扩展功能
文章信息
- 胡郁葱, 欧阳剑, 欧阳翔
- HU Yu-cong, OUYANG Jian, OUYANG Xiang
- 路径流量唯一性实证研究
- Empirical Study on the Uniqueness of Route Flow
- 公路交通科技, 2014, Vol. 31 (12): 84-91
- Journal of Highway and Transportation Research and Denelopment, 2014, Vol. 31 (12): 84-91
- 10.3969/j.issn.1002-0268.2014.12.014
-
文章历史
- 收稿日期:2014-03-17
交通分配是交通需求预测的关键技术,是将OD矩阵中的交通需求按照一定的择路原则分配到路网上,并得到路段流量的过程。择路原则最常用的是Wardrop提出的用户均衡规则,自提出以来一直受到国内外学者的广泛关注,也取得了丰富的理论研究成果。基于该规则而建立的交通分配模型称为均衡模型,其中,求解静态交通均衡模型最经典的算法是Lebaru首先提出的Frank-Wolfe算法[1],该算法具有容易求解的优点,但其收敛速度较慢。为解决该问题,Larsson和Patriksson等提出了求解路径交通量的聚集单纯形分解算法(DSD)和投影梯度算法(GP)[2];Lee等则提出了共轭投影梯度法(CGP)[3];Bar-Gera提出了基于起点的算法(OBA),该算法在收敛速度上有了极大提升[4];Li Min和HU Yu-cong等对OBA进行了进一步的分析和实例验证[5];Dial提出了基于起点的B算法,其效率又比OBA算法有了明显提高[6]。
然而,上述交通分配方法都只能得出唯一的路段流量解,却存在无数组路径流量解,是由于当假设路段阻抗是路段流量的严格增函数时,均衡模型Beckmann变换式的目标函数是路段流量的严格凸函数,因此,均衡模型能求得唯一的路段流量解;而对路径流量不是严格的凸函数,所以路径流量不唯一[7]。为获取唯一的路径流量解,Bar-Gera和Boyce首次提出了比例一致性条件,即:在均衡路网中,各OD对之间的交通需求,在同一组阻抗相等的可替代路径对上的选择比例总是相等的[8],并证明了加入比例一致性条件的用户均衡模型近似等价于求解极大熵条件下的用户均衡交通分配问题,且能获得唯一的路径流量解[9]。2009年,Bar-Gera将该条件加入到基于起点的均衡交通分配算法中,开发出软件TAPAS[10]。2010年,美国联邦公路局对TAPAS与其他商业软件在不同路网交通分配中的性能现进行了比较,结果显示:TAPAS不仅能获得唯一的均衡路径流量解,且在计算精度和效率上都远远高于CUBE,TRANSCAD,EMME或VISUM[11]。接着,Aroon等又对加入该条件后用户均衡模型的解的属性进行了深入解析。2011年,Slavin成功地将比例一致性嵌入到了基于起点的用户均衡算法(OUE)并在TRANSCAD中得到了实现;2012年,Gentile将比例一致性嵌入到基于终点的算法(LUCE)并在VISUM中得到实现[12],这些算法不仅在计算效率和精度上有很大的提高,且能获取唯一且稳定的路径流量解。
比例一致性条件自提出以来在理论上得到了充分的探讨和验证[13, 14],但尚未在实际交通系统中得到验证,难以证明该条件在实际交通系统中是否存在,也无法证明求解得到的唯一路径流量解是否与实际相符。因此,本文基于上述问题,利用广东省高速公路联网收费中的片区路网数据,对比例一致性条件的存在性和有效性进行验证。
1 路径流量解的非唯一性
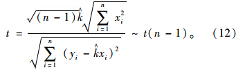
传统静态用户均衡模型的最优解只能获得唯一的路段流量解,在一般情形下却存在无穷多个路径流量解,即不同路径流量解可对应于同一路段流量解,如图 1所示。
|
| 图 1 路径流量解非唯一的示例(单位:pcu) Fig. 1 An example of route flow non-uniqueness(unit:pcu) |
在图 1中,A,B和C分别为3个OD小区,假设三者之间的用户出行满足均衡原理,根据均衡模型可以求得各路段上的唯一均衡解(图 1)。然而,在考虑路径流量时,由A到C和B到C之间各有2条路径可以选择,1中的h1和h2分别为满足均衡路段解的路径流量解。可以看出,这样的流量不止这2组,h*也是一个满足均衡路段解的路径流量解。如果实际应用需要使用路径流量,哪一个才是最适合的呢?为此,需要在求解均衡模型中附加一个合适的假设性条件,使求出的路径流量解与实际相符。
| OD | 路径 | 路径构成 | h*/pcu | h1/pcu | h2/pcu |
| A-C | R1 | A-1-2-3-5-C | 25 | 40 | 0 |
| A-C | R2 | A-1-2-4-5-C | 75 | 60 | 100 |
| B-C | R3 | B-1-2-3-5-C | 15 | 0 | 40 |
| B-C | R4 | B-1-2-4-5-C | 45 | 60 | 20 |
在用户均衡模型基础上获取最可能与实际相符的一组路径流量的假设条件为比例一致性条件[8],假设所有驾驶员在阻抗相等的一对路径段中选择每条路径段的概率相等。其中,路径段是指由相连的一条或几条路段组成的部分,一对路径段是指2条路径段具有相同的起终点(简称PAS),当PAS上的阻抗相等时,称为有效PAS。在图 1中,当路网均衡时,路径段2-3-5和2-4-5构成一对有效PAS,在比例一致性条件下获取的路径流量解如1中的h*所示,即各OD之间车辆在PAS上的选择比例都为1∶3,如A-C之间的R1∶R2(25∶75),B-C之间的R3∶R4(15∶45)。
比例一致性条件来源于最大熵原理,该原理认为在已知条件下,熵最大的事物最可能接近其真实状态。根据这一思想,Rossi和McNeil等指出符合最大熵原理的路径流量解为最接近实际的解[15]。在Beckmann提出的数学规划模型基础上加入最大熵条件,将用户均衡分配问题转化为最大熵用户均衡分配问题,一直以来该模型只能在理论上被证明能得到唯一的路径流量解,但不能求解出来,直到2006年才由Bar-Ger提出了一种求出最大熵路径流量解的办法,其主要思想是先将最大熵条件近似转化为比例一致性条件,进而嵌入到用户均衡模型求出唯一的路径流量解。其中,最大熵用户均衡分配问题的数学规划模型为:

可通过一个简单路网证明,当达到用户均衡时,可证明式(1)等价于比例一致性条件,如图 2所示。该路网由n对OD组成,fii1和f<sup>ii2分别为第i对OD在路径段xa和xb上的路径流量,当交通分配达到均衡时,路径段xa和xb阻抗相等,构成一对有效PAS,此时,式(1)等价于[9]:

|
| 图 2 比例一致性条件典型路网 Fig. 2 typical network illustrating proportionality condition |
在此基础上进行推广,能证明在任意路网中[9],用户均衡模型基础上的最大熵条件均等价(或近似等价)于比例一致性条件,嵌入此条件用户均衡模型不仅能求出唯一的路径流量解,而且能较大提高模型解的效率。
易知,式(2)可用式(3)来示,即共用同一个有效PAS的所有OD对的2条路径选择流量(假设一条流量为x,另一条流量为y)存在正比例关系:

验证比例一致性条件在现实交通系统中是否存在,关键是验证途径同一PAS的各OD的2条实际路径交通量是否满足等式(3),即判断同一PAS上的各OD的实际路径流量是否存在显著的正比例关系,在二维坐标图上反映为通过坐标原点的条直线。在实际工程应用中,要研究2种变量之间的数学关系,总是要求在某一种变量的一些点上对另外一种变量进行观测,得到一定量的散点数据,依据这些数据建立相应的模型,确定自变量与因变量以及二者之间的关系,主要方法为基于最小二乘法的显著性检验。
3.1 最小二乘法
最小二乘法是一种常用的数学优化技术,它通过最小化误差的平方和寻找数据的最佳函数匹配,该理论假设因变量为服从某一分布的随机变量[16],假设比例一致性条件在现实交通系统中存在,由于偶然误差的影响,可认为式(3)在现实交通系统中体现为:

根据调查得到满足条件的成对实际路径交通量(xi,yi),i=1,2,…,n,寻求误差项ε的平方和最小,进而得到最佳函数匹配:


上述参数估计值k的计算方法,即使是一组杂乱无章的数据,也可以求出一个k值来明x与y之间的关系,但这样拟合出来的关系是毫无实际意义的。因此,必须对拟合出来的关系进行显著性检验,以此来判断是否真实反映了变量之间的关系。参考试验数据统计检验的一般做法[17],由统计量可知,当k越大,η随x的变化而变化的趋势越明显;当k越小,η随x变化而变化的趋势越不明显,特别当k=0时,就认为η与x不能用正比例关系来示,此时判断η与x是否满足等式(3)就转化为在显著性水平α下,检验假设(7)是否成立:

若拒绝H0,则认为η与x存在正比例关系,所求拟 合方程有意义;若接受H0,则η与x的关系不能用正比例关系来示,所求得的拟合方程无意义。常用假设检验方法为F检验、t检验及χ2检验,这些检验方法相互独立,均能对假设检验做出良好的判断,关键是要能基于具体假设条件构造合适的统计量进而进行相关检验,上述方法并不适用所有检验假设,如一元线性回归显著性检验,χ2检验就不适用。基于式(6)及假设(7),得知在常用检验方法中只能构造出特定服从F分布和t分布的统计量进行相应检验,详细验证过程如下:
第1步:已知条件说明。
由式(6)和式(4),易推导出:

参考相关定理[16],可证明:


第2步:构造合适的F检验和t检验统计量。
根据F分布和t分布的定义[10],并且假设η与x不存在显著的正比例关系,此时可认为k=0,构造出相应的F统计量和t统计量,根据式(8)和式(9),易证明:


第3步:统计检验及正比例关系判别。
若正比例关系不显著,F检验和t检验统计量观测值应当比较小;若实际观测到的F检验和t检验统计量观测值较大,那么可认为η与x存在显著的正比例关系。基于假设(7)及在显著性水平α下,正比例显著性关系判别过程见表 2。
|
检验 方法 | 统计量 | 显著性水平 | 显著性检验 |
| t检验 |
![]() |
t(1-α) (n-1) |
t≥t(1-α)(n-1)(存在显著的正比例关系) t |
| F检验 | ![]() |
F(1-α) (1,n-1) |
F≥F(1-α)(1,n-1) (存在显著的正比例关系) F (不存在显著的正比例关系) |
由式(11)及(12)可知,F检验和t检验统计量满足F=t2,并且相应检验临界值分别为F(1-α)(1,n-1)和t(1-α)(n-1),由式(10)知,t2(1-α)(n-1)
本文构造的统计量F是一个绝对值指标,在不同数据样本下,难以比较不同样本与实际数据的相似程度。因此,本文引用回归分析中的相对评价指标——可决系数R2[18],当评价关系式(3)时,其达式为:
该评价指标值越接近于1,则正比例关系越强。
4 实例验证
4.1 背景
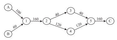
本文采用广东省高速公路中的片区路网对比例一致性条件进行验证,该片区路网中共有91个收费站点,94条高速路段,现阶段共存在4个环状路网结构,如图 3(a)所示。将收费站和高速公路连接点看作一个节点,相邻两个收费站之间的高速公路主线看作是路段,可建立如图 3(b)的简化路网。
根据比例一致性条件的定义,可知只有PAS上路径段阻抗相等,各OD之间途径此PAS的2条路径流量之比才是相等的。适用于本文所用的高速公路路网的路阻函数模型综合考虑了通行时间、通行收取费用及所耗油费:
Fa=k1Ta+k2(Ya1+Ya2),
根据标定的路阻函数模型分析计算得知,Segment1及Segment2 阻抗值近似相等,构成一对有效PAS,详见图 3(b)及表 3。显然,经过此PAS的起点有10个,终点为8个,共计80个OD对共用此PAS。由于高速公路收费系统记录了每辆车的进口站、出口站、车型、进站时间、出站时间和途径标识站等信息,根据这些信息能追踪获得每辆车的行驶路径,通过无向图任意两点之间所有路径求解算法,并通过堆栈标记,进而可获得每对出入口之间所有使用路径的路径流量[19]。
在实际统计数据中,由于某些OD之间日出行交通量较少,导致途径PAS的路径流量之比容易受偶然误差的影响,路径流量比值波动幅度较大,不便于用来验证比例一致性条件,而当OD路径流量较大时,路径流量之比受偶然误差的影响会降低。因此,应通过增大路径流量减少偶然误差带来的影响,方法主要有2种:一种是将相邻起终点合并为一个起终点,另一种为增大计量周期,从1d扩展到7 d或者14 d等。
4.2 验证
为便于对比例一致性进行验证,选取的实际路径流量应尽量大些以增强路径流量比值的鲁棒性,本文同时通过对相邻起终点进行合并和增大计量周期来实现。首先对相关相邻起终点进行适当合并,此时PAS共由16个OD对共用,如表 4所示。
根据广东省高速公路收费中心提供的2011-04-02—2011-04-29这28 d的流水数据,对共用此PAS的各OD(4)的2条实际路径段流量(换算成标准车型pcu)分别以1 d,7 d,14 d为计量周期进行分类统计,验证比例一致性条件在现实交通系统中每日、每周、每两周数据中的存在性。运用最小二乘法拟合检验,结果如图 4所示。
根据拟合检验,可从3个方面对验证结果进行分析:
(1)查阅F分布分位数,由表 5可知,在显著性水平0.05的水平下,拟合直线统计量F的观察值均超过临界值,满足达式(3)的正比例关系,即此PAS上的2条路径段流量存在显著的正比例关系。
(2)对于所用的28 d流水数据,计量周期越大,即各OD之间的路径流量越大,可决系数逐渐增大,分别从0.857 6到0.904 6,最后为0.906 9,路径流量之间的正比例关系越来越显著,如图 4所示。主要原因在于当验证比例一致性条件在实际交通系统中日复一日的存在性和稳定性时(如图 4(a)),其前提为每一对OD在这28 d内途径此PAS上的两条实际路径段流量比值变化不大,即此PAS上的交通运营状态每天能实现重复,计量周期为一周(如图 4(b))或者两周(如图 4(c))的假设前提依此类推。
两条实际路径段流量比值方差可用来观察路径流量比值的变化程度,如6所示。结合图 4与表 6,可知当路径流量大于100 pcu时,两条路径段流量比值波动大大降低,即路径交通量较大时,两条实际路径段流量比值受随机因素的影响较小,抗干扰能力也越强,因此,在实际路网中验证比例一致性条件是否存在时,选取的路径交通量应尽量大些。
(3)对符合条件的实际路径流量分别进行日、周、两周分析验证,拟合出的各OD在PAS上的实际路径流量比值(k值)分别为0.661 78,0.673 44和0.673 53,路径流量比值最大波动幅度仅为1.8%,拟合得出的k值几乎保持不变,由上述分析可知,当计量周期为周和两周时,其正比例关系更加紧密,即越有说服力证明比例一致性在该PAS上的存在性,但样本数量相对较少,仅为64和32个样本数据,此时可与计量周期为1 d来进行拟合检验的情景进行交叉分析,其样本量多达448个样本数据,能在一定程度上进一步说明比例一致性在该路网上的存在性。
4.3 诊断分析
通常基于最小二乘法的回归分析容易受异常数据的干扰致使拟合结果不准确[20],导致在后续的显著性检验中不能正确判断变量之间的关系,故有必要在显著性检验的基础上进一步进行诊断分析。对于本文要验证的比例一致性条件,可通过穷举法对各种可能情况重新进行F检验来诊断,即判断共用此PAS的16对OD中的任意数量对OD(如2,3,…,15对)路径流量是否都有显著的正比例关系。借助MATLAB编程对各种可能情况进行拟合和显著性检验,并根据得出的F值从大到小进行排列,见图 5。
在显著性水平α=0.05下,临界值F(1-0.05)(1,n-1)随着样本数n的增加逐步减少,上述验证中样本数n最少为4,此时F(1-0.05)(1,4-1)=10.1,易知统计量F观测值均大于10.1,均能通过相应的F检验,即共用此PAS的任意数量对OD,其路径流量在该PAS上均呈现显著的正比例关系。
因此,5中的F观测值没有因受异常值影响而对所验证PAS上的路径流量之间的正比例关系有所高估,即共用此PAS的所有OD对,选择两条可替换路径的比例近似是相等和稳定的,明比例一致性条件在此PAS上是存在的。
5 结论
验证比例一致性条件在现实交通系统中的存在性,并在此基础上求解出与实际相符的路径流量解,对于推动交通规划基础理论研究的发展具有重大意义。本文首先利用最小二乘法进行拟合,接着用不同统计检验方法对拟合效果显著性检验,通过比较分析,最终选取较为严格的F检验来验证,然后结合广东省高速公路路网数据,对有效PAS对上的实际路径流量利用F检验进行了验证和诊断分析,结果证明了比例一致性条件在广东省高速公路路网中是存在的,同时明,在继续验证比例一致性条件时,选取的实际路径流量应尽量大,以降低随机误差带来的干扰。
本文只在一个小型路网中对比例一致性条件进行了验证,未来的研究应在更大型、更复杂的路网中验证其存在性。此外,本文仅对标准车型下的比例一致性条件进行了验证,分车型的验证将是下一步的研究方向。

图 3 广东省高速公路中片区路网
Fig. 3 Network of middle expressway area in Guangdong
路径段
路径段构成
总阻抗/min
路径1
86-85-84-83-82-81-87-64-62-61-88
31.44
路径2
86-11-12-13-14-89-50-51-52-88
31.56 序号
OD
序号
OD
1 收费站1至收费站53-56
9 收费站7-9至收费站53-56
2 收费站1至收费站57
10 收费站7-9至收费站57
3 收费站1至收费站58-59
11 收费站7-9至收费站58-59
4 收费站1至收费站60
12 收费站7-9至收费站60
5 收费站2-6至收费站53-56
13 收费站10至收费站53-56
6 收费站2-6至收费站57
14 收费站10至收费站57
7 收费站2-6至收费站58-59
15 收费站10至收费站58-59
8 收费站2-6至收费站60 16 收费站10至收费站60
图 4 PAS上实际路径流量之间的正比例关系
Fig. 4 Direct proportion between actual route flows on PAS
PCU
n=448,1 d
n=64,7d
n=32,14 d
F
5 995.601 2
1 324.274 7
669.549 4
F1-0.05(1,n-1)
3.862 4
3.993 4
4.159 6
起点
收费站
计量
周期/d终点收费站
53-56
57
58-59
60
1
1 0.036 6
0.009 5
0.026 6
0.035 4
7
0.006 1
0.000 5
0.002 4
0.004 7
14
0.001 9
0.000 6
0.000 0
0.001 9
2-6
1
0.188 2
0.046 8
0.104 3
0.535 5
7
0.006 2
0.006 9
0.005 8
0.062 0
14
0.002 0
0.004 7
0.000 2
0.034 8
7-9
1
0.436 5
0.057 6
0.142 4
0.201 5
7
0.024 9
0.007 1
0.012 3
0.021 7
14
0.005 0
0.001 3
0.003 4
0.000 2
10
1
0.029 0
0.012 1
0.012 5
0.014 4
7
0.003 3
0.000 6
0.000 4
0.002 4
14
0.000 5
0.000 0
0.000 0
0.000 7
图 5 不同情况下F观察值
Fig. 5 F Observed F values in different situations
| [1] | LEBANC L J,MORLOK E K,PIERSKALLA W P. An Efficient Approach to Solving the Road Network Equilibrium Traffic Assignment Problem[J]. |
| [2] | LARSSON T,PATRIKSSON M. Simplicial Decomposition with Disaggregated Representation for the Traffic Assignment Problem[J]. |
| [3] | LEE D H,NIE Y,CHEN A. A Conjugate Gradient Projection Algorithm for the Traffic Assignment Problem [J]. Mathematical and Computer Modeling,2003,37(7): 863-878. |
| [4] | BAR-GERA H. Origin-based Algorithm for the Traffic Assignment Problem [J]. |
| [5] | LI M,HU Y,SHANG H. The Application of Origin-based Algorithm on Route Flows of Ambiguous Path Problem in Expressway Network Tolling[C]// Proceedings of the 11th International Conference of Chinese Transportation Professionals. Nanjing:American Society of Civil Engineers,2011:598-605. |
| [6] | DIAL R B. A Path-based User-equilibrium Traffic Assignment Algorithm that Obviates Oath Storage and Enumeration[J]. |
| [7] | 程琳. 城市交通网络流理论 [M].南京:东南大学出版社,2010.CHENG Lin. Urban Transportation Network Flow Theory [M]. Nanjing: Southeast University Press,2010. |
| [8] | BAR-GERA H,BOYCE D. Route Flow Entropy Maximization in Origin Based Traffic Assignment[C]// 14th International Symposium on Transportation and Traffic Theory. Jerusalem: Elsevier Science,1999: 397–415. |
| [9] | BAR-GERA H. Primal Method for Determining The Most Likely Route Flows in Large Road Networks[J]. |
| [10] | BAR-GERA H. Traffic Assignment by Paired Alternative Segments[J]. Transportation Research Part B:Methodological,2010,44 (8):1022-1046. |
| [11] | NIE Y,BAR-GERA H,LIU Y,et al. Field Test of a Method for Finding Consistent Route Flows and Multiple-class Link Flows in Road Traffic Assignments,FHWA-HEP-10-038 [R]. Washington,D.C. :Federal Highway Administration,2010. |
| [12] | GENTILE G. Local User Cost Equilibrium: A Bush-based Algorithm for Traffic Assignment [J]. |
| [13] | HU Yu-cong,BOYCE D,LIU Y,BAR-GERA H. Traffic Assignment by Paired Alternative Segments: An Ohio Case Study[C]//17th International Conference of Hong Kong Society for Transportation Studies. Hongkong: Hong Kong Society for Transportation Studies Limited,2012:711-717. |
| [14] | BOYCE D,XIE J. Assigning User Class Link Flows Uniquely[C]//17th International Conference of Hong Kong Society for Transportation Studies. Hongkong:Hong Kong Society for Transportation Studies Limited,2012:385-392. |
| [15] | ROSSI T F,MCNEIL S,HENDRICKSON C. Entropy Model for Consistent Impact Fee Assessment [J]. |
| [16] | 盛骤,谢世千,潘承毅. 概率论与数理统计[M].北京:高等教育出版社,2008:244-247,263-264.SHENG Zhou,XIE Shi-qian,PAN Cheng-yi. Probability and Mathematical Statistics [M]. Beijing: Higher Education Press,2008:244-247,263-264. |
| [17] | 庄楚强,吴亚森. 应用数理统计基础[M]. 广州:华南理工大学出版社,2002:315-316.ZHUANG Chu-qiang,WU Ya-sen. Applied Mathematical Statistics Basis[M]. Guangzhou: South China University of Technology Press,2002:315-316. |
| [18] | 谢兰,高东红. 非线性回归方法的应用与比较[J].数学的实践与认识,2009,39(10):117-121.XIE Lan,GAO Dong-hong. The Application and Comparison of Different Nonlinear Fit Methods[J]. Mathematics in Practice and Theory,2009,39(10):117-121. |
| [19] | 胡郁葱,欧阳翔. 基于高速公路收费站记录信息的路网流量获取[J].交通信息与安全,2013,31(6),92-99.HU Yu-cong,OUYANG Xiang. A Method for Calculating The Network Flow Based on the Toll Record of Freeway Stations[J]. Journal of Transport Information and Safety,2013,31(6),92-99. |
| [20] | 翟爽. 基于数据删除的广义线性模型诊断方法[D].哈尔滨:东北林业大学,2012.ZHAI Shuang. Diagnosis Method of Generalized Liner Model Based on Data Deletion [D]. Harbin: Northeast Forestry University,2012. |
2014, Vol. 31

,

