扩展功能
文章信息
- 鲁乃唯, 刘扬, 彭晖
- LU Nai-wei, LIU Yang, PENG Hui
- 预应力CFRP板加固混凝土梁桥的可靠度分析
- Analysis on Reliability of RC Girder Bridge Strengthened with Pre-stressed CFRP Plates
- 公路交通科技, 2014, Vol. 31 (12): 58-66
- Journal of Highway and Transportation Research and Denelopment, 2014, Vol. 31 (12): 58-66
- 10.3969/j.issn.1002-0268.2014.12.010
-
文章历史
- 收稿日期:2014-02-10
由于荷载标准提高、环境作用腐蚀、设计和施工初始缺陷等因素,目前桥梁改造加固的工作日益繁重。随着新工艺和新材料在桥梁工程中的推广,碳纤维(CFRP)材料加固技术在旧桥加固方面具有较好的应用前景。由于传统的碳纤维加固方法中材料强度利用率低下,由国外引入的预应力CFRP技术有望解决上述问题[1, 2, 3, 4]。国内起步稍晚,但在试验研究、理论分析与工程应用等方面取得了一系列令人瞩目的研究成果[5, 6, 7, 8, 9, 10, 11]。
然而,现有的研究工作主要采用试验或有限元方法研究碳纤维加固构件的承载力,利用确定性分析方法研究加固结构的力学行为、使用性能及其安全水平[12, 13],没有考虑加固设计参数的随机特性。为保证结构安全,加固后的结构同样必须满足规范要求的可靠度水平。由于加固后的结构受力关系发生了变化,主要表现在加固与被加固材料的力学性能方面,加之结构尺寸与外部荷的随机性,有必要对加固后的结构进行可靠度分析。
国外对CFRP材料加固后的桥梁可靠度分析相对较多,文献[14]建立了考虑材料参数、结构尺寸等参数的变异性的既有RC(钢筋混凝土)梁桥在CFRP材料加固后的抗力概率模型。文献[15]针对钢筋混凝土桥梁主梁的弯曲失效模式,分析了CFRP板加固后主梁的可靠度。文献[16]对桥梁结构的主梁进行了3种失效模式下的可靠度计算。在国内,文献[17]以某座既有桥梁为工程背景进行了桥梁结构对外贴纤维布加固后的结构进行了可靠度研究。文献[18, 19]提出了针对CFRP加固后RC梁桥抗弯可靠度设计方法。文献[20]采用Monte Carlo方法对CFRP加固后RC梁桥的承载能力进行了可靠度评估。文献[21, 22]的研究结果表明尺寸效应和应力分布对CFRP极限强度的影响极大,在抗力概率模型中应准确考虑这类参数的影响。
上述研究对设计变量的取舍及其分布类型的选择不尽相同,对于加固后抗力概率模型基本沿用未加固结构的建模方法。已有研究主要关注传统CFRP加固构件,并极少采用实际加固结构进行分析。目前尚无文献针对预应力CFRP加固构件进行可靠性评价。
本研究以某桥梁加固项目为工程背景,分析混凝土梁桥采用预应力CFRP板加固后主梁构件的抗弯承载力设计变量的概率特征,建立主梁加固后的抗力概率模型,计算预应力CFRP板加固主梁的抗弯承载力可靠指标,最后进行可靠度参数敏感性分析。
1 加固设计变量的概率特征 1.1 CFRP极限抗拉强度
采用标准试验方法和试样尺寸可以获得CFRP材料抗拉强度。然而,CFRP为由碳纤维单丝和基体树脂制成的复合材料,其强度与碳纤维单丝数量和尺寸有关,并随着材料尺寸的增大而降低。在力学性能方面,CFRP板材强度的应力分布具有不均匀性。
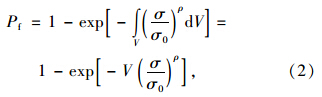
文献[21]在碳纤维丝损伤分析以及试验尺寸变化的研究基础上,提出了基于Weibull of Weibull (WOW)分布描述强度失效的概率方法。文献[14],[15]和[23]采用了服从WOW分布的强度概率模型。
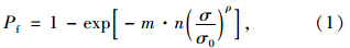
假定单个CFRP板模型由n个纵向纤维丝并联而成,而单根碳纤维丝由m段纤维丝串联而成。某CFRP板的长度为L,若材料应力小于σ则材料失效。根据Weibull理论,材料强度的失效概率为[21]:

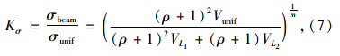
对于处于应力水平σ下的单向性质CFRP板材,可以采用材料体积V修改式(1),即Weibull累计分布函数为:


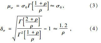
文献[22]的试验表明CFRP板材的应力分布具有一定的梯度特性。沿底缘加固的CFRP板材沿跨度方向存在应力梯度,公式(5)可表述为:

若构件不存在应力梯度,则CFRP板材在沿桥梁跨径方向的应力同为σunif,相应区域板材体积Vunif,则其强度失效概率表述为:

在实验室中,常用的加载形式如图 1所示。其中,纯弯段为L1,弯剪段为L2。
|
| 图 1 两点加载示意图 Fig. 1 Schematic diagram of loading with 2 concentrated forces |
由Pbeamf=Puniff可以推导出:


上述公式推导中,式(4)给出了尺寸效应对概率模型的影响,式(8)给出了应力分布对强度概率模型的影响。采用均布荷载的加载方式,可进行相应的公式推导。
1.2 计算模式不定性
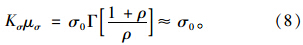
由于抗力的计算理论在一定的假定基础上,计算公式不具有精确性,因此,在CFRP板的强度概率模型中应考虑计算模型的不确定性。文献[24]和[25]采用的计算模型不确定值为4.6%和5%。文献[17]进行了RC梁的受弯试验,计算所得的均值和变异系数分别为1.098和0.251,且与文献[26]提供的数据一致。因此本文的抗力不确定系数Kcal取为1.098,变异系数按式(9)计算:

1.3 有效预应力
预应力CFRP张拉后同样存在预应力损失的问题。文献[3]认为碳纤维板的初张力越大,则端部预应力损失越大。文献[10]提出了碳纤维布的预应力损失计算公式为:

本文采用文献[5]提出的CFRP张拉锚固设备与工艺。由于该工艺在张拉过程中已经解决弹性压缩问题,因此σl3可不计入预应力损失。其余预应力损失按照文献[10]提供的数据考虑,并取中间值。在碳纤维材料的变异性方面,暂无文献以及试验数据,可参考文献[27]中关于钢绞线预应力损失变异系数。
CFRP的初应变εie由式(11)得出:

2 预应力碳纤维板加固主梁的抗力概率模型 2.1 工程简介
CFRP加固技术的研究时间较短,在工程中的应用也较少。1999年,Andra等对德国南部Gomadingen市的Lauter钢筋混凝土梁桥实施了预应力碳纤维板加固工程;2006年,Lenzi等成功对位于意大利拉文纳市的一座预应力钢筋混凝土简支梁桥进行了预应力碳纤维板加固。
笔者于2005—2006年成功采用初始应力为1000MPa 的碳纤维板对106国道线湖南浏阳市金刚桥进行了预应力碳纤维板加固,根据科技情报检索该项目是目前亚洲范围内第一座应用预应力碳纤维板加固技术进行补强的桥梁结构。笔者2010年完成了另一座旧桥——瞿家塅大桥的预应力碳纤维加固工作。
瞿家塅大桥位于湖南省长沙县,是一座建成于1962年的T形普通钢筋混凝土简支梁桥。全桥共有五跨,计算跨径为16 m,桥梁全长100 m,桥宽为7.0 m(车行道)+2×0.15 m(护栏),横向五根T梁。
该桥的原设计荷载为汽-15级,已无法满足车辆通行需要;该桥存在T梁开裂、露筋,桥面铺装破损严重等较显著病害,因此管理部门决定对该桥实施加固改造,将其承载能力由原汽-15级提升至公路-II级。
笔者通过体外配置预应力碳纤维板的方式提高主梁的承载能力,并通过施加预应力提高主梁的抗弯刚度,减小挠曲变形及受力裂缝。为了分析改造前后各阶段(加固改造前、原桥面及栏杆拆除后、T梁加固后、新桥面铺装及防撞护栏建造后)力学性能的变化,通过4个阶段的4次荷载试验检验研究了加固改造工作对桥梁承载性能的影响。
|
| 图 2 加固完成后的钢筋混凝土T梁仰视图 Fig. 2 Upward view of strengthened reinforced concrete T-beams |
国内外多位学者在试验研究的基础上,提出了采用CFRP加固后受弯构件正截面承载力分析方法。文献[3]提出了FRP加固构件的4种失效模式:受压破坏、受拉破、坏剥离破坏和混凝土剪切破坏;文献[4]给出了上述失效模式的承载力公式;文献[6],[11],[28]也在试验研究的基础上,提出了CFRP加固后受弯构件的承载能力分析方法。
文献[14]和[15]认为CFRP加固后结构的主要破坏形式除力学行为外,还与胶结材料和施工过程有关,而且后两者可采取构造措施消除。因此本文在前3种失效模式的基础上研究CFRP的抗弯承载力。
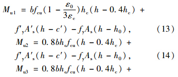
文献[8]通过多根不同比例的CFRP板材加固构件的加载试验,分析了构件截面的弯曲性能,并提出CFRP加固后受弯构件的界限补强率和极限承载力计算公式。其中,CFRP的加强率公式为:

若ρ<ρb2,则发生第1种失效模式的破坏(钢筋屈服的同时FRP材料破坏);若ρb2<ρ<ρb1,则发生第2种失效模式的破坏(钢筋屈服的同时FRP材料未破坏,但混凝土被压碎);若ρ>ρb1,则发生第3种失效模式的破坏(钢筋未屈服,FRP材料未破坏,而混凝土被压碎)。其中,ρb1和ρb2分别为第1种和第2种失效模式、第2种和第3种失效模式的界限加强率。3种失效模式的功能函数表达式分别为:


需要说明的是,公式(13)~(15)针对试验采用的矩形截面构件。对于本文的工程背景为T形梁,可根据T形截面的受压区高度分两类T形截面,再推导出相应的承载力计算公式。
2.2.1 加固设计方案
加固原则为:在裂缝修补、桥面系更换的同时,将荷载标准由原汽车-15级提升至公路-II级。预应力CFRP板的尺寸为12400mm(长)×100mm(宽)×1.2mm(厚),初始张拉预应力为1 180MPa。在该项加固工程中,预应力CFRP板加固后自重作用下的跨中弯矩减小了约31%。加固实施细节、相关试验以及对结构内力影响等,作者已在其他论文专门介绍,因此本文不再赘述。以中梁为例,加固设计图如图 3所示。
|
| 图 3 中梁的加固设计图(单位:cm) Fig. 3 Design drawing of reinforcing center T-beam (unit: cm) |
由于原设计图纸缺失,经现场检测,获得了桥梁实际设计参数,如主梁尺寸、钢筋等级、混凝土强度等。在不同文献中随机变量概率分布参数取值存在较大差别。对于b,h,h0,fcu,As,fy和f′y,本文采用交通部课题组李扬海、鲍卫刚等学者[26]的研究成果。对于计算模型不定性Kcal、有效初始张拉应变εis、CFRP极限强度ffrpu,则分别采用本文前述公式获得其概率分布参数如表 1所示。
| 设计变量 | 文献[14, 15, 16] | 本文 | |||||
| 偏差 | COV/% | 分布类型 | 偏差 | COV/) | 分布类型 | ||
| 尺寸 | b | 1.00-1.03 | 0.5-0.7 | 正态 | 1.001 8 | 0.91 | 正态 |
| h | 1.017 5 | 7.12 | 正态 | ||||
| h0 | 1.012 4 | 2.25 | 正态 | 钢筋面积As | 1.00 | 0.0~4.0 | 正态,常数 | 1.00 | 3.5 | 正态 |
| CFRP面积Afrp | — | — | 常数 | 1.00 | 3.5 | 正态 | |
| 钢筋强度fy,f′y | 1.00~1.22 | 8.0~13.0 | 正态,对数正态 | 1.084 9 | 7.19 | 正态 | |
| 混凝土强度fcu | 0.81~1.25 | 9.0~21.0 | 正态,对数正态 | 1.501 2(C30) | 17.73(C30) | 正态 | |
| 计算模型不定性Kcal | 1.01~1.10 | 4.5~12.0 | 正态 | 1.098 | 11.37 | 正态 | |
| 有效初始张拉应变εis | — | — | — | 0.875 | 5.714 | 正态 | |
| CFRP板极限应变或强度ffrpu | 1.33 | 7.4~10.0 | Weibull | 根据式(4)、(8)计算 | Weibull | ||
引入无量纲参数Mu/Mn,Mu为采用抽样值计算的计算抗弯承载力,Mn为采用参数设计值计算的名义抗弯承载力。
为方便施工,所有T梁的预应力碳纤维板配置按最不利的3号主梁进行统一设计。因此,瞿家段大桥所有T梁可取相同的抗力概率模型。根据实际加固方案,T梁失效模式为第1种失效模式,即钢筋屈服,碳纤维被拉断,同时混凝土未被压碎。
由公式(13)~(15)可见,预应力碳纤维板加固构件的抗弯承载力具有强非线性,于是本文采用Monte Carlo法分析其抗力概率模型。经计算,主梁抗力无量纲参数Mu/Mn的平均值为1.129 6;抗力标准差为0.145 7,Mu/Mn的概率分布如图 4所示。
|
| 图 4 抗力的概率分布 Fig. 4 Probability distribution of resistance |
通过优度分布拟合检验,可以认为,预应力碳纤维板加固T梁的抗力概率模型不拒绝对数正态分布。
3 加固后梁桥的可靠指标
受弯构件的功能函数表达式为:

公路-II级荷载标准与交通部“公路桥梁可靠度研究”课题组李扬海、鲍卫刚等学者[26]研究的一般运行状态基本对应,研究表明,G和Q分别服从正态分布和极值-I型分布,实际荷载效应与理论荷载效应比值G/Gn和Q/Qn统计参数为:恒载弯矩比值G/Gn的平均值和标准差分别为1.014 8和0.043 7,活载弯矩比值的平均值和标准差分别为0.696 1和0.107 6。本桥横桥向共5根T梁,依次编号为1~5号梁,通过横向分布系数计算各梁分担的活荷载。
为了评估预应力碳纤维板加固的效果,分别计算加固前后的T梁可靠指标的变化。忽略加固前主梁裂缝等病害对承载力的影响。根据极限状态函数,采用一次二阶矩法(FOSM)计算各主梁加固前和加固后主梁的可靠指标。由于5根T梁横桥向对称分布,图 5仅列出1~3#梁的可靠指标。
|
| 图 5 加固前后的T梁可靠指标 Fig. 5 Reliability indicators of reinforced and unreinforced T-beams |
由图 5可见,加固后的主梁可靠度均有所提高。对于3号梁,加固前和加固后的可靠指标分别为β3=4.337和β′3=4.777,对应的失效概率分别为7.223×10-6和8.899×10-7,加固后失效概率减小了87.7%。文献[26]建议延性破坏和脆性破坏的公路桥梁构件的目标可靠指标分别为4.2和4.7。碳纤维板为脆性材料,虽然目前的研究表明,合理的预应力碳纤维加固设计能使构件具备满足规范规定的变形要求,对于这种加固新技术,为保守计仍建议采用脆性破环的目标可靠指标4.7。本桥加固后的主梁可靠度水平满足工程需要。
为了研究各变量对加固后可靠度的影响,本文采用以下方法。每一次将表 1中列出的11个变量以及荷载变量G和Q共13个变量中一个变量定义为常数,其他12个变量仍为随机变量,然后计算可靠指标,由此分析每个变量对可靠度的影响程度。计算结果表明,与未加固桥梁一样,活载效应Q对可靠度的影响最大,不考虑活载变异性时,可靠指标竟高达12.363。为突出图示效果,图 6所示的可靠度参数分析仅列出不含活载效应Q的其他12个变量的影响。
|
| 图 6 设计变量对T梁可靠度的影响 Fig. 6 Effect of design variables on reliability of T-beam |
由图 6可见,除了活载效应Q,计算模式不定性Kcal和恒载效应G对可靠度的影响最大,其次为混凝土强度fcu和受拉钢筋强度fy。其他参数的影响可以忽略不计。这与其加固方案是相符的,本桥的破坏形式为前文所列的第1种失效模式:钢筋屈服,碳纤维破坏,混凝土未被压碎。其中,CFRP板破坏形态为剥离破坏,且根据敏感参数分析结果其抗力的随机性可忽略不计。根据加固设计图计算,加固后T梁的跨中抗弯承载力提高约8%,由预应力碳纤维提供的抗弯承载力所占比例较小,因此其设计参数对可靠度的影响程度也较小。并且CFRP板的设计参数如面积、极限强度的变异性与混凝土相比都较小,这也是不考虑它们变异性时,对可靠度影响较小的主要原因之一。
为了进一步研究CFRP板设计参数对加固桥梁的影响,下面依次改变CFRP板的面积、初始张拉应变、极限强度,分析加固桥梁可靠度的变化规律。分析结果如图 7~图 10所示。需要说明的是,CFRP有两种失效模式,分别是强度破坏和剥离破坏,本文通过以下方式来区分其失效模式:(1)发生剥离的极限应变取为0.011,CFRP板因达到拉伸应变限值而被拉断;(2)发生剥离的应变增长限值取为0.008,CFRP板达到应变增长限值而产生界面剥离破坏。
|
| 图 7 CFRP板设计截面面积对T梁可靠度的影响 Fig. 7 Effect of designed sectional area of CFRP plates on reliability of T-beams |
|
| 图 8 CFRP极限抗拉强度对T梁可靠度的影响 Fig. 8 Influence of ultimate resistance of CFRP plates on reliability of T-beams |
|
| 图 9 CFRP初始张拉应变对T梁可靠度的影响(拉断破坏) Fig. 9 Effect of initial tensile strain of CFRP plates on reliability of T-beams (when fractured failure of CFRP plates occurs) |
|
| 图 10 CFRP初始张拉应变对T梁可靠度的影响(剥离破坏) Fig. 10 Effect of initial tensile strain of CFRP plates on reliability of T-beams (when debonding failure of CFRP plates occurs) |
由图 7~图 10可见,相对于极限抗拉强度和初始张拉应变,CFRP板的截面面积对加固后T梁的可靠度影响较大。但本质上作为一种配筋,CFRP板的配置数量过多时,加固梁的失效模式会转变为超筋破坏。同时,本例中CFRP发生剥离破坏条件下的可靠指标高于拉断破坏条件下的可靠指标,这也从另一角度说明,良好的界面粘贴剂、套箍措施以及施工质量是保证加固后达到预期可靠水平的重要因素。
图 8说明,无论CFRP发生拉断破坏还是剥离破坏,CFRP极限抗拉强度对结构可靠指标的提高程度有限。因此,现有的CFRP材料的高强度性质已满足工程需要。图 10中,CFRP板的初始张拉应变(即CFRP预应力)较小,CFRP由剥离破坏控制,当逐步增大张拉预应力时,加固后的可靠指标也逐步增大。图 9中,CFRP由拉断破坏控制,当逐步增大张拉预应力时,加固后的可靠指标先略微增大,但到达顶点后急剧减小。这是因为随着初始预应力增大,CFRP板能利用的强度区间也在减小。因此,初始张拉力的选择需要综合考虑CFRP强度利用区间、剥离破坏应变限值以及主梁构件容许变形能力等因素。
4 结论
(1) 基于Weibull分布类型推导了受尺寸和应力分布影响的CFRP板抗力概率模型。
(2) 根据实桥,建立了预应力碳纤维加固T梁的抗力概率模型,获得了抗力均值、标准差,并认为其抗力不拒绝对数正态分布。
(3) 从结构可靠度理论角度评估了预应力碳纤维板加固的效果。采用FOSM方法分别计算了加固前后的T梁可靠指标的变化,结果表明加固后的主梁可靠度水平明显提高。考虑到碳纤维板的脆性特性,对于这种加固新技术,为保守计仍建议采用脆性破环的目标可靠指标4.7,本桥加固后的主梁可靠度水平满足工程需要。
(4) 开展了参数敏感性分析,根据本桥加固方案及其设计失效模式,活载效应Q、计算模式不定性Kcal和恒载效应G对可靠度的影响最大,其次为混凝土强度fcu和受拉钢筋强度fy。由于本桥加固方案中预应力碳纤维提供的抗弯承载力所占比例较小,并且,CFRP板的设计参数如面积、极限强度的变异性与混凝土相比都较小,因此其设计参数对可靠度的影响程度也较小。
(5) 研究了CFRP板截面积、初始张拉应变、极限强度等设计参数对加固桥梁可靠度的影响。相对于极限抗拉强度和初始张拉应变,CFRP板的截面积对加固后T梁的可靠度影响较大。良好的界面粘贴剂、套箍措施以及施工质量是保证加固后达到预期可靠水平的重要因素。CFRP极限抗拉强度对结构可靠指标的提高程度有限。初始张拉力的选择需要综合考虑CFRP强度利用区间、剥离破坏应变限值以及主梁构件容许变形能力等因素。
本文针对处于起步阶段的预应力碳纤维加固桥梁实际工程开展了可靠性评价,但是预应力碳纤维加固后桥梁结构承载力的影响因素很多,共同作用机理更为复杂,还需在获取更多加固样本的基础上进一步研究其失效模式及可靠度计算方法,为预应力碳纤维加固桥梁概率极限状态设计提供理论基础。
| [1] | TOUTANJI H,ZHAO L,ZHANG Y. Flexural Behavior of Reinforced Concrete Beams Externally Strengthened with CFRP Sheets Bonded with An Inorganic Matrix[J]. |
| [2] | EI-HACHA R,GREEN M F,WIGHT R G. Flexural Behavior of Concrete Beams Strengthened with Pre-stressed Carbon Fiber Reinforced Polymer Sheets subjected to Sustained Loading and Low Temperature[J]. |
| [3] | SI-LARBI A,Agbossou A,Ferrier E,et al. Strengthening RC Beams with Composite Fiber Cement Plate Reinforced by Prestressed FRP Rods: Experimental and Numerical Analysis[J]. |
| [4] | XUE W,TAN Y,ZENG L. Flexural Response Predictions of Reinforced Concrete Beams Strengthened with Prestressed CFRP Plates[J]. |
| [5] | 尚守平,彭晖,童桦,等.预应力碳纤维布材加固混凝土受弯构件的抗弯性能研究[J].建筑结构学报,2003, 24(5):24-30. SHANG Shou-ping,PENG Hui,TONG Ha,et al. Study of Strengthening Reinforced Concrete Beam using Prestressed Carbon Fiber Sheet[J]. Journal of Building Structures,2003,24(5):24-30. |
| [6] | 叶列平,庄江波,曾攀,等.预应力碳纤维布加固钢筋混凝土T形梁的试验研究[J].工业建筑,2005,35(8):7-12.YE Lie-ping,ZHUANG Jiang-bo,ZENG Pan,et al. Experimental Study on Reinforced Concrete T-beams Strengthened with Prestressed CFRP Sheets [J]. Industrial Construction,2005,35(8):7-12. |
| [7] | 尚守平,彭晖,曾令宏. 预应力碳纤维布材加固混凝土梁受弯性能非线性分析[J]. 工程力学,2006,23(11): 85-90. SHANG Shou-ping,PENG Hui,ZENG Ling-hong. Non-linear Analysis of Reinforced Concrete Beam Strengthened with Prestressed Carbon Fiber Reinforced Plastic Sheet Subject to Bending [J]. Engineering Mechanics,2006,23(11):85-90. |
| [8] | 彭晖,尚守平.预应力碳纤维板加固受弯构件的试验研究[J]. 工程力学,2008,25(5):142-151.PENG Hui,SHANG Shou-ping. Experimental Study of Reinforced Concrete Beam with Prestressed CFRP Plate [J]. Engineering Mechanics,2008,25(5):142-151. |
| [9] | 李春良,程永春. 碳纤维布加固钢筋混凝土梁的预应力控制过程[J]. 吉林大学学报:工学版,2008,38(2): 393-398. LI Chun-liang,CHENG Yong-chun. Pre-tension Control of Reinforced Concrete Beam Strengthened with CFRP Sheets[J]. Journal of Jilin University:Engineering and Technology Edition,2008,38(2):393-398. |
| [10] | 杨勇新,李庆伟,岳清瑞. 预应力碳纤维布加固混凝土梁预应力损失试验研究[J]. 工业建筑,2006,36(4):5-8. YANG Yong-xin,LI Qing-wei,YUE Qing-rui. Experimental Research on Prestress Loss in Technique of Concrete Structure Strengthened with Pre-stressed CFRP Sheets [J]. Industrial Construction,2006,36(4): 5-8. |
| [11] | 钱伟,高丹盈. 预应力碳纤维加固钢筋混凝土梁正截面承载力计算方法[J]. 建筑科学,2006,22(5):10-14. QIAN Wei,GAO Dan-ying. Calculation of Flexural Bearing Capacity of Reinforced Concrete Beams Strengthened by Using Prestressed CFRP Sheets[J]. Building Science,2006,22(5):10-14. |
| [12] | CHAHROUR A, SOUDKI K. Flexural Response of Reinforced Concrete Beams Strengthened with End-anchored Partially Bonded Carbon Fiber-reinforced Polymer Strips[J]. |
| [13] | 叶华文,UMMENHOFER T,强士中. 预应力 CFRP 板加固钢梁抗弯疲劳试验研究[J]. 公路交通科技,2009,26(12),50-55.YE Hua-wen,UMMENHOFER T,QIANG Shi-zhong. Experimental Study of Flexural Fatigue Performance of Steel Girder Reinforced by Prestressed CFRP Plate[J]. Journal of Highway and Transportation Research and Development,2009,26(12):50-55. |
| [14] | PLEVRIS N,TRIANTAFILLOU T C,VENEZIANO D. Reliability of RC Members Strengthened with CFRP Laminates [J]. |
| [15] | OKEIL A M,EI-TAWIL S,SHAHAWY M. Flexural Reliability of Reinforced Concrete Bridge Girders Strengthened with Carbon Fiber-reinforced Polymer Laminates[J]. |
| [16] | PHAM H B,AL-MAHAIDI R. Reliability Analysis of Bridge Beams Retrofitted with Fiber Reinforced Polymers[J]. |
| [17] | 孙晓燕,黄承逵,孙保沭. 既有桥梁外贴纤维布加固后可靠度分析[J]. 东南大学学报:自然科学版,2005, 35(3):427-432. SUN Xiao-yan,HUANG Cheng-kui,SUN Bao-mu. Time-dependent Reliability Analysis of Existing Bridges Strengthened with FRP Laminates[J]. Journal of Southeast University:Natural Science Edition,2005,35(3): 427-432. |
| [18] | 卢少微,谢怀勤. CFRP 加固 RC 梁抗弯可靠度设计方法研究[J]. 应用基础与工程科学学报,2007,15(4): 517-523. LU Shao-wei,XIE Huai-qin. Design Method Researching of Flexural Reliability for CFRP-Strengthened RC Beams[J]. Journal of Basic Science and Engineering,2007,15(4):517-523. |
| [19] | 尚守平,吴建任,张毛心,等. 预应力碳纤维板加固系统的预应力损失试验[J]. 公路交通科技,2012,29(1):70-74.SHANG Shou-ping,WU Jian-ren,ZHANG Mao-xin,et al. Experimental Study on Prestress Loss of Strengthening System of Prestressed CFRP Plate[J]. Journal of Highway and Transportation Research and Development,2012,29(1):70-74. |
| [20] | 何政,黄永春. 应用Monte Carlo—JC法评估FRP加固RC梁受弯承载力可靠度. 复合材料学报,2007,24(1):116-121. HE Zheng,HUANG Yong-chun. Application of Monte Carlo-JC Method to the Reliability Assessment of Flexural Capacity of RC Beams Strengthened with FRP[J]. Acta Materiae Compositae Sinica,2007,24(1):116-121. |
| [21] | OKABE T,TAKEDA N. Size Effect on Tensile Strength of Unidirectional CFRP Composites-experiment and Simulation[J]. |
| [22] | OKEIL A M,EI-TAWIL S,SHAHAWY M. Short-term Tensile Strength of Carbon Fiber-reinforced Polymer Laminates for Flexural Strengthening of Concrete Girders[J]. ACI Structural Journal,2001,98(4):470-478. |
| [23] | HARLOW D G,PHOENIX S L. Probability Distributions for the Strength of Composite Materials II:A Convergent Sequence of Tight Bounds[J]. |
| [24] | ELLINGWOOD B. Development of a Probability based Load Criterion for American National Standard A58:Building Code Requirements for Minimum Design Loads in Buildings and Other Structures[M]. US Department of Commerce,1980:222-223. |
| [25] | 刘扬,彭晖,尚守平. 预应力 CFRP 加固钢筋混凝土受弯构件的抗力概率模型研究[J]. 工程力学,2012,29(7):107-116.LIU Yang,PENG Hui,SHANG Shou-ping. Probability Model of the Flexural Resistance of Reinforced Concrete Beams Strengthened with Prestressed CFRP Plates [J]. Engineering Mechanics,2012,29(7):107-116. |
| [26] | 李扬海,鲍卫刚.公路桥梁结构可靠度与概率极限状态设计[M].北京:人民交通出版社,1997:203-209.LI Yang-hai,BAO Wei-gang. Design of Structural Reliability and Probabilistic Limit State of Highway Bridge [M]. Beijing:China Communications Press,1997:203-209. |
| [27] | 刘扬,张建仁,余志武.大跨度混凝土斜拉桥拉索施工期的可靠度分析[J]. 中国公路学报,2007,20(3):41-47. LIU Yang,ZHANG Jian-ren,YU Zhi-wu. Reliability Analysis of Stay Cables for Long-span Concrete Cable-stayed Bridges during Construction [J]. China Journal of Highway and Transport,2007,20(3):41-47.. |
2014, Vol. 31

,