扩展功能
文章信息
- 罗奎, 冀伟, 张经伟
- LUO Kui, JI Wei, ZHANG Jing-wei
- 基于动力刚度矩阵的波形钢腹板PC连续箱梁桥自振频率分析
- Analysis on Natural Vibration Frequencies of PC Continuous Box Girder Bridge with Corrugated Steel Webs Based on Dynamic Stiffness Matrix
- 公路交通科技, 2020, 37(2): 91-98
- Journal of Highway and Transportation Research and Denelopment, 2020, 37(2): 91-98
- 10.3969/j.issn.1002-0268.2020.02.012
-
文章历史
- 收稿日期: 2019-01-10
波形钢腹板PC组合箱梁桥是一种钢-混凝土组合结构桥梁。用波折状的钢腹板来替代传统的混凝土腹板,使混凝土和钢材各自的优点得到充分的发挥,即波形钢腹板主要承担剪力,而混凝土板主要承担拉、压力,同时也使结构变得轻型化且避免腹板开裂,从而降低成本、便于维修、提高预应力的施加效率和桥梁的耐久性[1]。
国内外诸多学者已经在波形钢腹板PC箱梁桥的静力和动力问题方面开展了大量的理论和试验研究。在静力问题的分析和计算方面,Nguyen等[2]研究了不等端弯矩作用及不同约束条件下的波形钢腹板Ι型钢梁的弯矩修正系数;Yi等[3]、Eldib[4]和Hassanein等[5]研究了波形钢腹板的剪切屈服强度;Moon等[6-7]研究了波形钢腹板Ι型钢梁的屈曲性能和波形钢腹板的抗剪强度;聂建国等[8]引入波形钢腹板剪切变形转角位移函数,建立了考虑腹板剪切行为的波形钢腹板理论模型,将波形钢腹板的弯曲行为分解为桁架作用和弯曲作用,给出了波形钢腹板简支梁端部无约束和有约束在均布荷载和跨中集中荷载作用下的解析解,随后根据变形等效原理,引入影响参数, 对波形钢腹板梁变形的解析解做了进一步简化,给出了钢腹板剪切变形的简化计算方法——有效刚度法[9];刘保东等[10]同时考虑波形钢腹板PC箱梁的剪力滞效应和钢腹板的剪切变形效应,推导出了该桥型的挠度计算公式。国内学者对波形钢腹板PC箱梁桥的动力特性也做了大量的研究。任红伟等[11]推导了波形钢腹板梁桥扭转振动频率的计算公式;张永健等[12]制作了波形钢腹板混凝土试验梁,并对其动力特性进行了测试;李波等[13]给出了波形钢腹板PC箱梁桥的等效阻尼比的求解方法,可为此桥型动力特性计算中阻尼的取值提供参考依据;冀伟等[14-17]考虑箱梁的剪力滞效应、波形钢腹板的剪切变形效应及两者的耦合效应,对波形钢腹板PC箱梁桥的动力特性做了大量的理论和试验研究。
虽然国内外对波形钢腹板PC箱梁桥动力特性的研究已取得了显著的成就,但目前对波形钢腹板PC箱梁桥动力特性的矩阵分析方法的研究成果较少。大多数学者推导的理论解析解只适用于特定的边界条件和荷载,此外采用ANSYS有限元建立实体模型进行分析费时费力。因此,本研究运用能量变分原理,以波形钢腹板PC箱梁截面的竖向位移、弯曲角位移及剪切角位移为未知节点位移函数,推导出波形钢腹板PC箱梁桥考虑钢腹板剪切变形的单元刚度矩阵。据此,采用MATLAB软件编制考虑钢腹板剪切效应影响下波形钢腹板PC箱梁桥自振频率计算的求解程序。所编写程序的计算结果得到了实测值和三维有限元值的验证。可将考虑钢腹板剪切变形效应下该桥型的动力分析问题简便地纳入普通杆系结构矩阵位移体系中,避免了ANSYS有限元模型建立和求解的复杂性,可为该桥型的自振频率的计算和分析提供一定的参考依据。
1 波形钢腹板的外形尺寸与有效剪切模量波形钢腹板的外形构造及尺寸如图 1所示。
|
| 图 1 波形钢腹板的尺寸 Fig. 1 Dimensions of CSW |
| |
Samantn等[18]指出钢腹板的剪切模量与外形尺寸有关,并给出钢腹板有效剪切模量Gs的求解公式:
|
(1) |
式中,α=(D1+D2)/(D1+D3); D1,D2,D3分别为波形钢腹板斜板段在水平面的投影长度、平板段长度和斜板段的长度(如图 1所示);H为波形钢腹板的波高;Es和νs分别为钢材的弹性模量和泊松比。
2 波形钢腹板PC箱梁桥的单元刚度矩阵和单元质量矩阵 2.1 基本假定(1) 由于混凝土顶、底板与波形钢腹板在弹性范围内协同工作,不考虑波形钢腹板和与混凝土顶、底板之间的相对滑移。
(2) 不考虑波形钢腹板PC箱梁的剪力滞效应和扭转变形。
(3) 由于波形钢腹板的空间效应(即手风琴效应),忽略其抗弯能力。
在竖向荷载作用下,波形钢腹板PC箱梁桥的波形钢腹板产生较大的剪切变形,使得混凝土顶、底板在初等梁理论的基础上再产生一个转角η,如图 2所示。ω, ξ, η分别为波形钢腹板PC箱梁截面的竖向位移、弯曲转角位移和剪切转角位移,3者均是关于x的函数。
|
| 图 2 波形钢腹板PC箱梁在竖向荷载作用下的变形 Fig. 2 Deformation of PC box girder with CSWs under vertical load |
| |
取该桥型横截面的一半进行分析,如图 3所示。bs和bx分别为混凝土顶、底板的宽度的一半;ts,tx和tw分别为混凝土顶、底板和波形钢腹板的厚度;h1和h2分别为混凝土顶板下边缘和混凝土底板上边缘到波形钢腹板PC箱梁整体截面形心轴的距离;hs和hx分别为混凝土顶、底板形心轴到波形钢腹板PC箱梁整体截面形心轴的距离。
|
| 图 3 波形钢腹板PC箱梁的截面尺寸 Fig. 3 Cross-sectional dimensions of PC box girder with CSW |
| |
混凝土顶、底板和波形钢腹板的纵向位移如式(2)~式(5)所示:
|
(2) |
|
(3) |
|
(4) |
|
(5) |
式中,us(x, z),ux(x, z)和uw(x, z)分别为混凝土顶、底板及波形钢腹板的纵向位移;

由基本假设,波形钢腹板PC箱梁的混凝土顶、底板和波形钢腹板的应变如式(6)~式(10)。
混凝土顶板的正应变:
|
(6) |
混凝土顶板的切应变:
|
(7) |
波形钢腹板切应变:
|
(8) |
混凝土底板的正应变:
|
(9) |
混凝土底板的切应变:
|
(10) |
上述式中, εs和εx分别为波形钢腹板PC箱梁混凝土顶、底板的正应变;γs, γx, γw分别为波形钢腹板PC箱梁混凝土顶板、底板和波形钢腹板的切应变;ξ′(x), η′(x)和ω′(x)分别为ξ(x), η(x), ω(x)对x求一阶导数。
波形钢腹板PC箱梁的应变能和外力势能如式(11)~式(14)。
混凝土顶板的应变能:
|
(11) |
波形钢腹板的应变能:
|
(12) |
混凝土底板的应变能:
|
(13) |
外力势能:
|
(14) |
上述式中, V1,V2,V3分别为波形钢腹板PC箱梁的混凝土顶板、波形钢腹板和混凝土底板的应变能;k为波形钢腹板PC箱梁混凝土顶、底板的剪切修正系数;W为外力势能;Ec,Gc,Gs分别为混凝土的弹性模量、剪切模量和波形钢腹板有效剪切模量;q为竖向荷载集度;l为波形钢腹板PC箱梁的计算跨径;A为积分区域的横截面面积。
波形钢腹板PC箱梁的总应变能V为:
|
(15yj) |
波形钢腹板PC箱梁的总势能П由总应变能V和外力势能W构成,即:
|
(16) |
由式(6)~式(16)得到波形钢腹板PC箱梁的总势能。
|
(17yj) |
式中,
波形钢腹板PC箱梁的梁单元节点位移如图 4所示。
|
| 图 4 梁单元的节点位移 Fig. 4 Node displacement of beam element |
| |
图 4中,ωi和ωj分别为梁单元i, j两端的竖向位移;ξi和ξj分别为在初等梁理论条件下梁单元i, j两端产生的转角;ηi和ηj分别为由于波形钢腹板的剪切变形使梁单元i, j两端产生的转角。采用满足精度要求的形函数N(x)进行插值,则ω(x),ξ(x),η(x)可表示为:
|
(18yj) |
|
(19yj) |
|
(20yj) |
波形钢腹板PC箱梁的单元刚度方程可表示为:
|
(21yj) |
式中,Ke为单元刚度矩阵;δe和Fe分别为单元节点位移矢量和节点力矢量。
将形函数取为线性函数,即:
|
(22yj) |
由式(17)~式(20)和式(22)求得波形钢腹板PC箱梁的总势能П。
|
(23) |
根据高等数学知识,波形钢腹板PC箱梁的总势能П取驻值时需要满足:
|
(24) |
将(24)的结果整理成矩阵的形式如式(25)所示:
|
(25) |
式中,
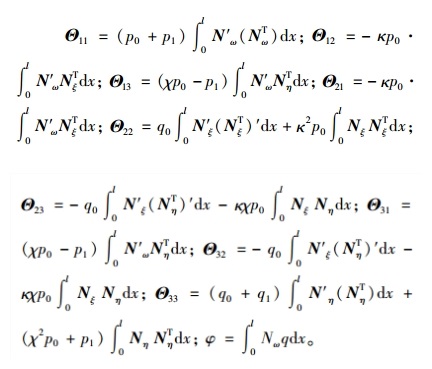
结合式(21)和式(25)可得波形钢腹板PC箱梁的单元刚度矩阵Ke为:
|
(26) |
Kc可表示为弯曲刚度Kce和剪切刚度Kse两部分:
|
(27) |
|
(28) |
式中,A11=A12=A13=A14=A15=A16=A21=A24=A31=A34=A35=A41=A42=A43=A44=A45=A46=A51=A53=A54=A61=A64=0;A22=A26=A62=A55=-A23=-A32=-A25=-A52=-A56=-A65=q0; A33=A66=-A36=-A63=(q0+q1)。
|
(29) |
式中,
根据文献[19],波形钢腹板PC箱梁的单元质量矩阵M可以按式(30)计算:
|
(30) |
式中,ρ为材料密度;A为波形钢腹板PC箱梁的横截面积;l为梁单元的长度。
根据波形钢腹板PC箱梁的单元刚度矩阵Ke和单元质量矩阵M,采用MATLAB有限元软件编写了波形钢腹板PC箱梁桥的自振频率计算的求解程序,限于篇幅具体程序不再赘述。
3 算例分析算例选取2005年在河南省建造的某座等截面波形钢腹板PC连续箱梁桥。该桥全长120 m,采用4×30 m等跨布置,施工方法为先简支后连续,由4片主梁构成,单片主梁的截面尺寸如图 5所示。
|
| 图 5 单片梁的截面尺寸(单位:mm) Fig. 5 Cross-sectional dimensions of single beam(unit:mm) |
| |
大桥的混凝土顶板、底板及横隔板的混凝土材料均为C50,混凝土的弹性模量为Ec=3.5×1010 Pa,泊松比为vc=0.166 7,混凝土的密度为ρc=2.5×103 kg/m3。波形钢腹板的钢材为Q355C级低合金结构钢,厚度为8 mm,钢材的弹性模量为Es=2.1×105 MPa,泊松比为vs=0.30,钢材的密度ρs=7.8×103 kg/m3。波形钢腹板的波高取值为150 mm, 波形钢腹板斜板段在水平方向的投影长度为200 mm,平板段长度为250 mm,斜板段长度为250 mm。
采用ANSYS 18.0有限元软件建立了大桥的三维有限元模型。横隔板和混凝土顶板、底板采用SOLID 45实体单元进行模拟,波形钢腹板采用SHELL 63壳单元进行模拟,建立的大桥三维有限元模型如图 6所示。
|
| 图 6 大桥的ANSYS模型 Fig. 6 ANSYS model of bridge |
| |
采用本研究方法计算了大桥前5阶弯曲振动频率,将其结果与大桥弯曲振动频率实测值[20]及ANSYS空间有限元值进行了比较,如表 1所示。
| 频率 阶数 |
①本研究程序 计算值/Hz |
②ANSYS有限 元计算值/Hz |
③实测值/ Hz |
②差比/ % |
③差比/ % |
| 1 | 3.594 | 3.331 | 3.81 | 7.32 | 6.01 |
| 2 | 4.117 | 3.852 | 4.30 | 6.44 | 4.45 |
| 3 | 5.335 | 5.110 | 5.27 | 4.21 | 1.21 |
| 4 | 6.653 | 6.347 | — | 4.59 | — |
| 5 | 13.189 | 12.385 | — | 6.10 | — |
| 注:②差比=|(②-①)/①|;③差比=|(③-①)/①|。 | |||||
从表 1中可以看出,根据本研究所推导的波形钢腹板PC箱梁桥的单元刚度矩阵,采用MATLAB软件编制的求解程序计算所得的自振频率值与实测值和ANSYS三维有限元值吻合较好,验证了本研究在考虑波形钢腹板剪切效应下所推导的波形钢腹板PC箱梁的单元刚度矩阵的正确性,同时也验证了采用MATLAB软件所编制自振频率求解程序的适用性。
4 参数分析 4.1 波折形状对弯曲振动频率的影响假定大桥的梁截面的细部尺寸和计算跨径保持不变,用本研究编写的MATLAB程序分别计算了大桥在不同波形钢腹板形状下的弯曲振动频率。目前国内外采用的波折形状主要有4种:1000型、1200型、1600型和2400型,如图 7所示。4种标准形状波形钢腹板剪切模量的修正系数如表 2所示,大桥的前5阶弯曲振动频率如表 3所示。
|
| 图 7 标准形状的波形钢腹板(单位:mm) Fig. 7 Standard shaped CSWs(unit:mm) |
| |
| 波形钢腹板 的标准形状 |
波折形状/mm | 修正系数 | ||
| D1 | D2 | D3 | ||
| 1000型 | 340 | 160 | 226 | 0.883 4 |
| 1200型 | 330 | 270 | 336 | 0.900 9 |
| 1600型 | 430 | 370 | 430 | 0.930 2 |
| 2400型 | 645 | 555 | 645 | 0.930 2 |
| 频率 阶数 |
不同波折形状下的频率值/Hz | |||
| 1000型 | 1200型 | 1600型 | 2400型 | |
| 1 | 3.592 | 3.595 | 3.597 | 3.597 |
| 2 | 4.113 | 4.119 | 4.123 | 4.123 |
| 3 | 5.327 | 5.339 | 5.348 | 5.348 |
| 4 | 6.640 | 6.659 | 6.676 | 6.676 |
| 5 | 13.163 | 13.204 | 13.235 | 13.235 |
从表 3可以看出,采用不同的波形钢腹板型号所计算的大桥前5阶弯曲振动频率的差值在0.55%以内,说明波形钢腹板的形状对其弯曲振动频率的影响较小,可以将其忽略不计。
4.2 波形钢腹板剪切模量的修正对弯曲振动频率的影响采用本研究方法分别计算了考虑和不考虑修正波形钢腹板剪切模量两种情况下大桥的弯曲振动频率值,如表 4所示。可以看出,不考虑修正剪切模量计算所得的大桥前5阶自振频率值比考虑修正剪切模量的情况要略微偏大,前5阶弯曲振动频率的差值不超过1.07%。因此,在计算其弯曲振动频率时将其忽略不计。
| 频率 阶数 |
①考虑剪切模量的 修正/Hz |
②未考虑剪切模量的 修正/Hz |
差比/% |
| 1 | 3.594 | 3.606 | 0.33 |
| 2 | 4.117 | 4.137 | 0.48 |
| 3 | 5.335 | 5.376 | 0.76 |
| 4 | 6.653 | 6.725 | 1.06 |
| 5 | 13.189 | 13.332 | 1.07 |
| 注:差比=(②-①)/②。 | |||
4.3 波形钢腹板剪切变形对弯曲振动频率的影响
采用本研究编写的MATLAB程序分别对是否考虑波形钢腹板的剪切变形效应对大桥的弯曲振动频率进行求解,结果如表 5所示。经对比分析可知,不考虑剪切变形计算所得大桥的前5阶弯曲振动频率值比考虑其剪切变形效应的计算值要大,两者的差值随着弯曲振动频率阶数的升高而增大,第5阶弯曲振动频率值两者差值已达到15.52%。因此,波形钢腹板剪切变形效应对波形钢腹板PC连续箱梁桥的弯曲振动频率的影响不可忽略。
| 频率阶数 | ①考虑剪切变形/Hz | ②不考虑剪切变形/Hz | 差比/% |
| 1 | 3.594 | 3.732 | 3.69 |
| 2 | 4.117 | 4.328 | 4.87 |
| 3 | 5.335 | 5.702 | 6.43 |
| 4 | 6.653 | 7.257 | 8.32 |
| 5 | 13.189 | 15.613 | 15.52 |
| 注:差比=(②-①)/②。 | |||
4.4 基频与现行规范进行对比
我国2015年发布的《公路桥涵设计通用规范》(JTG D60—2015)第4.3.2条给出的连续梁桥竖向基频的估算公式为[21]:
|
(31) |
|
(32) |
式中,l为桥梁的计算跨径;E为桥梁材料的弹性模量;Ic为桥梁跨中位置的截面惯性矩;mc为桥梁跨中位置单位长度的质量。
根据规范规定,计算连续梁桥的冲击力所引起的正弯矩效应和剪力效应时,采用基频f11;计算连续梁桥的冲击力引起的负弯矩效应时,采用基频f12。采用《公路桥涵设计通用规范》中的式(31)和式(32)对大桥的竖向基频进行了计算,并将其结构与本研究方法所得基频进行比较,结果如表 6所示。
| 频率 阶数 |
①本研究 计算值/Hz |
②f11计算 值/Hz |
③f12计算 值/Hz |
②差比/ % |
③差比/ % |
| 1 | 3.594 | 4.950 | 8.599 | 37.73 | 139.26 |
| 注:②差比=(②-①)/①;③差比=(③-①)/①。 | |||||
从表 6中可以看出,采用本研究程序计算的竖向基频与《公路桥涵设计通用规范》所给公式计算值相差很大,两者的差值达到了37.73%和139.26%。因此,《公路桥涵设计通用规范》中给出的连续梁的竖向基频的估算公式不再适用于波形钢腹板PC连续箱梁桥的竖向基频的计算。
5 结论(1) 考虑波形钢腹板剪切效应推导了波形钢腹板PC箱梁桥的单元刚度矩阵,利用MATLAB软件根据其单元刚度矩阵编制了等截面波形钢腹板PC连续箱梁桥的自振频率求解程序。本研究方法可靠性得到了已建实桥弯曲振动频率实测值和ANSYS空间有限元值的验证。
(2) 波形钢腹板的剪切模量是否修正以及波形钢腹板的型号对波形钢腹板PC连续箱梁桥弯曲振动频率的影响较小,且前5阶弯曲振动频率的差值在1.07%~0.55%以内。因此,在求解等截面波形钢腹板PC连续箱梁桥自振频率时可以不考虑波形钢腹板剪切模量的修正系数以及波形钢腹板型号。
(3) 波形钢腹板PC连续箱梁桥自振频率的计算计入波形钢腹板剪切变形的影响,采用本研究的方法对自振频率的计算结果与文献[20]实测值和ANSYS三维有限元值吻合较好。
(4) 考虑波形钢腹板剪切变形,本研究采用MATLAB软件编制的波形钢腹板PC连续箱梁桥自振频率计算的求解程序具有较高的精度,可指导设计和施工。
(5) 研究成果可将考虑剪切变形效应下波形钢腹板PC连续梁桥的动力分析问题,方便地纳入普通杆系结构矩阵位移体系中,避免了ANSYS有限元模型建立和求解的复杂性。
| [1] |
陈宜言. 波形钢腹板预应力混凝土桥设计与施工[M]. 北京: 人民交通出版社, 2009: 1-12. CHEN Yi-yan. Design and Construction of PC Bridge with Corrugated Steel Webs[M]. Beijing: China Communications Press, 2009: 1-12. |
| [2] |
NGUYEN N D, HAN S R, KIM J H, et al. Moment Modification Factors of I-girder with Trapezoidal Web Corrugations under Moment Gradient[J]. Thin-Walled Structures, 2012, 57: 1-12. |
| [3] |
YI J, GILB H, YOUM K, et al. Interactive Shear Buckling Behavior of Trapezoidally Corrugated Steel Webs[J]. Engineering Structures, 2009, 30(6): 1659-1666. |
| [4] |
ELDIB M. Shear Buckling Strength and Design of Curved Corrugated Steel Webs for Bridges[J]. Journal of Constructional Steel Research, 2009, 65(12): 2129-2139. |
| [5] |
HASSANEIN M F, KHABROOB O F. Sheer Bucking Behavior of Tapered Bridge Girders with Steel Corrugated Webs[J]. Engineering Structures, 2014, 74: 157-169. |
| [6] |
MOON J, YI J, CHOI B H, et al. Shear Strength and Design of Trapezoidally Corrugated Steel Webs[J]. Journal of Constructional Steel Research, 2009, 65(5): 1198-1205. |
| [7] |
MOON J, YI J W, CHOI B H, et al. Lateral-torsional Buckling of I-girder with Corrugated Webs under Uniform Bending[J]. Thin-Walled Structures, 2009, 47(1): 21-30. |
| [8] |
聂建国, 李法雄. 考虑腹板剪切行为的波形钢腹板梁理论模型[J]. 中国公路学报, 2011, 24(6): 40-48. NIE Jian-guo, LI Fa-xiong. Theory Model of Corrugated Steel Web Girder Considering Web Shear Behavior[J]. China Journal of Highway and Transport, 2011, 24(6): 40-48. |
| [9] |
聂建国, 李法雄, 樊健生. 波形钢腹板梁变形计算的有效刚度法[J]. 工程力学, 2012, 29(8): 71-79. NIE Jian-guo, LI Fa-xiong, FAN Jian-sheng. Effective Stiffness Method for Calculating Deflection of Corrugated Web Girder[J]. Engineering Mechanics, 2012, 29(8): 71-79. |
| [10] |
刘保东, 任红伟, 李鹏飞, 等. 考虑波纹钢腹板箱梁特点的挠度分析[J]. 中国铁道科学, 2011, 32(3): 21-26. LIU Bao-dong, REN Hong-wei, LI Peng-fei, et al. Deflection Analysis Considering the Characteristics of Box Girder with Corrugated Steel Webs[J]. China Railway Science, 2011, 32(3): 21-26. |
| [11] |
任红伟, 刘保东, 陈海波. 波形钢腹板混凝土箱梁的扭转振动分析[J]. 中国公路学报, 2008, 21(6): 64-68. REN Hong-wei, LIU Bao-dong, CHEN Hai-bo. Analysis of Torsional Vibration of Concrete Box-girder with Corrugated Steel Webs[J]. China Journal of Highway and Transport, 2008, 21(6): 64-68. |
| [12] |
张永健, 黄平明, 狄谨, 等. 波形钢腹板组合箱梁自振特性与试验研究[J]. 交通运输工程学报, 2008, 8(5): 76-80. ZHANG Yong-jian, HUANG Ping-ming, DI Jin, et al. Free Vibration Characteristics and Experiment Study of Composite Box Girder with Corrugated Steel Webs[J]. Journal of Traffic and Transportation Engineering, 2008, 8(5): 76-80. |
| [13] |
李波, 刘保东, 李鹏飞, 等. 波纹钢腹板组合箱梁应力相关阻尼特性研究[J]. 振动与冲击, 2012, 31(6): 68-71. LI Bo, LIU Bao-dong, LI Peng-fei, et al. Stress-related Damping Characteristic of a Composite Box-girder with Corrugated Steel Webs[J]. Journal of Vibration and Shock, 2012, 31(6): 68-71. |
| [14] |
冀伟, 邓露, 刘世忠, 等. 多跨等截面波形钢腹板PC连续箱梁桥竖向弯曲振动频率的计算[J]. 振动与冲击, 2016, 35(18): 140-146. JI Wei, DENG Lu, LIU Shi-zhong, et al. Calculation of the Vertical Bending Vibration Frequencies of Multi-span PC Continuous Box Girder with Corrugated Steel Webs of Uniform Cross-section[J]. Journal of Vibration and Shock, 2016, 35(18): 140-146. |
| [15] |
冀伟, 刘世忠, 蔺鹏臻, 等. 波形钢腹板连续箱梁桥振动频率的参数分析[J]. 振动、测试与诊断, 2016, 36(4): 771-776. JI Wei, LIU Shi-zhong, LIN Peng-zhen, et al. Calculation and Study on Bending Vibration Frequencies of the PC Continuous Box Girder with Corrugated Steel Webs[J]. Journal of Vibration, Measurement & Diagnosis, 2016, 36(4): 771-776. |
| [16] |
冀伟, 刘世忠, 蔺鹏臻. 波形钢腹板PC连续箱梁桥自振频率分析与试验研究[J]. 中南大学学报:自然科学版, 2016, 47(4): 1297-1304. JI Wei, LIU Shi-zhong, LIN Peng-zhen. Analysis and Experimental Study on Nature Vibration Frequencies of PC Continuous Box Girder Bridge with Corrugated Steel Webs[J]. Journal of Central South University: Science and Technology Editoin, 2016, 47(4): 1297-1304. |
| [17] |
冀伟, 刘世忠, 蔺鹏臻. 波形钢腹板组合箱梁振动频率分析与试验[J]. 中国公路学报, 2013, 26(5): 102-107. JI Wei, LIU Shi-zhong, LIN Peng-zhen. Experiment and Analysis for Vibration Frequency of Composite Box Girder with Corrugated Steel Webs[J]. China Journal of Highway and Transport, 2013, 26(5): 102-107. |
| [18] |
SAMANTA A, MUKHOPADHYAY M. Finite Elementstatic and Dynamic Analyses of Folded Plates[J]. Engineering Structures, 1999, 21(3): 277-287. |
| [19] |
曾攀. 有限元分析及应用[M]. 北京: 清华大学出版社, 2004: 302-304. ZENG Pan. Finite Element Analysis and Application[M]. Beijing: Tsinghua University Press, 2004: 302-304. |
| [20] |
李明元. 泼河大桥的施工与动力特性试验研究[J]. 交通标准化, 2006(4): 135-138. LI Ming-yuan. Study on Construction and Dynamic Characteristic of Bohe Bridge[J]. Communications Standardization, 2006(4): 135-138. |
| [21] |
JTG D60—2015, 公路桥涵设计通用规范[S]. JTG D60—2015, General Specification for Design of Highway Bridges and Culverts[S]. |
2020, Vol. 37

,