扩展功能
文章信息
- 王云泽, 潘兵宏, 邵阳
- WANG Yun-ze, PAN Bing-hong, SHAO Yang
- 互通式立交分流选择行为概率模型研究
- Study on Probability Model of Diverging Selection Behavior at Interchange
- 公路交通科技, 2014, Vol. 31 (12): 104-109
- Journal of Highway and Transportation Research and Denelopment, 2014, Vol. 31 (12): 104-109
- 10.3969/j.issn.1002-0268.2014.12.017
-
文章历史
- 收稿日期:2013-11-06
2. 长安大学特殊地区公路工程教育部重点实验室, 陕西 西安 710064
2. Key Laboratory for Special Area Highway Engineering of Ministry of Education, Chang'an University, Xi'an Shaanxi 710064, China
互通式立交作为高速公路的重要组成部分,承担着高速公路车辆出入及交通流转换的功能,是高速公路通行能力、运行安全和驾驶舒适性的薄弱环节。出口匝道更是互通式立交通行能力的瓶颈和安全的薄弱点,在分流区驾驶人以较高的速度从主线驶入设计速度较小的匝道上,车辆有一个减速的过程,为使车辆能够安全、舒适地驶出,必须使减速车道的线形设计满足车辆驶出时速度变化的要求。我国现行《公路路线设计规范》(JTG D20-2006)(以下简称《规范》 )[1] 中对减速车道长度的规定值是在参考日本分析计算结果,同时针对我国国情进行调整,并结合其他国外经验和设计的基础上而规定的。并且传统的匝道减速车道设计方法多是按照理想状态设计,即假设准备驶离高速公路的车辆在三角渐变段的起点已准备与主线车辆分流[2, 3, 4, 5, 6],然后以主线和匝道设计速度分别作为始末速度作为计算参数来设计减速车道线形和长度。按此方法设计的减速车道长度简单,易于计算,但局限了驾驶人分流的位置和运行速度[7 ,8],忽略了大多数驾驶人因出口附近分流车辆较多、车头视距过小或车辆运行速度较高等因素选择延迟分流的状况,不能反映车辆的实际行驶状况,存在着不安全的因素。为克服上述基于理想性假设的单纯理论分析方法所带来的各种事故隐患,更人性化、切实性地研究互通式立交分流区驾驶人综合判断道路状况和道路条件等客观因素,并根据自身的运行速度和所在位置选择分流的行为特性,本文从道路实际路况出发,拟采用二项logistic(Binary logistic,以下简称BL)模型的方法研究互通式立交分流选择行为及其影响因素和影响程度,以期研究建立驾驶人在互通式立交分流区分流选择行为的概率模型的方法,为互通式立交减速车道几何设计、安全评价和交通控制管理提供参考。1 分流行为概率函数的建立 1.1 二项特性描述
互通式立交分流区驾驶人的选择行为具体的表现可以描述为:一方面,需要分流的分流车辆,驾驶人面对减速车道的某个位置(在到达分流鼻点之前),有且仅有接受分流或暂时拒绝分流两种选择;另一方面,驾驶人的判断结果会受到众多因素影响,驾驶人将根据自己的意愿随机决定是否接受分流,因此驾驶人分流选择行为具有较大的随机性和复杂性。为正确描述这种二项选择行为,即接受或暂时拒绝该位置分流,并体现驾驶人选择分流位置的随机特性,通过对接受间隙模型进行分析发现,采用BL概率模型可以较好地描述驾驶人在减速车道某一具体位置是否选择接受分流,且BL概率模型具有二项随机特性。
BL模型的建立需要基于以下2个假设:
(1)个人是交通行为意志决定的最基本单位。
(2)根据效用理论,在特定的选择条件下,个人会选择其所认知的选择方案中效用最大的方案。且选择某方案的效用也会因该方案所具有的特性、个人的特性等因素而异[9]。
这种假设与分流车辆表现出的分流行为是相特性一致的。具体地讲,就是考虑影响驾驶人是否选择分流各种因素的综合作用,并选取效用最大的方案。因此效用函数的确定是分流行为模型的基础。 1.2 确定效用函数
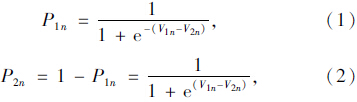
BL选择模型就是选择方案的集合中仅有2项选择方案,并从这2项选择方案中选择其一的模型。对于驾驶人是否进入减速车道的二项Logistic模型,设驾驶人n选择方案的集合为An{接受,拒绝}两项,效用函数为线性函数。选择接受和拒绝的概率分别由式(1)和(2)[9]给出:


构成效用函数的重要指标Xink称为特征变量,如何选取这些指标是建立模型的关键。相关研究表明,高速公路互通式立交分流选择行为主要受运行速度、交通量、车头时距等因素的影响。下面对这些因素进行分析,以确定构成效用函数的指标。
(1)我国《规范》[1]中规定,减速车道的长度是由主线设计速度决定的(如表 1)。但是基于设计速度的路线设计方法采用的是恒定速度,与汽车实际行驶规律不符,存在一定的盲目性和不具体性。设计速度法未考虑车辆的动力特性和运行规律、相邻路段的相互影响以及路线所在区域的实际因素,在互通式立交分流区,存在一些驾驶人片面追求较高的运行速度的情况,若不及时分流,就会产生延迟分流的驾驶行为[10]。因此,利用运行速度对减速车道进行设计和评价已经成为交通安全的关键。
| 变速车道类别 |
主线设计速度/ (km·h-1) |
变速车道长度/ m |
渐变率/ (1·m-1) |
渐变段长度/ m |
主线硬路肩或其 加宽后的宽度C1/m |
分、汇流鼻 端半径r/m |
分流鼻处匝道左侧 硬路肩加宽C2/m | |
| 出口 | 单车道 | 120 | 145 | 1/25 | 100 | 3.5 | 0.60 | 0.60 |
| 100 | 125 | 1/22.5 | 90 | 3.0 | 0.60 | 0.80 | ||
| 80 | 110 | 1/20 | 80 | 3.0 | 0.60 | 0.80 | ||
| 60 | 95 | 1/17.5 | 70 | 3.0 | 0.60 | 0.70 | ||
| 双车道 | 120 | 225 | 1/22.5 | 90 | 3.5 | 0.70 | 0.70 | |
| 100 | 190 | 1/20 | 80 | 3.0 | 0.70 | 0.70 | ||
| 80 | 170 | 1/17.5 | 70 | 3.0 | 0.70 | 0.90 | ||
| 60 | 140 | 1/15 | 60 | 3.0 | 0.60 | 0.60 |
(2)车辆通过互通式立交分流区时,因分流车辆向主线外侧车道转移,而直行车辆为寻求较高的行驶速度向主线内侧转移,与分流车辆相互交织,极易造成主线交通紊乱。当分流交通量较大时,若主线即时交通量远小于设计交通量,则可以认为直行车的行车延误忽略不计,车辆排队及延误仅表现为分流车辆的排队及延误;当分流交通量和主线交通量都较大时,主线大部分位置均能保证除最外侧车道外的其余车道的畅通性,而在分流区的最外侧车道会混合大量的分流车辆,从而使最外侧车道始终处于过饱和状态,导致分流车辆排队和延误。因此,需要考虑匝道即时交通量对驾驶人分流选择行为的影响。
(3)在交通流和通行能力的研究中,车头时距是重要的参数,是进行交通模拟、应用间隙理论进行通行能力分析、选择交通控制方法的基本要素[11]。互通立交减速车道的分流过程从某种意义上说是驾驶人追求较小车头时距的过程,但因不同驾驶人的反应特性及客观因素的差异,造成车辆行驶的不规律性,从而不可能使所有车辆都保持期望的车头时距,这也会影响驾驶人分流行为选择。
(4)分流车辆的变换车道模式随着车辆距离出口匝道距离的不同表现为3种模式:直接式、调节式和挤入式[12]。直接式变换车道发生在三角渐变段的最开始处或者是没有减速车道的出口匝道处,调节式变换车道发生在减速车道中间路段,挤入式变换车道发生在分流鼻点之前的减速车道结束区间。依据驾驶人的心理特性可知,越接近分流鼻点,驾驶人越急切接受分流的选择。
(5)出口匝道的车道数也会对分流行为造成一定的影响,但一般多车道出口匝道前段会设置辅助车道,内侧车道一般比外侧车道要短,并且内侧车辆分流需要与外侧车道直行车辆交织,内侧车道属于最不利位置,单独研究内侧车道并平行设置外侧车道会相对安全,因此不必考虑车道数的影响。一般互通式立交出口渐变段起点前方2,1 km和500 m处均设有预告标志,驾驶人在渐变段起点之前就已根据交通标志提前预判做好分流准备,这是一种共性特征,但在渐变段和减速车道上完成分流、减速过程时却主要受到上述(1)~(4)等条件的影响,因此交通标志的设置对驾驶人分流选择行为影响较小。另外天气、积水和路面损坏等偶然性因素可变程度太大,本研究中暂不考虑。
综合以上分析,驾驶人是否接受分流的影响因素主要包括:分流车辆分流时的运行速度、匝道即时小时交通量、匝道车头时距以及驾驶人选择分流时所处位置至分流鼻点的距离等。在众多的效用函数形式中,线形效用函数结构较为简单,具有非线性函数所没有的叠加效用,当某一结果受多个因素同时作用时,线性函数便可以把各个因素同时作用的结果模拟成多个因素单独作用的结果之和;同时,由于其不失一般性,所以被较为普遍使用,以下将以线性形式建立效用函数。
将上述4个变量作为特征变量,提出的线性形式效用函数如式(4):

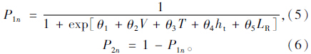
将效用函数代入到接受分流和拒绝分流的概率中可得到式 (5)和(6):

利用计算机技术,可以很快的求解θi,建立驾驶员行为选择模型,并进行验证。具体流程图如下:
|
| 图 1 互通式立交分流选择模型建立流程图 Fig. 1 Flowchart of establishing interchange diverging choice model |
通过录像带回放或者现场观测的方法,记录每一辆分流车辆的运行速度、匝道即时小时交通量,匝道的车头时距以及分流的位置等数据,来标定模型中的特征变量。其中,运行速度是指分流车辆由主线开始分流时的运行速度;匝道即时小时交通量是指车辆分流时刻所在15 min内匝道交通量换算成的小时交通量;匝道车头时距是指在匝道上行驶的车辆队列中,两连续车辆车头端部通过驾驶人n所在断面的时间间隔;分流的位置是指车辆开始分流时所处的地点距分流鼻点的距离。 2.2 求解各特征变量系数
求解各特征变量系数即计算似然函数L极大时的估计值
。假设有N个样本,若驾驶人n选择i的概率为Pin,选择的结果为δin,则可以得到式(7):

,选择结果与i相同时取1,反之取0。可得到如下式(8)所示的似然函数:

对未知参数θi取对数可以得到对数似然估计函数式(9):

进行数据处理时,选取驾驶人在某一位置先拒绝分流,然后在后面某一位置接受分流为一组数据,作为驾驶人的效用依据。然后利用数据计算法,如牛顿-拉普拉法和DGP法计算θi的值即为似然函数L极大时的估计值
。
2.3 t值计算和模型检验
在上文中,各个特征变量都是通过交通调查、实验模拟和事故推理等方法得出的,需要采用t检验的方法来验证上述因素对分流选择行为是否有影响。
t值由式(10)获得:

k为第k个特征变量所对应的参数θk的估计值,vk为E[-▽2L(
)]-1中的第k个对角元素。
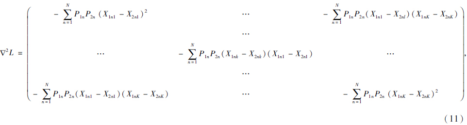
▽2L(
)可由式(11)得来:t值由式(10)获得:
当t的绝对值大于1.96(2.576),在5%(1%)的显著性水平上,可以拒绝假设H0∶θk=0。另外,如果t的绝对值小于1.96(2.576),在5%(1%)的显著性水平上,不能放弃θk=0的假设。即当|tk|>1.96(2.576)时,有95%(99%)的把握认为相应的特征变量Xink是选择概率产生的影响因素。相反|tk|≤1.96(2.576)时,在95%(99%)的可靠性水平上认为相应的特征变量Xink不对选择概率产生影响,则可将该特征变量Xink从影响原因中排除后,再重新估计参数。
检验模型的准确性通过相关性ρ2检验获得。ρ2是优度比又称为Mcfadden决定系数(式11)。其值在0到1之间,ρ2的值越接近1,表示模型的适合度越高。

通过不断的循环检验最终得到有效的特征变量和系数,得到互通式立交分流区驾驶员分流选择行为概率模型。 3 模型应用
本文选取了京津高速公路上的3座互通式立交的调查数据进行应用,并利用SPSS软件进行分析计算,经参数检验后,4个变量参数均为有效变量,结果见表 2。
| B | S.E. | Wals | df | Sig. | Exp(B) | |
| LR | -0.382 | 201.259 | 0 | 1 | 0.998 | 0.683 |
| ht | -2.546 | 1 880.553 | 0 | 1 | 0.999 | 0.078 |
| T | -0.083 | 95.578 | 0 | 1 | 0.999 | 0.920 |
| v | 1.574 | 857.578 | 0 | 1 | 0.999 | 4.827 |
| -12.276 | 51 323.916 | 0 | 1 | 1.000 | 0.000 |
根据上表logistic模型建立了分流选择行为概率与分流车辆分流时的运行速度、匝道即时小时交通量、匝道车头时距以及驾驶人选择分流时所处位置至分流鼻点的距离等因素之间的关系,即:

由式(12)可以看出,当其他特征变量不变时,针对单一特征变量有以下特征:
(1)追求较大运行速度的驾驶人一般会较晚的选择分流,这是因为主线的运行速度较快,驾驶人希望暂时远离设计速度较小的匝道;
(2)匝道即匝道车头时距越大时,驾驶人选择分流概率越大,这是因为较大的车头时距为驾驶人提供良好的变换车道空间;
(3)车辆至分流鼻点的距离越大时,驾驶人选择分流的概率越大,这是因为极大多数谨慎的驾驶人习惯在减速车道前半段分流;
(4)匝道即时小时交通量对分流概率的影响相对较小,这是因为减速车道宽度和长度是根据匝道的通行能力设计的,充分考虑了此处的高峰小时交通量。 4 分流选择行为模型的作用
互通式立交分流选择行为模型是在综合考虑减速车道上多种影响因素的基础上建立的,利用各种因素单独作用的叠加效果来确定驾驶人分流行为选择概率。通过分流选择行为模型建立的理论依据和分析过程,具有指导新建减速车道设计和对已建减速车道安全评价的作用。 4.1 指导减速车道设计
根据交通调查和资料显示,在减速车道设计时,包括远景小时交通量、车辆运行速度等因素在内的每个设计参数都可能对驾驶人的选择行为产生影响。利用分流选择行为模型可以对减速车道设计参数进行标定,通过调整设计参数的量值或者安全系数,协调各影响因素之间的关系,即可设计出满足期望分流选择概率的减速车道。避免了设计中因单一因素(如地形、交通量等)的限制而出现的减速车道布设困难、占地面积过大、费用增加等问题,提高了减速车道设计的灵活性、安全性和适应性。 4.2 指导减速车道安全评价
通过上述分流选择行为模型的建立过程,可发现此模型不仅可以对文中的4种影响因素进行检验,也可以对影响分流选择行为的大多数因素进行检验。在建立模型时,将需要考虑因素代入模型,通过数值计算得到线性函数,利用t检验即可得出此因素对分流选择行为影响程度的大小。根据期望的分流选择行为选择的概率,对减速车道上各种影响因素进行检验,并标定相应的安全系数,即可对已建减速车道进行安全性评价。
利用此模型可以综合考虑减速车道上的各种因素,全面地反映分流区的状况。同时模型中线性函数的特性也简化了评价指标体系的复杂化,给实际应用提供了方便,并可以使大部分主要因素指标量化,客观性较强,指标之间无重复,评价内容不叠加,大大提高了评价方法的可信度。 4.3 指导交通控制管理
利用互通式立交分流选择行为模型研究影响安全和舒适性的主要因素,可为交通设施的布置和交通管理提供支持。通过试验研究可以得出以下结论:
(1)驾驶员对立交出口预告标志的认读具有提前性,立交出口预告标志的设置应考虑驾驶员认读的提前性,确保驾驶人提前换道进入外侧车道等待分流。
(2)当减速车道长度不够长时,在二次减速路段或车辆减速后车速调整段必需设置减速振荡带强制减速。 5 结论
(1)研究利用试验路段的交通流统计数据,通过检验标定相关参数,并对模型的合理性和有效性进行验证,可直观具体地反映分流车辆运行速度、交通流量 、车头时距和分流位置等因素对驾驶人分流行为的影响,为互通式立交减速车道几何设计、安全评价和交通控制管理提供了依据。
(2)驾驶人的心理特征无时不刻不受外界的影响,不同地域、路段的驾驶人会因心理变化选择不同的驾驶行为,本研究调查的数据相对较少、调查区域范围较小,只是针对上述路段建立了模型,不具有普遍性。在以后的工作中,应扩大范围采集大量的样本以提高模型的广泛性和精确性。
| [1] | JTG D20—2006,公路路线设计规范[S].JTG D20—2006,Design Specification for Highway Alignment[S]. |
| [2] | 陈泰忠,吴九懿. 互通式立交减速车道长度设计[J].中南公路工程,2003,28 (3):56-58.CHEN Tai-zhong,WU Jiu-yi. Discussion on Length Design of Deceleration Lane at Interchanges[J]. Central South Highway Engineering,2003,28 (3):56-58. |
| [3] | 于恩亚,孟巧娟. 互通立交变速车道的探讨[J].重庆交通学院学报,2006,25(S1):68-70.YU En-ya,MENG Qiao-juan. Discussion on Speed Change Lane at Interchange [J]. Journal of Chongqing Jiaotong University,2006,25(S1):68-70. |
| [4] | 史静,沈穗娜. 互通式立交变速车道长度研究[J].中外公路,2011,31(4):309-314.SHI Jing,SHEN Sui-na.Study on Length of Speed-change Lane at Interchange[J].Journal of China & Foreign Highway,2011,31 (4):309-314. |
| [5] | 张慧杰,程炜. 高速公路互通立交加减速车道长度设计[J]. 交通标准化,2012,(12):130-132.ZHANG Hui-jie,CHENG Wei. Length Design of Acceleration and Deceleration Lane at Expressway Interchange[J]. Transportation Standardization,2012,(12):130-132. |
| [6] | 王春娥. 高速公路立交变速车道长度研究[J].公路交通科技,2013,30(1):120-125.WANG Chun-e.Length of Speed-change Lane at Highway Interchange[J]. Journal of Highway and Transportation Research and Development,2013,30(1):120-125. |
| [7] | 赵晓翠,杨峰,赵妮娜. 高速公路互通立交分流区的驾驶行为[J]. 公路交通科技,2012,29(9):143-145. ZHAO Xiao-cui,YANG Feng,ZHAO Ni-na. Driving Behavior in Diverging Area of Expressway Interchange[J]. Journal of Highway and Transportation Research and Development,2012,29(9):143-145. |
| [8] | 苏世毅. 基于运行速度设计方法的互通立交出口匝道设计[J]. 北方交通,2010 (7):42-44.SU Shi-yi.Interchange Off-ramp Design Based on Design Method of Running Speed[J]. Northern Communications,2010 (7):42-44. |
| [9] | 关宏志.非集计模型:交通行为分析的工具[M].北京:中国交通出版社,2004.GUAN Hong-zhi. Disaggregate Model:A Tool of Traffic Behavior Analysis [M]. Beijing:China Communications Press,2004. |
| [10] | 朱凌. 高速公路动态交通流仿真及应用研究[D]. 南京:东南大学,2006.ZHU Ling. Study of Expressway Traffic Simulation and Its Application [D]. Nanjing:Southeast University,2006. |
| [11] | 邱荣华.互通立交分流区交通流特性研究[D].南京:东南大学,2006.QIU Rong-hua. Research on Traffic Characteristic of Interchange Diverging Area [D]. Nanjing:Southeast University,2006. |
| [12] | 李征.高速公路匝道微观仿真模型研究[D].北京:北京工业大学,2001.LI Zheng. Study on Microcosmic Simulation Model of Freeway Ramp [D]. Beijing:Beijing University of Technology,2001. |
2014, Vol. 31
