扩展功能
文章信息
- 曹海莹, 张书恒, 费兴彪, 刘德用
- CAO Hai-ying, ZHANG Shu-heng, FEI Xing-biao, LIU De-yong
- 一种非极限状态主、被动土压力计算方法
- A Method for Calculating Active and Passive Earth Pressures in Non-limit State
- 公路交通科技, 2021, 38(5): 31-40, 64
- Journal of Highway and Transportation Research and Denelopment, 2021, 38(5): 31-40, 64
- 10.3969/j.issn.1002-0268.2021.05.005
-
文章历史
- 收稿日期: 2020-10-09
2. 燕山大学 建筑工程与力学学院, 河北 秦皇岛 066004
2. School of Civil Engineering and Mechanics, Yanshan University, Qinhuangdao Hebei 066004 China
随着道路工程的不断发展,支挡结构被越来越多地运用于陡坡路基条件下,在挡墙发生过移动后的土压力计算是否仍能按照极限状态土压力进行计算已经引起了越来越多的关注[1]。经典的土压力理论因其简单实用,一直被沿用至今,但在工程实际中,土体发生的位移很小,往往处于一种非极限状态[2],经典的郎肯理论和库伦理论已不能满足实际工程的需要,因此,研究非极限状态下的土压力计算模型,有着非常重要的意义。
目前研究非极限状态下的土压力问题,可归纳为以下4种途径:现场监测[3-4]、模型试验[5-7]、数值模拟[8-10]和理论计算[11-15]。文献[3-4]通过对挡墙实体工程的现场原位监测, 研究分析了挡土墙后土体垂直土压力、墙背侧向土压力分布规律。文献[5-7]通过土工离心模型试验、现场缩尺模型试验等研究讨论了挡墙不同位移模式下墙背土压力和路基填土变形的影响关系, 分析了刚性变位模式下挡墙土压力的变化, 得到了墙背土压力的基本规律。文献[8]进行了有限元模拟,以研究砂土的三维主动土压力,分析了变形模式、长宽比、相对密度和墙土摩擦角对土压力-位移的影响。文献[9-10]通过模型试验和数值模拟相结合的方法,研究了土体位移随填土高度的变化规律和土压力的分布特性。
理论计算大致可归为以下几类:第1类是考虑非极限土压力与填土位移的关系,建立土压力与位移之间的函数关系式[11-13]。此类方法抓住了土压力大小主要取决于填土位移这一关键问题,其缺点是两者的函数关系式很难统一。第2类是考虑了土体在运动过程中自身参数从初始值到极限值的发挥过程,用非极限状态下的土体参数替换经典土压力计算理论中的土体参数[14-16]。此类方法使用了土的抗剪强度发挥值的概念,思路清晰,不足之处在于缺乏揭示土体强度参数与位移之间非线性关系的实测数据。第3类是通过改进的库仑极限平衡理论,利用薄层单元法开展非极限状态土压力计算[17-18]。此类方法推导过程严密,但因涉及的计算参数众多,目前适合复杂工况的理论公式并不多见。理论计算方法中的这几种思路在一定程度上解决了非极限土压力的计算问题,推动了相关研究的发展,但也存在着计算误差较大、过程繁琐的弊端。
虽然已有的关于非极限土压力的研究有了较大的进展,但其理论研究仍处于不成熟阶段,还需进一步深入。本研究基于非极限土压力与静止土压力和极限土压力的关系特性,在文献[11]的基础上,运用加权组合的数学思想,结合已有非极限土压力的研究成果,提出一种简单实用、计算结果准确的非极限土压力计算模型,并与已有方法比对验证,证明该模型的合理性。
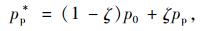
1 加权组合计算模型在支护结构中,当位移为0时,土体处于静止状态,此时的土压力为静止土压力;由于某种原因导致支护结构产生偏离或偏向土体的位移时,会使得水平应力衰减或增长,直至土体达到极限平衡状态,衰减和增长的土压力分别称为松弛应力和挤压应力[11],静止状态与极限状态之间的“中间状态”称为非极限状态,相应的土压力为非极限主动土压力或非极限被动土压力。
在相同条件下,静止土压力、非极限土压力、极限土压力之间存在如下关系:
|
(1) |
|
(2) |
式中,pa为主动土压力;pa*为非极限主动土压力;p0为静止土压力;pp*为非极限被动土压力;pp为被动土压力。
非极限土压力可用如下形式表示[11]:
|
(3) |
|
(4) |
式中,pr为松弛应力;ps为挤压应力。
对式(3)变形为:
|
(5) |
由式(1)、式(5)可得,最大松弛应力prmax为:
|
(6) |
显然,非极限主动土压力的大小取决于松弛应力的大小,松弛应力大,则非极限主动土压力小;松弛应力小,则非极限主动土压力大。因此,可以引入一个反映松弛应力大小对非极限主动土压力影响程度的参数。卢坤林等[12]通过引入位移函数来描述松弛应力与其最大值之间的关系,但考虑到函数模型的普适性以及模型参数的不确定性,在非极限土压力的计算中仍有诸多不便。
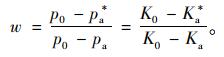
引入松弛应力发挥系数w:
|
(7) |
将式(3)、(6)代入式(7)可得:
|
(8) |
由式(1)、(8)可知:0≤w≤1。
松弛应力发挥系数体现的是应力松弛程度的大小,反映了松弛应力大小对非极限主动土压力的影响程度,由式(8)知,松弛应力发挥系数越大,应力松弛程度越大,非极限主动土压力越小。当w=0时,土体未发生松弛,即处于静止状态;当w=1时,土体完全松弛,达到主动状态;当0 < w < 1时,土体部分松弛,处于非极限状态。对式(8)作变形,可得到:
|
(9) |
式(9)即为基于松弛应力发挥系数的加权组合计算模型。
2 非极限主动土压力计算 2.1 松弛应力发挥系数的引入经典的土压力理论中,对无黏性土,土压力可表示成如下形式:
|
(10) |
|
(11) |
式中,K0为静止土压力系数;Ka为主动土压力系数;γ为填土重度;z为所计算点到填土面的高度。
当土体处于非极限状态时,作如下假定:(1) 挡土墙后填土为无黏性土;(2)土体处于非极限状态时,土体中存在潜在的滑动面;(3)填土表面无超载。
依据上述假设,非极限主动土压力可表示为如下形式[17]:
|
(12) |
式中Ka*为非极限状态主动侧土压力系数。
把式(10)~(12)代入式(8)可得:
|
(13) |
因此,只要确定K0,Ka*,Ka这3个参数的值,即可得到松弛应力发挥系数,进而求得非极限状态主动土压力。
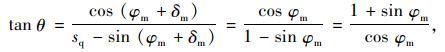
2.2 松弛应力发挥系数的推导文献[17-18]通过薄层单元法研究了挡土墙非极限状态下的主动土压力,推导了非极限状态下各参数的表达式,在上述研究的基础上,通过推导非极限侧土压力系数与摩擦角的关系,提供一种简单实用的非极限主动土压力计算方法。以文献[17]中推导的公式为计算依据:
|
(14) |
其中:
|
(15) |
|
(16) |
式中,α,β分别为墙背的倾斜角、墙后填土面的倾角;φm,δm分别为非极限状态下的土体内摩擦角、墙土摩擦角;θ为准滑动面与水平面倾角。
当α=0,β=0时,对式(14)~(16)作简化:
|
(17) |
|
(18) |
|
(19) |
当墙背光滑,即δm=0时,作进一步简化可得:
|
(20) |
|
(21) |
|
(22) |
令
|
(23) |
因此,在α=0,β=0,δm=0时,
|
(24) |
图 1为δm在不同取值时Ka*随λm的变化规律图。由图 1知,Ka*与λa线性关系明显,若按照线性关系处理,其相关系数大于0.99。
|
| 图 1 Ka*与λm关系图 Fig. 1 Relationship between Ka* and λa |
| |
用Matlab拟合函数关系,如表 1所示。
| δ/(°) | Ka*与λa的关系 |
| 0 | Ka*=λa |
| 5 | Ka*=1.061 9λa-0.003 8 |
| 10 | Ka*=1.099 8λa-0.001 3 |
| 15 | Ka*=1.12 85λa+0.003 8 |
| 20 | Ka*=1.152 7λa+0.010 6 |
| 25 | Ka*=1.174 6λa+0.018 9 |
| 30 | Ka*=1.195 6λa+0.029 0 |
因此,可以认为Ka*与λa之间存在如下关系:
|
(25) |
作m, b这两个参数与sin δm的关系图,如图 2、图 3所示。
|
| 图 2 m与sinδm关系图 Fig. 2 Relationship between m and sin δm |
| |
|
| 图 3 b与sinδm关系图 Fig. 3 Relationship between b and sin δm |
| |
按线性关系处理时,相关系数为0.981 9。用Matlab拟合可得如下关系:
|
(26) |
在Matlab中用二次函数拟合:
|
(27) |
文献[12]通过研究应力-应变关系,建立了非极限内摩擦角与位移的关系。
|
(28) |
式中,φ为主动极限状态时的填土内摩擦角;η为位移比,η=s/sc(s为位移,sc为达到极限状态时的位移),r为破坏比,取值0.75~1.0。
假设墙土摩擦角与内摩擦角有相同的变化规律,则:
|
(29) |
式中δ为极限状态时的墙土摩擦角。
因此,联立式(25)~(29)即可得出非极限状态下的侧土压力系数,表 2为在不同内摩擦角和不同位移情况下Ka*的取值。(取r=0.85)
| φ/(°) | η | ||||||||||
| 0 | 0.1 | 0.2 | 0.3 | 0.4 | 0.5 | 0.6 | 0.7 | 0.8 | 0.9 | 1.0 | |
| 15 | — | 0.720 8 | 0.692 4 | 0.675 8 | 0.665 1 | 0.657 3 | 0.651 7 | 0.647 3 | 0.643 7 | 0.641 0 | 0.638 6 |
| 20 | 0.702 0 | 0.645 4 | 0.616 3 | 0.598 4 | 0.586 8 | 0.578 5 | 0.572 4 | 0.567 6 | 0.563 8 | 0.560 8 | 0.558 3 |
| 25 | 0.624 6 | 0.554 8 | 0.524 2 | 0.505 3 | 0.493 0 | 0.484 4 | 0.477 9 | 0.472 9 | 0.468 9 | 0.465 6 | 0.463 0 |
| 30 | 0.549 5 | 0.483 2 | 0.452 0 | 0.433 7 | 0.421 8 | 0.413 4 | 0.407 1 | 0.402 2 | 0.398 4 | 0.395 3 | 0.392 7 |
| 35 | 0.477 2 | 0.415 7 | 0.386 7 | 0.369 9 | 0.358 9 | 0.351 2 | 0.345 4 | 0.341 0 | 0.337 4 | 0.334 6 | 0.332 1 |
| 40 | 0.408 7 | 0.354 1 | 0.328 4 | 0.313 6 | 0.303 9 | 0.297 1 | 0.292 1 | 0.288 1 | 0.285 1 | 0.282 5 | 0.280 6 |
| 45 | 0.344 6 | 0.298 1 | 0.276 6 | 0.264 2 | 0.256 1 | 0.250 4 | 0.246 2 | 0.243 0 | 0.240 5 | 0.238 3 | 0.236 6 |
| 50 | 0.285 5 | 0.248 3 | 0.231 2 | 0.221 5 | 0.215 1 | 0.210 7 | 0.207 3 | 0.204 9 | 0.202 8 | 0.201 2 | 0.199 9 |
在式(28)中:
当η=s/sc=0时,土体处于静止状态,此时有:Ka*=Kη=0,因此,
|
(30) |
当η=s/sc=1时,土体处于主动状态。此时有:Ka*=Kη=1,因此,
|
(31) |
综上所述,联立式(25)~(29),(30),(31),即可得到K0,Ka*,Ka的取值,进而通过式(9),(13)即可求得非极限状态主动土压力。由于松弛应力发挥系数是非线性变化的,因此得到的加权组合计算模型也是非线性计算模型。
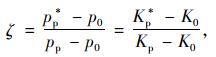
3 非极限被动土压力计算 3.1 挤压应力发挥系数的引入引入挤压应力发挥系数ζ:
|
(32) |
式中psmax为最大挤压应力。
同理可得到基于松弛应力发挥系数的加权组合计算模型:
|
(33) |
式中pp*为非极限被动土压力。
ζ可按照下式计算:
|
(34) |
式中,Kp为被动土压力系数;Kp*为非极限状态被动侧土压力系数。ζ的取值范围为0≤ζ≤1。
3.2 挤压应力发挥系数的推导对于非极限被动土压力,仍可采用与非极限主动土压力类似的计算模型来进行计算,即:使用加权组合的数学思想来计算非极限被动土压力。同理,非极限被动土压力的大小跟挤压应力的大小有关,挤压应力大,则非极限被动土压力大;挤压应力小,则非极限被动土压力小。因此,引入一个反映挤压应力大小对非极限被动土压力影响程度的参数,即挤压应力发挥系数。
主动非极限状态和被动非极限状态是土体运动过程中的两个相反的过程,因此,把主动非极限状态下计算公式中的相关参数(φm,δm)取相反数[19],即可得到非极限被动状态下的计算公式。当α=0,β=0时:
|
(35) |
|
(36) |
|
(37) |
当墙背光滑,即δm=0时,作进一步简化可得:sq=1。
|
(38) |
|
(39) |
令
|
(40) |
因此,在α=0,β=0,δ=0时,
|
(41) |
图 4所示为δm在不同取值时Kp*与λp的关系图。
|
| 图 4 Kp*与λp关系图 Fig. 4 Relationship between Kp* and λp |
| |
在图 4中,与线性关系明显,按照线性关系处理时其相关系数大于0.98,用Matlab拟合函数关系,如表 3所示。
| δ/(°) | Kp*与λp的关系 |
| 0 | Ka*=λp |
| 5 | Kp*=0.824 4λp+0.178 8 |
| 10 | Kp*=0.754 4λp+0.231 8 |
| 15 | Kp*=0.746 4λp+0.203 1 |
| 20 | Kp*=0.794 1λp+0.087 5 |
| 25 | Kp*=0.918 8λp-0.169 4 |
| 30 | Kp*=1.202 7λp-0.754 7 |
因此,可以认为Kp*与λp之间存在如下关系:
|
(42) |
|
| 图 5 n与sin δm关系图 Fig. 5 Relationship between n and sin δm |
| |
|
| 图 6 c与sin δm Fig. 6 Relationship between c and sinδm |
| |
用Matlab拟合图中关系可得:
|
(43) |
用Matlab拟合图中关系可得:
|
(44) |
徐日庆等[20]提出了非极限状态摩擦角从静止状态到极限状态随墙体位移变化的计算公式:
|
(45) |
|
(46) |
式中,Kd为考虑s对φm和δm影响的系数,Kd=4arctanηπ;δ0为静止状态时的墙土摩擦角, δ0=φ/2。
在表 4中,当η=s/sc=0时,土体处于静止状态。此时,记Kp*=Kη=0,因此,
|
(47) |
但考虑到土压力曲线的连续性以及K0 < 1的实际情况,表 4中Kp*在η=0时的值取为表 2中Ka*在η=0时的取值。
| φ/(°) | η | ||||||||||
| 0 | 0.1 | 0.2 | 0.3 | 0.4 | 0.5 | 0.6 | 0.7 | 0.8 | 0.9 | 1.0 | |
| 15 | 1.299 9 | 1.328 6 | 1.356 8 | 1.384 4 | 1.411 0 | 1.435 9 | 1.459 3 | 1.481 0 | 1.501 1 | 1.519 2 | 1.536 0 |
| 20 | 1.404 6 | 1.442 9 | 1.481 2 | 1.519 5 | 1.556 3 | 1.592 0 | 1.625 8 | 1.657 7 | 1.687 4 | 1.715 2 | 1.740 6 |
| 25 | 1.528 4 | 1.580 6 | 1.634 0 | 1.688 2 | 1.742 3 | 1.795 1 | 1.846 2 | 1.895 3 | 1.941 7 | 1.985 5 | 2.026 2 |
| 30 | 1.693 9 | 1.768 4 | 1.847 0 | 1.928 3 | 2.010 8 | 2.093 1 | 2.174 0 | 2.252 5 | 2.327 7 | 2.399 6 | 2.466 9 |
| 35 | 1.935 2 | 2.047 2 | 2.167 4 | 2.294 2 | 2.424 9 | 2.557 3 | 2.688 8 | 2.817 0 | 2.941 4 | 3.061 1 | 3.174 1 |
| 40 | 2.304 8 | 2.479 3 | 2.669 7 | 2.872 3 | 3.083 9 | 3.299 5 | 3.514 8 | 3.725 9 | 3.931 5 | 4.129 1 | 4.316 5 |
| 45 | 2.888 9 | 3.167 4 | 3.473 9 | 3.802 6 | 4.146 9 | 4.497 0 | 4.850 2 | 5.197 8 | 5.534 5 | 5.860 1 | 6.166 3 |
| 50 | 3.832 1 | 4.283 8 | 4.782 0 | 5.318 8 | 5.883 9 | 6.458 6 | 7.035 0 | 7.600 5 | 8.149 7 | 8.679 2 | 9.174 7 |
当η=s/sc=1时,土体处于被动状态。此时,记Kp*=Kη=1,因此,
|
(48) |
综上所述,联立式(42)~(48),即可得到K0,Kp*,Kp的取值,进而通过式(32)、式(33)即可求得非极限状态被动土压力,表 4为在不同内摩擦角和不同位移情况下Kp*的取值。由于挤压应力发挥系数是非线性变化的,因此基于挤压应力发挥系数的加权组合计算模型也是非线性计算模型。
4 验证分析 4.1 边界条件验算当挡土墙位移为0时,土体处于静止状态,图 7所示为本研究方法、经典理论(为简化计算,采用摩擦角代替有效摩擦角,因此,计算结果偏小)与贾宁法[21]对静止土压力系数的计算结果比较。
|
| 图 7 K0计算结果比较 Fig. 7 Comparison of calculation results of K0 |
| |
由图 7可知,3种方法的计算结果比较相近,当摩擦角较小时,本研究方法的计算结果略大于贾宁法和简化后的经典理论计算结果,随着内摩擦角的增大,贾宁法越来越接近本研究方法,而两种方法的计算结果与经典理论的计算结果都相差较小,因此用本研究方法来计算静止土压力也能得到比较理想的结果。
当挡土墙向离开土体方向发生位移达到极限状态时,土体处于主动状态。图 8所示为本研究方法与库仑理论和朗肯理论在计算主动土压力系数时的比较结果。
|
| 图 8 Ka计算结果比较 Fig. 8 Comparison of calculation results of Ka |
| |
由图 8可知,本研究方法计算结果大于朗肯理论和库仑理论的计算结果,而朗肯理论忽略了墙背与填土之间的摩擦,本身就会使计算结果较大,因此,采用本研究方法计算主动土压力时会带来较大的误差。
当挡土墙向土体方向发生位移达到极限状态时,土体处于被动状态。图 9所示为本研究方法与朗肯理论、库仑理论在计算被动土压力系数时的比较结果。
|
| 图 9 Kp计算结果比较 Fig. 9 Comparison of calculation results of Kp |
| |
由图 9可知,本研究方法与朗肯方法计算结果较为相近,库仑理论在计算被动土压力时会带来较大的误差。当摩擦角较小时,本研究方法计算结果略小于朗肯理论,随着摩擦角的增大本研究方法的计算结果会略大于朗肯理论,而朗肯理论在计算被动土压力时会偏小,因此,在土体的摩擦角较大时,采用本研究方法计算被动土压力会得到更为理想的结果。
4.2 实例验证 4.2.1 非极限主动土压力Fang[22]试验的试验条件如下:刚性挡土墙墙背直立,墙高h=1.0 m,填土为干砂,填土面水平无超载,γ=15.4 kN/m3,内摩擦角φ=34.0°,取δ=2φ/3,r=0.85,进行分析计算时分别取η=0.1、η=0.2。图 10为本研究计算结果、卢坤林方法[12]与试验实测结果的比较。
|
| 图 10 理论计算值与试验结果比较 Fig. 10 Comparison of theoretical calculation value and test result |
| |
由图 10看出,3种方法对非极限土压力的计算中,土压力变化呈现一致的规律,即随深度的增加土压力增加,随位移的增加土压力减小。但本研究方法与实测值的误差更小,优于卢坤林法,且本研究计算出的非极限土压力是非线性变化的,与实测结果一致。
岳祖润[23]试验的试验条件如下:离心模型试验中采用压实黏土,模型箱净空25 cm×31 cm×41.5 cm。土体参数如下:γ=18.7 kN/m3,c=38.2 kPa,φ=22.7°,取δ=2φ/3,r=0.85。图 11、图 12分别为p16、p17测点土压力本研究计算值、卢国胜方法[24]计算值与实测值的比较。
|
| 图 11 理论计算值与试验结果比较(p16) Fig. 11 Comparison of theoretical calculation value and test result (p16) |
| |
|
| 图 12 理论计算值与试验结果比较(p17) Fig. 12 Comparison of theoretical calculation value and test result (p17) |
| |
由图 11、图 12可以发现,在挡土墙某一高度处,随着挡土墙位移的增加,非极限主动土压力呈非线性减小,本研究方法与卢国胜法[24]的规律是一致的。在静止状态和主动状态时两种方法的计算结果均与实测值相同,但在非极限状态时,本研究的计算值与实测值吻合更好,两者之间误差极小,优于卢国胜法,更适用于非极限状态下主动土压力的计算。
虽然在非极限土压力计算模式中所涉及的系数推导,存在着假设条件,但最后推导出的非极限土压力计算模型中,只涉及到了摩擦角的变化过程。因此,无论是砂土还是黏性土,有无超载,以及填土面倾角等条件可能并不影响非极限土压力的计算,在上述岳祖润[23]试验实例验证中也说明了这一问题,当然这也需要更多理论和实例的支撑。
4.2.2 非极限被动土压力Fang[25]试验:针对不同类型的砂土做了模型试验,表 5为试验的相关数据。填土表面水平,墙高0.5 m。采用本研究方法分别计算了不同位移条件下相对密度(Dr)为38%,63%时砂土水平土压力随深度的变化值,并与试验数据和杨泰华等方法[26](以下简称“文献方法”)作了比较,如图 13、图 14所示。
| 填土 | Dr/% | γ/(kN·m-3) | sc/cm | φ/(°) | δ/(°) |
| 松砂 | 38 | 15.7 | 8.5 | 33 | 9.8 |
| 中砂 | 63 | 16.3 | 1.5 | 38.3 | 12.6 |
|
| 图 13 理论计算值与试验结果比较(Dr=38%) Fig. 13 Comparison of theoretical calculation value and test result (Dr=38%) |
| |
|
| 图 14 理论计算值与试验结果比较(Dr=63%) Fig. 14 Comparison of theoretical calculation value and test result(Dr=63%) |
| |
由图 13、14可知,当挡土墙位移较小时,本研究方法与文献方法的计算结果都与实测值接近,能够很好地估算非极限状态下的被动土压力,但当位移较大时,文献方法与实测值的误差增大,给非极限被动土压力的计算带来较大误差,而本研究方法的误差较小,更适用于计算非极限状态下的被动土压力。
5 结论(1) 基于加权组合的数学思想,建立了一种非极限状态主、被动土压力计算方法,该方法考虑了非极限状态侧土压力系数与土体内摩擦角、墙土摩擦角的非线性关系;相比极限平衡状态下经典土压力计算方法,非极限状态土压力计算方法更适用于实际工况,具有重要的工程应用价值。
(2) 静止土压力、极限状态土压力是非极限状态土压力的两个边界,这为加权组合计算模型的构建提供了前提条件;通过引入松弛应力发挥系数、挤压应力发挥系数为加权组合计算模型在土压力计算中的应用提供了实现路径。
(3) 非极限状态侧土压力系数由于未考虑层间剪应力相互作用,导致本研究计算方法的精度仍有提高的空间;通过考虑墙土摩擦效应,提高了非极限土压力计算精度,但墙土摩擦角计算结果与实际工况仍存在差异,若能进一步探明墙土摩擦效应规律,并建立墙土摩擦角计算公式,非极限土压力的计算结果会更加精准;对于实际工况下侧土压力系数、墙土摩擦角的现场监测是未来关注的重点。
| [1] |
谢涛, 罗强, 周成, 等. 高速铁路小变形下陡坡地基路肩桩板墙力学响应[J]. 岩土力学, 2018, 39(1): 45-52, 62. XIE Tao, LUO Qiang, ZHOU Cheng, et al. Mechanical Response of Shoulder Sheet-pile Wall under Strictly Restricted Deformation Condition in Steep Ground along a High-speed Railway[J]. Rock and Soil Mechanics, 2018, 39(1): 45-52, 62. |
| [2] |
FANG Y S, CHEN T J, WU B F. Passive Earth Pressures with arious Wall Movement[J]. Journal of Geotechnical Engineering, 1994, 120(8): 1307-1323. |
| [3] |
靳静, 杨广庆, 王志杰, 等. 多级加筋土高挡墙的工程特性及影响因素[J]. 中国铁道科学, 2019, 40(1): 8-16. JIN Jing, YANG Guang-qing, WANG Zhi-jie, et al. Engineering Characteristics and Influence Factors of Multi-Tiered Reinforced Soil High Retaining Wall[J]. China Railway Science, 2019, 40(1): 8-16. |
| [4] |
夏全平, 高江平, 陈鲁川, 等. 路基悬锚式挡土墙墙背土压力分布[J]. 公路交通科技, 2019, 36(7): 47-52. XIA Quan-ping, GAO Jiang-ping, CHEN Lu-chuan, et al. Distribution of Soil Pressure on Back of Suspension Anchor Retaining Wall[J]. Journal of Highway and Transportation Research and Development, 2019, 36(7): 47-52. |
| [5] |
李浩, 罗强, 张良, 等. 不同位移模式下衡重式路肩墙离心模型试验研究[J]. 岩土工程学报, 2015, 37(4): 675-682. LI Hao, LUO Qiang, ZHANG Liang, et al. Centrifugal Model Tests on Shoulder Balance Weight Retaining Wall with Various Motion Modes[J]. Chinese Journal of Geotechnical Engineering, 2015, 37(4): 675-682. |
| [6] |
李哲, 朱振国, 张娟, 等. 黄土边坡悬臂式与全埋式单桩抗滑桩现场模型试验[J]. 公路交通科技, 2020, 37(8): 32-40. LI Zhe, ZHU Zhen-guo, ZHANG Juan, et al. In-situ Model Test of Cantilever and Full-buried Anti-slide Single Piles in Loess Slope[J]. Journal of Highway and Transportation Research and Development, 2020, 37(8): 32-40. |
| [7] |
许雷挺, 张治成, 张戎泽, 等. 砂土中挡墙不同变位模式主动土压力模型试验[J]. 地下空间与工程学报, 2017, 13(5): 1296-1302. XU Lei-ting, ZHANG Zhi-cheng, ZHANG Rong-ze, et al. Model Test on Active Earth Pressure in Sand Induced by the Movement of Retaining Wall[J]. Chinese Journal of Underground Space and Engineering, 2017, 13(5): 1296-1302. |
| [8] |
WOERDEN F T, ACHMUS M. Numerical Modeling of Three-dimensional Active Earth Pressure Acting on Rigid Walls[J]. Computers & Geotechnics, 2013, 51: 83-90. |
| [9] |
李盛, 马莉, 王起才, 等. 高填黄土明洞卸载结构土压力模型试验和数值模拟分析[J]. 岩土工程学报, 2016, 38(4): 636-642. LI Sheng, MA Li, WANG Qi-cai, et al. Model Tests and Numerical Simulations of Earth Pressure for Unloading Structures of High Fill Open Cut Tunnel[J]. Chinese Journal of Geotechnical Engineering, 2016, 38(4): 636-642. |
| [10] |
冯忠居, 李少杰, 董芸秀, 等. 高填方盖板涵垂直土压力分布特性及计算理论[J]. 公路交通科技, 2019, 36(12): 69-78. FENG Zhong-ju, LI Shao-jie, DONG Yun-xiu, et al. Vertical Earth Pressure Distribution Characteristics and Calculation Theory of High Fill Culvert[J]. Journal of Highway and Transportation Research and Development, 2019, 36(12): 69-78. |
| [11] |
徐日庆. 考虑位移和时间的土压力计算方法[J]. 浙江大学学报: 工学版, 2000, 34(4): 370-375. XU Ri-qing. Methods of Earth Pressure Calculation for Excavation[J]. Journal of Zhejiang University: Engineering Science Edition, 2000, 34(4): 370-375. |
| [12] |
卢坤林, 杨扬. 考虑位移影响的主动土压力近似计算方法[J]. 岩土力学, 2009, 30(2): 553-557. LU Kun-lin, YANG Yang. Approximate Calculation Method of Active Earth Pressure Considering Displacement[J]. Rock and Soil Mechanics, 2009, 30(2): 553-557. |
| [13] |
谢涛, 罗强, 张良, 等. Coulomb模型下考虑墙体侧向位移的土压力计算[J]. 岩土工程学报, 2018, 40(1): 194-200. XIE Tao, LUO Qiang, ZHANG Liang, et al. Relationship between Earth Pressure and Wall Displacement Based on Coulomb Earth Pressure Model[J]. Chinese Journal of Geotechnical Engineering, 2018, 40(1): 194-200. |
| [14] |
CHANG M F. Lateral Earth Pressure behind Rotating Wall[J]. Canadian Geotechnical Journal, 1997, 34(2): 498-509. |
| [15] |
卢坤林, 杨扬. 非极限主动土压力计算方法初探[J]. 岩土力学, 2010, 31(2): 615-619. LU Kun-lin, YANG Yang. Preliminary Study of Active Earth Pressure under Nonlimit State[J]. Rock and Soil Mechanics, 2010, 31(2): 615-619. |
| [16] |
KESHAVARZ A, EBRAHIMI M. The Effects of the Soil-wall Adhesion and Friction Angle on the Active Lateral Earth Pressure of Circular Retaining Walls[J]. International Journal of Civil Engineering, 2016, 14(2): 97-105. |
| [17] |
胡俊强, 张永兴, 陈林, 等. 非极限状态挡土墙主动土压力研究[J]. 岩土工程学报, 2013, 35(2): 381-387. HU Jun-qiang, ZHANG Yong-xing, CHEN Lin, et al. Active Earth Pressure on Retaining Wall under Non-limit State[J]. Chinese Journal of Geotechnical Engineering, 2013, 35(2): 381-387. |
| [18] |
曹海莹, 刘杰锋, 武崇福, 等. 非极限状态主动土压力与填土张拉裂缝研究[J]. 中国公路学报, 2020, 33(1): 51-61, 78. CAO Hai-ying, LIU Jie-feng, WU Chong-fu, et al. Active Earth Pressure and Tensile Crack of the Fill in a Non-limit State[J]. China Journal of Highway and Transport, 2020, 33(1): 51-61, 78. |
| [19] |
杨敏, 刘斌, 周建武. 挡土墙主动和被动土压力的统一解[J]. 同济大学学报: 自然科学版, 2011, 39(2): 187-193. YANG Min, LIU Bin, ZHOU Jian-wu. Unified Solution of Active and Passive Earth Pressure on Retaining Wall[J]. Journal of Tongji University: Natural Science Edition, 2011, 39(2): 187-193. |
| [20] |
徐日庆, 龚慈, 魏纲, 等. 考虑平动效应的刚性挡土墙土压力理论[J]. 浙江大学学报: 工学版, 2005, 39(1): 119-122. XU Ri-qing, GONG Ci, WEI Gang, et al. Theory of Earth Pressure against Rigid Retaining Walls Considering Translational Movement Effect[J]. Journal of Zhejiang University: Engineering Science Edition, 2005, 39(1): 119-122. |
| [21] |
贾宁. 有限填土静止土压力系数计算方法研究[J]. 岩土工程学报, 2012, 34(7): 1333-1337. JIA Ning. Coefficient of At-rest Earth Pressure from Limited Backfill[J]. Chinese Journal of Geotechnical Engineering, 2012, 34(7): 1333-1337. |
| [22] |
FANG Y S, ISHIBASHI I. Static Earth Pressure Various Wall Movements[J]. Journal of Geotechnical Engineering, 1986, 112(3): 317-333. |
| [23] |
岳祖润, 彭胤宗, 张师德. 压实黏性填土挡土墙土压力离心模型试验[J]. 岩土工程学报, 1992, 14(6): 90-96. YUE Zu-run, PENG Yin-zong, ZHANG Shi-de. Centrifuge Model Tests on Lateral Pressure on Walls Retaining Compacted Clayey Backfill[J]. Chinese Journal of Geotechnical Engineering, 1992, 14(6): 90-96. |
| [24] |
卢国胜. 考虑位移的土压力计算方法[J]. 岩土力学, 2004, 25(4): 586-589. LU Guo-sheng. A Calculation Method of Earth Pressure Considering Displacement[J]. Rock and Soil Mechanics, 2004, 25(4): 586-589. |
| [25] |
FANG Y S, HO Y C, CHEN T J. Passive Earth Pressure with Critical State Concept[J]. Journal of Geotechnical and Geoenvironmental Engineering, 2002, 123(3): 250-259. |
| [26] |
杨泰华, 龚建伍, 汤斌, 等. 不同变位模式下无粘性土非极限被动土压力计算分析[J]. 岩土力学, 2013, 34(10): 2979-2983, 2990. YANG Tai-hua, GONG Jian-wu, TANG Bin, et al. Calculation and Analysis of Unlimited Passive Earth Pressure of Cohesionless Soil in Different Movement Modes[J]. Rock and Soil Mechanics, 2013, 34(10): 2979-2983, 2990. |
2021, Vol. 38
