig. 1 Static pushover model of single pile |
|
| 图 2 桩头边界约束Fig. 2 Boundary constraint at pile head |
桩身非线性采用分布塑性铰模式模拟,见图 3。该模式将可能发生塑性的区域切割成多个相连的小区段,在每个小区段的中心位置设置一个塑性铰来代替整个小区段的非线性挠曲变形。当某塑性铰位置处的弯矩超过该处截面的屈服弯矩时,代表该塑性铰所在的小区段进入屈服,将这些屈服的小区段塑性铰区域累加求和就可确定出整个塑性铰区的实际范围。因此分布塑性铰模式可不必事先确定塑性铰的发生位置,适用于模拟塑性区域的发展过程。
|
| 图 3 分布塑性铰Fig. 3 Distribution plasticity hinges |
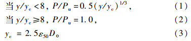
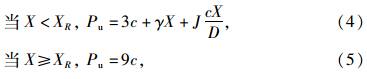
地基土的水平抗力-位移关系采用美国API规范[12]中规定的软黏性土的p-y曲线。软黏土中桩的p-y曲线可按下列公式计算确定:

桩侧单位面积的极限水平土抗力可按下列公式确定:


分析模型桩长为40 m,桩径1.2 m,C30混凝土,轴心抗压强度取为20 MPa,核心约束混凝土采用Mander模型。主筋为HRB335,考虑钢筋硬化进入强化段,箍筋采用Q235。桩身截面弯矩-曲率关系采用Ucfyber程序计算。在桩头以下16 m范围内,单元划分长度为0.5 m,在此范围内的每个单元的i端均设置塑性铰,以模拟桩身的塑性发展历程。在16 m至桩底范围内,单元划分长度为1.0 m。桩底固结,桩头仅释放水平方向的平动位移。地基土仅考虑均匀黏土情况,在各节点处施加非线性土弹簧。采用有限元软件SAP2000建模分析模型,见图 4。
|
| 图 4 有限元计算模型Fig. 4 FE calculation model |
影响桩基础位移延性的主要参数包括:(1)轴压比η;(2)截面纵筋配筋率ρ;(3)截面配箍率μ;(4)黏土抗剪强度c。对于单桩而言,除c外,其余3项影响可由桩身截面的弯矩-曲率关系表达。本文设计的Pushover分析工况见表 1。
| 分析工况 | ρ/% | μ/% | η | c/kN |
| gk1 | 1.00 | 0.40 | -0.1 | 30 |
| gk2 | 1.00 | 0.40 | 0 | |
| gk3 | 1.00 | 0.40 | 0.1 | |
| gk4 | 1.00 | 0.40 | 0.2 | |
| gk5 | 0.56 | 0.40 | 0.1 | 30 |
| gk6 | 1.50 | 0.40 | 0.1 | |
| gk7 | 1.00 | 0.20 | 0.1 | |
| gk8 | 1.00 | 0.40 | 0.1 | 60 |
| gk9 | 1.00 | 0.40 | 0.1 | 90 |
桩顶水平位移及水平力的关系曲线见图 5~图 8,同时将侧推水平力-位移关系根据等能量原则进行双线性化处理。
|
| 图 5 轴压比对Pushover曲线的影响Fig. 5 Influence of axial compression ratio on Pushover curves |
|
| 图 6 配筋率对Pushover曲线的影响Fig. 6 Influence of reinforcement ratio on Pushover curves |
|
| 图 7 配箍率对Pushover曲线的影响Fig. 7 Influence of stirrup ratio on Pushover curves |
根据等效屈服点及极限点的位移及水平力可以定义位移延性系数μΔ与系统过强因子Ω来描述桩-土相互作用的非线性特性。具体定义公式为:

| 分析工况 | Py/kN | Δy/m | Pu/kN | Δu/m | Ω | μΔ |
| gk1 | 530 | 0.009 | 899 | 0.226 | 1.70 | 25.11 |
| gk2 | 678 | 0.012 | 1 009 | 0.108 | 1.49 | 9.00 |
| gk3 | 770 | 0.014 | 1 163 | 0.092 | 1.51 | 6.55 |
| gk4 | 825 | 0.016 | 1 217 | 0.081 | 1.47 | 5.05 |
| gk5 | 723 | 0.014 | 965 | 0.089 | 1.33 | 6.34 |
| gk6 | 825 | 0.015 | 1 311 | 0.095 | 1.59 | 6.33 |
| gk7 | 715 | 0.014 | 1 103 | 0.071 | 1.54 | 5.07 |
| gk8 | 1 070 | 0.010 | 1 518 | 0.071 | 1.42 | 7.10 |
| gk9 | 1 260 | 0.009 | 1 766 | 0.063 | 1.40 | 6.96 |
由图 5~图 8及表 2的分析结果可知:
|
| 图 8 土体强度对Pushover曲线的影响Fig. 8 Influence of soil strength on Pushover curves |
(1)系统过强因子Ω的范围在1.33~1.70之间,且桩身受拉时的系统过强因子明显高于桩身受压时的系统过强因子。
(2)在桩身受压的情况下,系统位移延性μΔ在5.05~7.10之间,当桩身受拉时,系统位移延性明显增大,μΔ最大可达25.11。
(3)随着轴压比的增加,桩身的承载能力逐渐增大,但变形能力却逐渐降低。
(4)随着地基土抗剪强度c的增大,桩顶等效屈服位移及极限位移逐渐减小,但桩顶等效力与极限力逐渐增大。
(5)随着桩身配箍率μ的增大,桩顶极限力增幅约5%,但桩顶极限位移增加较明显,增幅约30%。 3.2 桩身内力及变形分布
gk1及gk4工况下,典型荷载步下的桩身变形及内力图见图 9~图 12。从上图中可知:
|
| 图 9 gk1桩身变形(单位:m)Fig. 9 Deformations of pile shaft under gk1 condition(unit:m) |
|
| 图 10 gk1桩身弯矩Fig. 10 Moments of pile shaft under gk1 condition |
|
| 图 11 gk4桩身变形(单位:m)Fig. 11 Deformation of pile shaft under gk4 condition(unit:m) |
(1)轴压比较小时,随着桩头水平荷载的增加,桩顶负弯矩逐渐增大,而地面以下桩身处最大正弯矩发生位置随着荷载的增大逐步上移。地面以下桩身变形有塑性铰明显的转动变形。
|
| 图 12 gk4桩身弯矩Fig. 12 Moments of pile shaft under gk4 condition |
(2)轴压比较大时,随着桩头水平荷载的增加,桩顶负弯矩变化较小,且地面以下桩身处最大正弯矩发生位置基本不随荷载的增大而发生变化。
(3)当桩顶由于过大的负弯矩产生塑性铰后,对桩身的变形约束能力减弱,从桩身变形曲线上看,逐渐趋于桩头自由时的变形形状。 3.3 桩身塑性铰产生及分布规律
在gk3和gk4作用下桩身的塑性铰发展过程见图 13。图中实心圆点表示桩身已经进入屈服状态,空心圆点表示桩身已经达到极限变形能力。
|
| 图 13 gk3和gk4下桩身的塑性铰发展过程Fig. 13 Development process of plastic hinges under gk3 and gk4 conditions |
从图 13中可以看出:在gk3作用下(轴压比为0.1),首先在桩头产生塑性铰,然后在地面以下桩身产生塑性铰;在gk4作用下(轴压比为0.2),仅在桩头产生塑性铰。 4 结论
通过以上分析,可以得到的结论有:
(1) 桩身受拉时的系统过强因子及系统位移延性系数明显高于桩身受压时的情况。随着轴压比的增大,桩基础的承载能力逐渐增大,变形能力逐渐减小。
(2) 随着地基土抗剪强度c的增大,桩顶等效屈服位移及极限位移逐渐减小,但桩顶等效力与极限力逐渐增大。
(3) 随着桩身配箍率μ的增大,桩顶极限力增幅约5%,但桩顶极限位移增加较明显,增幅约30%,说明提高桩身的配箍率可以明显改善桩基础的变形能力。
(4) 当轴压比较小时,随着桩头水平荷载的增加,可能在桩头及地面以下桩身均产生塑性铰。当轴压比较大时,仅在桩头产生一个塑性铰。
(5) 当桩顶由于过大的负弯矩产生塑性铰后,对桩身的变形约束能力减弱,从桩身变形曲线上看,逐渐趋于桩头自由时的变形形状。
| [1] | TB10002.5—2005,铁路桥涵地基和基础设计规范[S]. TB 10002.5—2005,Code for Design on Subsoil and Foundation of Railway Bridge and Culvert[S]. |
| [2] | 陈兴冲,朱晞. 允许提离的弹塑性Winkler地基上桥墩的地震反应[J]. 工程力学,1999,16(5):101-107. CHEN Xing-chong,ZHU Xi. Seismic Response of Bridge Piers on Elasto-plastic Winkler Foundation Allowed to Uplift[LL][J]. Engineering Mechanics,1999,16(5):101-107. |
| [3] | 范立础,胡世德,叶爱君.大跨度桥梁抗震设计[M].北京:人民交通出版社,2001. FAN Li-chu,HU Shi-de,YE Ai-jun. Seismic Design of Long-span Bridges[M]. Beijing:China Communications Press,2001. |
| [4] | 日本の鉄道総合技術研究所. 鉄道構造物などの設計基準及び解説V 耐震設計[S].東京:丸善株式会社出版事業部, 1999. Japan Railway Technical Research Institute. Seismic Design Standards and Explanations for Railway Structures[S]. Tokyo: Publishing Department of Maruzen Co., Ltd., 1999. |
| [5] | American Association of State Highway and Transportation Officials. AASHTO LRFD Bridge Design Specifications[S]. Washington,D.C.:AASHTO,2009. |
| [6] | CHAI Y H. Flexural Strength and Ductility of Extended Pile-shafts. I:Analytical Model[J]. Journal of Structural Engineering,2002,128(5):586-594. |
| [7] | HSIUN Y M,CHEN S S,CHOU Y C. Analytical Solution for Piles Supporting Combined Lateral Loads[J]. |
| [8] | CHIOU J S,YANG H H,CHEN C H. Use of Plastic Hinge Model in Nonlinear Pushover Analysis of a Pile[J]. |
| [9] | KAPPOS A J, SEXTOS A G.Effect of Foundation Type and Compliance on Seismic Response of RC Bridges[J]. Journal of Bridge Engineering,2001,4(3):120-130. |
| [10] | 叶爱君,鲁传安. 基于Pushover分析的群桩基础抗震性能分析方法[J]. 土木工程学报,2010,43(2):88-94. YE Ai-jun,LU Chuan-an. A Seismic Performance Analysis Approach Based on Pushover Analysis for Group Pile Foundations[J]. China Civil Engineering Journal,2010,43(2):88-94. |
| [11] | 陈明山,段绍纬,黄永和,等. 地震地区高速铁路桩基础设计考虑[J]. 岩土工程学报,2004,26(6):761-766. CHEN Ming-shan,DUAN Shao-wei,HUANG Yong-he,et al. Design Consideration of Pile Foundations of High Speed Rail Project in Seismic Area [J]. Chinese Journal of Geotechnical Engineering,2004,26(6):761-766. |
| [12] | American Society of Civil Engineers. Prestandard and Commentary for the Seismic Rehabilitation of Buildings[S]. Washington,D. C.:Federal Emergency Management Agency,2000. |
2015, Vol. 31
