扩展功能
文章信息
- 吴麟麟, 卢海琴, 汪洋, 张明岩
- WU Lin-lin, LU Hai-qin, WANG Yang, ZHANG Ming-yan
- 引入忠诚度变量的城际出行方式动态选择行为研究
- Research on Intercity Travel Mode Dynamic Choice Behavior with Introduced Loyalty Variable
- 公路交通科技, 2014, Vol. 31 (11): 123-129
- Journal of Highway and Transportation Research and Denelopment, 2014, Vol. 31 (11): 123-129
- 10.3969/j.issn.1002-0268.2014.11.020
-
文章历史
- 收稿日期:2014-1-6
2. 江苏大学 电气信息工程学院, 江苏 镇江 212013
2. School of Electrical and Information Engineering, Jiangsu University, Zhenjiang Jiangsu 212013, China
城市群是实现我国区域发展战略和城市化战略的最佳地域战略平台,也是实现经济效率与区域公平“双赢”的最佳战略结合点,目前我国城市群的发展已进入发育期,正在形成23个城市群,其中长江三角洲城市群已跻身于国际公认的六大世界级城市群[1]。而城市群的发展必须要有发达的交通运输体系支撑,研究城际客运交通方式,分析城际居民出行的特点,探讨科学合理的城际交通优化管理策略,对建设快速、低碳、合理的城际交通网络,实现城市群交通结构优化,促进城市群区域经济社会协调发展有着重要的意义。
城市群城际客运交通有着自身的特点,与市内交通或长途交通都有着比较明显的差异。例如城际交通与市内交通相比有以下三点不同:首先是出行距离的扩大,市内交通的出行距离往往是在50 km以内,而城际交通出行距离则是以50~300 km较为普遍;其次是出行的交通方式,市内交通可以有步行、自行车、电动车、公交车、小汽车以及地铁等多种形式,而城际交通由于客观条件限制和距离等一些原因,则主要以城际巴士、小汽车和城际铁路为主;最后就是出行目的,城市群间出行者的出行目的主要为出差、旅游、探亲等等,市内交通则以通勤为主。正是基于以上的差异,本文将研究视角集中于城际出行,分析的交通方式,探讨它的选择机理。
出行者的出行方式选择过程相对较复杂,即出行者在选择某种出行方式之前,应该知道某种方式是否存在,要对此类方式产生兴趣,同时,需要考虑约束条件,比如出行时间和出行价格等等,然后形成对某些类出行方式的偏好,决定是否搭乘。目前交通出行行为选择的研究多采用非集计模型[2,3],如MNL、NL和Mixed Logit等。文献[4, 5]探讨了拥挤收费对城市居民出行行为的影响,并对拥挤收费政策的可行性进行了实证分析。文献[6, 7, 8]研究了不同群体的出行选择行为影响因素,并进一步探讨了各影响因素对不同群体出行选择行为的影响程度。文献[9]分析了出行成本对居民出行方式的影响,使用相关性分析筛选与居民出行方式选择密切相关的影响因素。文献[10]研究了城市间客运专线旅客的选择行为,但是仅仅调查了城际间旅客对高速列车和高频率列车换乘方式的选择偏好因素,没有考虑其他的出行方式对铁路客运的影响。到目前为止,不管是市内交通、长途交通或是城市间城际交通,对它们出行方式的研究大多都是从静态视角,很少有考虑出行者重复选择出行方式之间的关联性,来研究出行者的选择行为。静态视角不能从时间和空间变化上描述出行者方式选择的行为,所以考查出行者不同时期出行方式选择的相互关联性,即出行选择的动态特性是十分必要的。本文引入动态变量,即通过选择忠诚度变量来描述出行者这种选择相互关联性,同时基于非集计理论,对效用函数引入动态变量,即选择忠诚度变量,建立出行者城际出行方式选择Mixed Logit模型,并运用实证研究识别和刻画了出行者出行方式的选择忠诚度,将出行者的选择忠诚变量纳入选择模型,进而更好地理解和分析城际出行者的动态选择行为。
1 出行选择行为的忠诚度刻画 1.1 忠诚度变量的引入在市场营销学中,选择行为的忠诚度研究一直是关注的热点[11,12,13,14,15]。仅就选择行为的忠诚度定义而言,不同的研究者认知也不尽相同。目前在市场营销学中将选择行为的忠诚度定义为,是一种带有倾向性的(非随机的)行为反应,是一定时间内的“偏好的一致性”,具体表现在选择行为人一段时间内在众多选择项中总是选择一个或几个。基于面板数据的研究发现,如果出行者在t-1时刻选择出行方式A,那么他在t时刻继续选择出行方式A的概率为λ1,如果出行者在t-1时刻选择出行方式B,那么他在t时刻做出改变而选择了出行方式A的概率为λ2,基于面板数据的研究发现,通常会有λ1>λ2。即个体出行者的选择随着时间变化保持了一定的连续性,呈现出对选择方式忠诚的特性。明确地分析这一行为能够更好地理解出行者出行方式选择过程,更好地预测其出行选择行为。
在对忠诚度的研究中,一般的离散选择模型是将时滞的选择变量引入到效用函数中,忠诚度通常被看成是出行者出行方式选择历史的函数[11,12],在这种视角下,出行者的选择忠诚度和出行者的状态依赖之间有着非常密切的关系。文献[11]认为有两种不同形式的状态依赖,一种是结构性状态依赖,另一种是习惯持续性。出行者选择出行方式同上次相同的现象被认为是结构性状态依赖,出行者的出行选择历史对出行者出行选择概率的影响常常被认为是习惯持续性。文献[12]将忠诚度变量引入到固定效用部分,将其看成是出行者出行选择历史的函数。一般而言,出行方式选择概率的差异来源于出行者对出行方式偏好的差异性,这种差异性受很多因素影响,例如出行费用的高低,出行时间的长短,舒适性的优劣等等。但是,如果出行者在某一时期内偏爱某一个或几个出行方式,那么出行者就会展现出对出行方式的一个忠诚性,这种忠诚性是依赖于出行者特性的。
1.2 忠诚度变量的定义假设某个出行者在第t次出行对某种出行方式的选择忠诚度是由该出行者过去选择这个出行方式的情况来确定的,即是出行选择历史的函数,设为0到1之间的变量(从0到1代表忠诚度由低到高,0表示没有忠诚,1表示绝对忠诚)。
故,若记Fijt为第i个出行者第t次出行选择出行方式j的出行方式选择忠诚度变量,则:

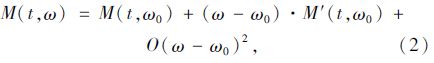
本文的研究主要采用过去的选择行为对此次选择行为效用的影响,故在计算忠诚度评估值时,采用指数平滑法来刻画忠诚度,既反映忠诚度的持续性也要考虑忠诚度的突变性,在处理上采用一种改进的、更加快捷的方法[13]来抓取平滑指数ω。其基本思想是:对每个出行者而言,忠诚度变量F是ω的非线性函数,记为M(t,ω),然后以ω为变量在ω0处进行泰勒级数展开后为:

为了更好地描述文献[13]中忠诚度变量的定义,本文假设出行者仅有城际巴士和城际铁路两个方式选择,选择忠诚度平滑指数ω=0.6,某个出行者在出行8次的情况下,前后每次出行所选择的出行方式和所计算的忠诚度如表 1所示。
| 选择次序 | 第1次 | 第2次 | 第3次 | 第4次 | 第5次 | 第6次 | 第7次 | 第8次 |
| 选择的出行方式 | 城际巴士 | 城际巴士 | 城际巴士 | 城际铁路 | 城际铁路 | 城际巴士 | 城际铁路 | 城际巴士 |
| 城际巴士的忠诚度 | 0.5 | 0.7 | 0.82 | 0.492 | 0.295 4 | 0.577 2 | 0.346 3 | 0.607 8 |
| 城际铁路的忠诚度 | 0.5 | 0.3 | 0.18 | 0.508 | 0.704 6 | 0.422 8 | 0.653 7 | 0.392 2 |
本例的算法过程可以参见文献[13],从表 1中可以看出,基于动态特性即以历史的出行来预测出当前出行以及未来出行的忠诚度,出行者对城际巴士的选择忠诚度在出行者选择城际巴士的时候增加,选择城际铁路时降低,如前三次出行;当第4次出行时,出行者突然选择城际铁路作为其出行方式,此时出行者对城际巴士的选择忠诚度降低,对城际铁路的选择忠诚度增加;当第5次出行时出行者依然选择城际铁路作为其出行方式,此时出行者对城际巴士的选择忠诚度持续降低,对城际铁路的选择忠诚度持续增加,后面的出行忠诚度以此类推。另外,本例中忠诚度平滑指数ω=0.6,在研究中发现,如果本次选择和上次选择相同时,即选择持续时,ω的值越大,忠诚度增加越小,而当本次与上次选择不同,即发生突变行为时,ω的值越大,忠诚度减少较小,归纳起来,即ω越大,忠诚度的变动越小,表现出愈加强烈的忠诚特性;反之,ω越小,忠诚度的变动越大,表现出更强的选择突变行为,这种特性与式(1)中的定义是吻合的,上述分析计算都说明该算例忠诚度的计算方法符合出行者的选择情景,较好地刻画了实际情况。
2 含忠诚度的出行选择行为模型构建 2.1 Mixed Logit模型出行方式选择的非集计模型的理论基础是经济学中的效用最大化原则,基本理论假设是,出行者做出选择时能同时评估出行方式的所有属性,从而对每一种方式赋予一个效用值。然后,出行者对各个效用进行比较,效用最高的方式被最终选定[16,17]。
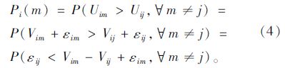
根据上述理论,出行者选择方式j的效用可表示为:


当随机项ε服从二重指数分布(Gumbel Distribution )时,可以推导出Logit非集计模型。Logit模型是最简单和最广泛使用的非集计行为模型,但非集计Logit模型存在着IIA(Independent from irrelevant alternatives)特性、跨期间的重复选择和喜好随机性限制(Limitation of random taste variation)。针对Logit模型的局限性,提出了一些Logit模型的派生和改进,如MNL(Multinomial Logit)模型、Nested Logit模型、Mixed Logit模型等等。Mixed Logit解决了其他Logit模型的局限,包含了任何形式的混合分布(离散分布、连续分布),灵活性高,可以近似于任何随机效用模型,因而近几年发展迅速[18,19]。
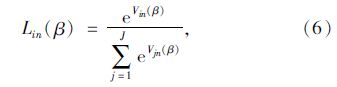
在Mixed Logit模型中,出行者n选择方案i的概率可表示为:



Mixed Logit模型的表达式没有封闭解,需要通过模拟的方法来进行估计。一般是按照某一分布密度进行抽样生成随机数,然后把这些随机数代入Lim(β)函数得到函数值,最后对这些函数值进行平均计算从而得到选择概率Pim的模拟解。Mixed Logit模型不受分布函数的限制,可以在任何精度上趋近于任何一种随机效用模型,因而具有着广泛的应用前景。
2.2 引入忠诚度变量的模型本文研究对象是城市群出行行为,故根据城市群城际出行的特点,主要考虑城际巴士、小汽车和城际铁路这三种出行方式。当出行者面临不同的出行方式时,由于各个出行方式存在的各种差异,就会导致人们选择行为的差异。因此结合城市群出行的特性及各个出行方式特性,需要考虑影响出行行为的影响因素。同时在引入忠诚度变量后的城际出行方式选择模型中,需要考查出行者在一段时间内的多次出行情况。本文选取三种较为典型的城际出行影响因素作为模型变量,同时结合出行选择行为的忠诚度变量,如表 2所示。
| 影响因素 | 变量 | 待估计系数 |
| 出行费用 | X1 | β1 |
| 出行时间 | X2 | β2 |
| 便捷舒适性 | X3 | β3 |
| 忠诚度变量 | F | β |
| 出行方式 | 城际巴士:1 城际铁路:2 小汽车:3 | |
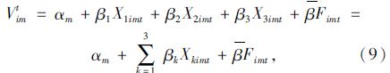
因此,根据经济学中效用最大化原则进行选择,则出行者i第t次出行选择的出行方式m(m=1,2,3)的效用为:

那么,现在可观测效用部分引入出行方式选择忠诚度变量,即用忠诚度变量来描绘出行者出行方式选择的动态行为。则有:

那么可以得到出行者i第t次出行选择出行方式m的概率为:

对于其中平滑指数的起始值ω0,假设每个出行者第一次出行时,各出行方式的选择惯性度相同,记为Fij1=1/J,J是可供选择的出行方式的个数。那么得到确定ω的具体步骤如下:
第1步,选取ω的起始值ω0;
第2步,对每个样本点在ω=ω0处计算F和DF的值,DF为F对ω的偏导数;
第3步,将F和DF的值看成是属性变量,将其代入Mixed Logit模型,估计F和DF的系数值,分别记为β和β′;
第4步,令ω0=ω0+β′/β,更新ω0的值;
第5步,重复步骤2,直至ω0收敛,即β′接近于0。此时,ω0的值就是收敛指数。
有关于Mixed Logit模型的求解,可参阅文献[18, 19, 20, 21],本文不再赘述。
3 含忠诚度的城际出行选择行为实证研究 3.1 调查问卷情况的描述本研究从动态视角研究城际交通方式的选择行为,把城际巴士、小汽车和城际铁路作为选择肢,将表 2中变量X1~X3作为模型的特征变量,制作调查问卷,对长三角地区南京、镇江、无锡、杭州和上海等城市的部分城际出行者进行了调查。特别的,在调查问卷中,设置对被调查者出行选择历史的问题调查,如“以往选择什么方式出行,在三个选择肢中,各有多少次?”,“下一次或者下几次出行,你会在3个选择肢中选择哪个出行方式?”等,通过在火车站、长途汽车站以及高速公路收费口发放调查问卷的形式,得到了在这几个城市之间的城际交通调查数据。总计发放问卷2 000份,收回有效问卷1 576份。在对调查问卷处理时,挑选了有多次(至少两次)出行的出行者,排除了只有单次出行的调查问卷。
3.2 变量处理与设置出行费用:费用是出行者实际付出的费用,本文以出行者实际出行所付出的费用作为出行费用变量。
出行时间:人们在出行时,由于所采用的交通方式的不同,会存在着时间的差异,这其中包括换乘时间、等待时间、交通方式运行之间等等。本文按照实际调查的时间来进行估算。
便捷舒适性:通常人们对于此变量,主要是通过出行方式的服务水平、班次以及换乘车辆的连贯性等等来进行评价。通常表示为:优,4;良,3;中,2;差,1。
忠诚度变量:对于此变量,表征范围为0~1(0表示没有忠诚,1表示绝对忠诚)。
通过对这些数据的分析,将长途汽车、城际铁路和小汽车作为选择肢,把表 2中的变量作为选择方式模型的特征变量。Mixed Logit模型中不同的变量系数可能有不同的随机分布形式,可以根据不同类型的变量设定为正态分布、对数正态分布、均与分布、三角分布等不同的分布形式,以符合模型应用的实际意义。对于城际出行者而言,出行距离以及费用越大的时候,效用是负值,SB分布具备双边约束性,并且可以保证影响因素系数符号的单一性,用于出行时间和出行费用等负值系数的估计对整个模型的拟合度和精度具有同正态分布类似的效果,非常适合交通出行方式的模型系数标定,因此对于β1和β2的系数设为服从SB分布。便捷舒适性的变量系数一般可以设为定值,故将β3待估系数定为固定系数[19,20,21]。
3.3 模型拟合结果
对模型进行拟合,经过多次反复迭代测试,模型趋于收敛,各项系数与上次迭代相比无大变化,此时忠诚度平滑指数ω=0.65。表 3给出了待估系数的估计结果和分布形式,括号内的值是对应参数的估计标准误差(standard error)。对于城际出行者出行来说,在出行时间以及费用越大的时候,效用是负值,即出行时间越长,费用越高,出行者越不会选择这种出行方式,即它们对效用的作用是反向的,因此它们的待估系数值为负数,体现它们对效用的负值作用。便捷舒适的效用系数为正值,这与我们的常识也是一致的,出行者倾向于选择更便捷、更舒适的交通方式。通过表 3可知,考虑忠诚度变量之后的拟合优度比有较大的提高,表明考虑忠诚度变量之后的模型能较好地模拟城际居民出行方式选择行为。
| 影响因素 | 待估系数 | 分布类型 | 均值μ(标准误差)/标准差σ(标准误差) | |
| 不考虑忠诚度变量 | 考虑忠诚度变量 | |||
| 出行费用 | β1 | SB分布 | -1.607 7(13.27)/1.413 2(16.44) | -1.238 1(22.05)/1.754 1(19.11) |
| 出行时间 | β2 | SB分布 | -3.969 1(21. 57)/1.865 1(19.28) | -2.781 4(13. 44)/2.773 3(15.68) |
| 便捷舒适性 | β3 | 固定值 | 4.641 0(0.006 5) | 4.023 4(0.002 8) |
| 忠诚度变量 | β | — | — | 3.789 6(0.005 3) |
| 忠诚度变量偏导 | — | — | — | 0.026 9 |
| 拟合优度比 | ρ2 | — | 0.349 | 0.457 |
最终,出行选择忠诚变量的系数是3.789 6,说明出行者对出行方式确实具有忠诚度,而且其效用为正值,对效用影响显著。同时,引入忠诚度变量之后,出行费用、出行时间和便捷舒适性属性变量的系数符号没有改变。出行费用和出行时间的系数有所增加,意味着这两个属性变量产生的负效用有所减少,说明出行者对出行费用和出行时间变得较不敏感。而且便捷舒适性的系数也随着忠诚度因子的加入而减小,即出行者对便捷舒适性的需求有所降低,所产生的正效用减少。引入忠诚度变量来表征出行者的动态特性,出行者对原有的影响因素属性的敏感度都降低了,说明从动态视角来看,出行者习惯于某种出行方式,注意力都集中于这种出行方式上,形成了习惯或者依赖。
4 结论本文针对城市群城际交通方式选择行为进行分析,构建了含有忠诚度变量的Mixed Logit的交通方式选择模型,分析了出行者交通选择行为的影响因素,并结合忠诚度的平滑指数,有效的表征了城际出行者选择忠诚度,刻画了出行者对出行方式选择的动态特性,考查了出行者对不同时期的出行方式选择的相互关联性。利用大量调查问卷,进行了实证研究,得到以下结论:
(1)本文在Mixed Logit模型基础上引入刻画城际出行者出行方式动态选择行为的忠诚度变量,利用忠诚度变量抓住了出行者出行方式选择的时空关联性,提出忠诚度的平滑指数,通过该指数来表征忠诚度变量的变化趋势和幅度,较好地反映出行者选择忠诚度的持续性和突变性。通过调查数据分析和研究发现,在引入忠诚度变量之后,效用模型很好地从选择忠诚特性上还原了出行方式选择的动态特性,即选择状态的依赖和习惯的持续性,也揭示了出行者的异质性,是一种带有倾向性的行为反应,所建立的模型对出行者的动态选择行为给出了符合预期的解释。
(2)通过对引入和不引入忠诚度变量的Mixed Logit模型对比研究,随着忠诚度变量的加入,出行者过往的选择历史和出行体验,对交通出行选择心理具有显著的影响。这一结论也反映了城际出行方式中,一味降低票价或者推出豪华车型等,并不能带来预期效果。
这些结论对于城际交通规划设计具有参考价值和指导意义,同时对于研究不同属性、不同认知模式和不同出行心里人群的出行行为分析具有借鉴价值。由于知识背景、理论水平的限制,本文还存在一定的不足,如调查样本广泛性还需加强,样本数量和调查地点及方式均有一定局限性,出行者出行选择的历史数据采集也可采用更加科学的方法,如利用身份证信息采集历史出行数据等,从而更加准确分析忠诚度因子的影响。另外对于Mixed Logit模型中的影响因素和模型变量选取还可更加细致,如加入考察出行距离、出行目的等影响因素,这些将是未来研究的方向。
| [1] | 方创琳,姚士谋,刘盛和,等. 中国城市群发展报告[M]. 北京:科学出版社,2010. FANG Chuang-lin,YAO Shi-mou,LIU Sheng-he,et al. Report of Urban Agglomerations Development in China[M]. Beijing:Science Press,2010. |
| [2] | 刘炳恩,隽志才,李艳玲,等. 居民出行方式选择非集计模型的建立[J]. 公路交通科技,2008,5 (5):116-120. LIU Bing-en,JUAN Zhi-cai,LI Yan-ling,et al. Development of a Multinomial Logit Model for Travel Mode Choice of Residents[J]. Journal of Highway and Transportation Research and Development,2008,25(5):116-120. |
| [3] | 殷焕焕,关宏志,秦焕美,等. 基于非集计模型的居民出行方式选择行为研究[J]. 武汉理工大学学报:交通科学与工程版,2010,34 (5):1000-1003. YIN Huan-huan,GUAN Hong-zhi,QIN Huan-mei,et al. Study of Travel Mode Choice Behavior Based on Disaggregate Model[J]. Journal of Wuhan University of Technology: Transportation Science & Engineering,2010,34 (5):1000-1003. |
| [4] | 宗芳,隽志才,高研,等. 拥挤收费政策交通影响评价[J]. 吉林大学学报:工学版,2009,39 (2):343-348. ZONG Fang,JUAN Zhi-cai,GAO Yan,et al. Evaluation of Impact of Traffic Congestion Pricing Policy on Traffic System[J]. Journal of Jilin University: Engineering and Technology Edition,2009,39 (2):343-348. |
| [5] | 许旺土,何世伟,宋瑞,等. 考虑拥挤收费的非集计交通方式分担模型研究[J]. 交通运输系统工程与信息,2008,8 (3):96-102. XU Wang-tu,HE Shi-wei,SONG Rui,et al. Disaggregate Modal-split Model Considering Congestion Pricing[J]. Journal of Transportation Systems Engineering and Information Technology,2008,8 (3):96-102. |
| [6] | 张萌,孙全欣,陈金川,等. 北京市女性出行行为研究[J]. 交通运输系统工程与信息,2008,8(2):19-26. ZHANG Meng,SUN Quan-xin,CHEN Jin-chuan,et al. Travel Behavior Analysis of the Females in Beijing[J]. Journal of Transportation Systems Engineering and Information Technology,2008,8 (2):19-26. |
| [7] | 冯忠祥,刘浩学,张景峰. 农村人口出行方式选择模型[J]. 交通运输工程学报,2010,10 (3):77-83. FENG Zhong-xiang,LIU Hao-xue,ZHANG Jing-feng. Selection Model of Trip Modes for Rural Population[J]. Journal of Traffic and Transportation Engineering,2010,10 (3):77-83. |
| [8] | 赵建有,袁华智,蹇小平,等. 城市低收入人群出行方式选择模型[J]. 长安大学学报:自然科学版,2012,32 (4):65-69. ZHAO Jian-you,YUAN Hua-zhi,JIAN Xiao-ping,et al. Selection Model of Travel Mode for Urban Low-income Population[J]. Journal of Chang'an University:Natural Science Edition,2012,32 (4):65-69. |
| [9] | 徐婷,蓝瑧,胡大伟,等. 出行成本对居民出行方式的影响[J]. 交通运输工程学报,2013,13 (1):91-97. XU Ting,LAN Zhen,HU Da-wei,et al. Influence of Trip Cost on Trip Mode for Resident[J]. Journal of Traffic and Transportation Engineering,2013,13(1):91-97. |
| [10] | 王爽,赵鹏. 基于Logit模型的客运专线旅客选择行为分析[J]. 铁道学报,2009,31 (3):6-10. WANG Shuang,ZHAO Peng. Analysis of Passengers' Choice Behavior for Dedicated Passenger Railway Lines Based on Logit Model[J]. Journal of the China Railway Society,2009,31 (3):6-10. |
| [11] | KEANE M P. Modeling Heterogeneity and State Dependence in Consumer Choice Behavior[J]. Journal of Business and Economic Statistics,1997,15 (3):10-27. |
| [12] | GUADAGNI P M,LITTLE D C. A Logit Model of Brand Choice Calibrated on Scanner Data[J]. |
| [13] | FADER P S,LATTIN J M,LITTLE J D C. Estimating Nonlinear Parameters in the Multinomial Logit Model[J]. Marketing Science,1992,11(4):372-385.[14] GUADAGNI P M,LITTLE J D C. Commentary: A Logit Model of Brand Choice Calibrated on Scanner Data[J]. |
| [14] | GUADAGNI P M,LITTLE J D C. Commentary: A Logit Model of Brand Choice Calibrated on Scanner Data[J].Marketing Science,2008,27 (1):26-28. . |
| [15] | 张月莉,史天林,过聚荣. 基于Meta-SEM的顾客忠诚因果模型研究[J]. 工业工程与管理,2008,13 (2):101-105. ZHANG Yue-li,SHI Tian-lin,GUO Ju-rong. A Causality Model Study of Customer Loyalty Based on Meta-SEM Method[J]. Industrial Engineering and Management,2008,13 (2):101-105. |
| [16] | MCFADDEN D,TRAIN K. Mixed MNL Models for Discrete Response[J]. |
| [17] | MCFADDE D. Disaggregate Behavioral Travel Demand's RUM Side:A 30-year Retrospective[C] //The International Association for Travel Behavior (IATB) Conference. Queensland,Australia: IATB,2000:17-63. |
| [18] | KENNETH T. Discrete Choice Methods with Simulation[M]. New York:Cambridge University Press,2009. |
| [19] | 王树盛,黄卫,陆振波. Mixed Logit模型及其在交通方式分担中的应用研究[J]. 公路交通科技,2006,23 (5):88-91. WANG Shu-sheng,HUANG Wei,LU Zhen-bo. Study on Mixed Logit Model and Its Application in Traffic Mode Split[J]. Journal of Highway and Transportation Research and Development,2006,23 (5):88-91. |
| [20] | 罗剑,王树盛,李旭宏. 基于SB分布的Mixed Logit交通方式分担模型及其验证[J]. 公路交通科技,2007,24 (6):110-113. LUO Jian,WANG Shu-sheng,LI Xu-hong. Mixed Logit Traffic Mode Split Model Based on SB Distribution and Its Validation[J]. Journal of Highway and Transportation Research and Development,2007,24 (6):110-113. |
| [21] | 李华民,黄海军,刘剑锋. 混合Logit模型的参数估计与应用研究[J]. 交通运输系统工程与信息,2010,10 (5):73-78. LI Hua-min,HUANG Hai-jun,LIU Jian-feng. Parameter Estimation of the Mixed Logit Model and Its Application[J]. Journal of Transportation Systems Engineering and Information Technology,2010,10 (5):73-78. |
2014, Vol. 31
