扩展功能
文章信息
- 于远祥, 王京滨, 柯达, 王赋宇, 陈宝平
- YU Yuan-xiang, WANG Jing-bin, KE Da, WANG Fu-yu, CHEN Bao-ping
- 深埋隧道拉裂-滑移式片帮力学机理研究
- Study on Mechanical Mechanism of Cracking-sliding Rib Spalling in Deep Tunnel
- 公路交通科技, 2019, 36(12): 94-103, 126
- Journal of Highway and Transportation Research and Denelopment, 2019, 36(12): 94-103, 126
- 10.3969/j.issn.1002-0268.2019.12.012
-
文章历史
- 收稿日期: 2018-12-10
近年来,国家大力扶持发展高速铁路,大量深埋山岭隧道将穿越富水高地应力区,随之而来的突泥涌水、围岩变形甚至塌方等问题也逐渐出现在隧道施工过程中[1-5],如果支护不及时或支护方法不当,都易导致隧道围岩过度变形和支护结构失稳,严重影响隧道的快速安全施工。众多专家学者对软岩隧道围岩变形机制进行了深入系统的研究。赵瑜等[6]根据某深埋隧道围岩实际情况,运用FLAC3D三维显式有限差分法分析软件,建立了摩尔-库仑剪破坏与拉破坏复合的应变软化模型;柳厚祥等[7]依据围岩稳定性理论,提出软弱围岩隧道围岩变形影响因素由大到小依次为弹性模量、黏聚力、内摩擦角、泊松比;汪波等[8]分析了强震区软岩隧道的大变形特征及其成因机制;左清军等[9]提出在隧道开挖后, 在隧道的周边出现应力集中, 洞壁最易发生破坏, 且隧道围岩变形量与隧道洞径、围岩侧压系数、隧道埋深和围岩力学参数密切相关;张帅军等[10]以乌鞘岭深层地段围岩为背景,探讨高地应力条件下软岩隧道的变形力学特征及控制技术;李鹏飞等[11]指出隧道软弱围岩变形具有初期变形速度较快、变形持续时间长、变形破坏形式多样等特点;张朝强等[12]基于地应力实测结果,分析了软岩隧道开挖期的地应力场分布与围岩变形破坏特征;邓博团等[13]建立了软岩隧道围岩的应变软化本构模型。
综上所述,人们在软岩隧道围岩变形方面取得了较多的研究成果,对隧道塌方[14-16]和底臌的研究也较为深入[17-20],而针对隧洞片帮灾害研究并不多见,如侯哲生等[21]通过锦屏二级水电站深埋隧洞的现场调查,分析了隧洞开挖后完整大理岩的破坏方式及其发生机制;朱维申等[22]研究了大型洞室边墙的松弛劈裂现象;刘国锋等[23]分析了白鹤滩大型地下厂房开挖围岩片帮的破坏特征、规律及其力学机制。此外,R.S.Read等[24]确立了Mine-by花岗岩试验洞和ASPO闪长岩圆形试验洞的片帮分布位置与地应力方向的对应关系;C.D.Martin等[25]确定了地下硬岩试验洞发生片帮的临界应力值和估计破坏深度的经验公式。这些成果比较深入地分析了地下洞室片帮的基本力学机制,对于片帮灾害的防治具有一定的指导意义。但由于工程地质条件高度的复杂性、差异性及特殊性,现场片帮处治技术措施仍主要依赖于施工经验,深埋软岩隧洞不同的片帮模式及其力学机制仍需进一步深入研究。
基于此,本研究在前人研究的基础上,以某隧道为工程背景,以侧墙拉裂-滑移式片帮为研究对象,根据摩尔-库伦准则和围岩极限平衡方程,分析隧道侧墙发生拉裂-滑移片帮的前缘高度、水平坍塌宽度及后缘张拉裂隙高度,为深埋隧道侧墙岩体片帮的有效控制提供可靠的理论依据。
1 工程概况隧道全长13 795 m,隧址区构造为剥蚀低中山地貌,地形波状起伏,相对高差200~600 m,全隧最大埋深约510 m。隧道侧墙地层多为中硬砂岩并伴有大量的泥岩,整体岩质软,稳定性较差。在该隧道Ⅴ级围岩地段,设计内轮廓半径分别为6.43,6.03 m及3.05 m的三心拱,开挖高度12.08 m,直墙高度4.88 m,拱高7.2 m,最大跨度14.29 m,初期支护拱部采用Φ22组合中空锚杆,边墙采用Φ22砂浆锚杆,间排距1.0 m×1.0 m,4.0 m/根。开挖过程中围岩预留变形量为15 cm,如图 1所示。
|
| 图 1 隧道围岩原支护设计图(单位:cm) Fig. 1 Initial support design of surrounding rock of tunnel(unit:cm) |
| |
在隧道D1K82+800~D1K83+110 m区间内,围岩以Ⅴ级为主,挤压破碎带和断层破碎带较多,黑云母闪长岩侵入现象普遍。隧道开挖后,由于缺乏针对性的支护方法,围岩出现大变形,发生较多的侧墙拉裂-滑移式片帮,如图 2所示。
|
| 图 2 隧道围岩片帮现状 Fig. 2 Situation of rib spalling of surrounding rock |
| |
2 隧道拉裂-滑移式片帮分析模型 2.1 隧道侧墙片帮的基本形式
隧道开挖前,侧墙岩体处于三向应力原始稳定状态。隧道开挖后,侧墙岩体所受横向水平应力被解除后变为二向应力状态,其抗压强度显著降低,同时,隧道围岩应力发生重新分布,其周边出现应力集中,侧墙岩体受力增加,当其原生裂隙在顶、底板夹持作用下的损伤积累到一定量值时即发生片帮。不同专业领域对于围岩片帮的定义及其破坏模式不尽相同,文献[23-25]认为片帮是高地应力硬脆性岩体的渐进性片状或板状剥落,分为拉张型板裂化片帮和剪切型楔形体片帮,如图 3(a)和3(b)所示,而矿山领域则认为片帮是指矿井煤壁或巷道侧壁在矿山压力作用下发生变形破坏后而脱落的现象,包括拉裂破坏和剪切破坏[26-29],如图 3(c)和3(d)所示。工程实际中,除单一片帮外,还存在拉张和剪切并存的组合式片帮,如图 3(e)所示。
|
| 图 3 地下洞室围岩不同片帮模式 Fig. 3 Rib spalling forms of surrounding rock of underground cavern |
| |
2.2 隧道拉裂-滑移式片帮力学模型
设隧道侧墙为完整性较好的中硬岩,在上覆岩层压力及自重作用下发生拉裂-滑移式片帮,片帮体高度为h0,BC为潜在滑移面,α为滑裂面倾角,b为片帮宽度,z为片帮体顶面垂直张拉裂隙高度,ABCD为处于极限平衡状态的片帮岩体。由于片帮深度远小于洞壁重分布应力影响区的宽度,将片帮范围内岩体所受垂直荷载简化为均布荷载,其力学模型如图 4所示。
|
| 图 4 隧道侧墙拉裂-滑移片帮稳定性分析 Fig. 4 Stability analysis of cracking-sliding rib spalling of tunnel side wall |
| |
2.3 基本假设
(1) 隧道施工过程中的稳定问题包括横断面和纵断面两个方面,前者可视为平面应变问题。
(2) 片帮体滑移面与隧道墙面相交成一定角度,拉张裂隙与墙面平行。
(3) 侧墙片帮体拉裂面上满足摩尔-库伦准则,剪切滑移面上满足静力极限平衡条件,即:
|
(1) |
|
(2) |
式中,c、φ分别为岩体破裂面上的黏聚力和内摩擦角;FS、FR分别为滑移面上的滑移力和抗滑力。
3 深埋隧道拉裂-滑移片帮机理分析 3.1 均布压力下隧道侧墙片帮力学分析沿隧道纵向取一延米侧墙进行讨论,由图 4几何关系可得片帮体的坍塌宽度为:
|
(3) |
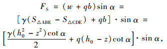
设隧道侧墙岩体平均容重为γ,片帮体ABCD在滑移面上所受滑移力FS为:
|
(4) |
式中,S△ABE,S△CDE分别为侧墙△ABE和△CDE的面积;q为深埋隧道顶板作用在侧墙片帮体上方的均布压力,其大小为:
|
(5) |
式中,γ0为顶板岩体重度;h2为隧道拱设计高度;h1为从隧道拱顶起顶板岩体冒落拱高度,其大小为:
|
(6) |
式中,h4为隧道设计总高度;a为隧道半宽;f为顶板岩体的坚固性系数。
由式(1)得到滑移面上的抗滑力大小为:
|
(7) |
当片帮岩体ABCD处于极限平衡状态时,其所受滑移力等于抗滑力,由式(4)和(7)可得:
|
(8) |
式中,片帮体自重w由式(9)确定:
|
(9) |
由式(8)和(9)可得隧道片帮岩体的垂直裂隙高度为:
|
(10) |
将式(10)代入式(3)得片帮体坍塌宽度为:
|
(11) |
由于隧道侧墙非均质、各向异性岩体的变形局部化而出现剪切带方向分叉[30],如图 5所示,片帮时的剪切滑移面接近于圆弧,其倾角为:
|
(12) |
|
| 图 5 隧道侧墙圆弧形拉裂-滑移力学模型 Fig. 5 Circular-arc cracking-sliding mechanical model of tunnel side wall |
| |
式中,ψ为侧墙岩体剪胀角。
3.2 隧道侧墙拉裂-滑移片帮参数分析(1) 片帮体前缘高度理论计算
设h3为隧道侧墙设计高度,建立如图 6所示的片帮体前缘高度计算模型,由文献[31-32]可知:
|
(13) |
|
| 图 6 隧道侧墙片帮体前缘高度计算模型 Fig. 6 Calculation model of frontal height of rib spalling in tunnel |
| |
则有:
|
(14) |
由式(10)可得:
|
(15) |
由式(14)和(15)可得:
|
(16) |
由式(16)解得:
|
(17) |
则有:
|
(18) |
由式(13)和(18)可得:
|
(19) |
因此,隧道侧墙拉裂-滑移片帮体前缘高度为:
|
(20) |
将式(20)代入式(15)可得隧道侧墙拉裂-滑移片帮体后缘拉裂隙高度为:
|
(21) |
(2) 片帮体前缘高度的下限解
取隧道侧墙片帮体下部单元体B为研究对象,设所受最大主应力为σ1,最小主应力为σ3,由土力学理论得其极限平衡条件为:
|
(22) |
隧道开挖卸载后,单元体B所受最小和最大主应力分别为:
|
(23) |
由式(22)和(23)可得片帮体前缘高度的下限解为:
|
(24) |
(3) 片帮体临界高度的上限解
设侧墙片帮岩体的运动速度为v,则其自重做的功为:
|
(25) |
沿滑移面的内能耗散率为:
|
(26) |
由于岩体自重做的功等于沿破裂面的内能耗散率,由式(1)、(25)及(26)可得片帮体前缘高度的上限解为:
|
(27) |
将式(24)和(27)代入式(10)即可得到隧道侧墙片帮体垂直张拉裂隙高度的上下限分别为:
|
(28) |
|
(29) |
由式(28)可以看出,侧墙片帮体后缘张拉裂隙高度随岩体黏聚力增加而增加,随岩体重度及上覆岩层压力的增加而减小。当各因素满足一定条件时,可以使得张拉裂隙高度zmin=0。此时,侧墙岩体由拉裂-滑移发展为单斜面剪切片帮。由此可见,侧墙单斜面剪切破坏是拉裂-滑移片帮的极限情况。
3.4 隧道侧墙片帮体水平坍塌宽度分析由图 4(a)中△BCF可得片帮体坍塌宽度为:
|
(30) |
将式(20)和(21)代入式(30)可得片帮体坍塌宽度为:
|
(31) |
将式(28)和(29)代入式(30)即可得到隧道侧墙片帮体水平坍塌宽度的上下限分别为:
|
(32) |
|
(33) |
某隧道埋深H=850 m,隧道半宽a=3.42 m,拱高度h2=4.47 m,侧墙高度h3=5.73 m,设计开挖总高度h4=10.2 m,顶板岩体坚固性系数f=3.5。侧墙破裂面上的黏聚力c=95 kPa,内摩擦角φ=18°,剪胀角ψ=5°,隧道顶板及侧墙岩体平均重度γ=25 kN/m3。由式(6)得隧道顶板冒落拱高度为:
|
(34) |
由式(5)可得隧道侧墙上方的均布荷载为:
|
(35) |
由式(12)可得考虑剪切带方向分叉后的滑移面实际倾角为:
|
(36) |
将上述数据及式(20)代入式(10)和(11)后即可对各因素对侧墙片帮体的影响进行分析。
4.1 黏聚力对片帮体的影响分析以滑移面上黏聚力为变量,将片帮体其他参数代入式(21)和(31)可得:
|
(37) |
|
(38) |
式中80≤c≤115。
由式(37)及(38)可以得到垂直裂隙高度和水平坍塌宽度与侧墙岩体黏聚力关系如图 7所示。
|
| 图 7 隧道侧墙片帮规模与黏聚力的关系 Fig. 7 Relation between scale of rib spalling in tunnel and cohesion |
| |
4.2 内摩擦角对片帮体的影响分析
以滑移面上内摩擦角为变量,将片帮体其他参数代入式(21)和(31)可得:
|
(39) |
|
(40) |
由式(5)可得隧道侧墙上方的均布荷载为:
|
(41) |
由式(13)可得考虑剪切带方向分叉后的滑移面实际倾角为:
|
(42) |
式中15°≤φ≤30°。
由式(39)~(42)可以得到隧道片帮体垂直裂隙高度和水平坍塌宽度与侧墙岩体内摩擦角的关系如图 8所示。
|
| 图 8 隧道侧墙片帮规模与内摩擦角的关系 Fig. 8 Relation between scale of rib spalling in tunnel and internal friction angle |
| |
4.3 岩体重度对片帮体的影响分析
以片帮岩体重度为变量,将片帮体其他参数代入式(21)和(31)可得:
|
(43) |
|
(44) |
式中20≤γ≤27。
由式(43)及(44)可得垂直裂隙高度和水平坍塌宽度与侧墙岩体重度的关系如图 9所示。
|
| 图 9 隧道侧墙片帮规模与岩体重度的关系 Fig. 9 Relation between scale of rib spalling in tunnel and rock mass weight |
| |
4.4 隧道直墙高度对片帮体的影响分析
以隧道直墙高度为变量,将片帮体其他参数代入式(21)和(31)可得:
|
(45) |
|
(46) |
式中3≤h3≤6。
由式(45)及(46)可以得到隧道片帮体垂直裂隙高度和水平坍塌宽度与侧墙高度的关系如图 10所示。
|
| 图 10 隧道侧墙片帮规模与侧墙高度的关系 Fig. 10 Relation between scale of rib spalling in tunnel and side wall height |
| |
由图 7~图 10可以看出,隧道侧墙发生拉裂-滑移式片帮时的水平坍塌宽度与侧墙岩体黏聚力和内摩擦角成负相关关系,与岩体重度和侧墙高度成正相关关系;而片帮体后缘裂隙高度却与侧墙岩体黏聚力和内摩擦角成正相关关系,与岩体重度和侧墙高度成负相关关系。当岩体重度和侧墙高度一定时,可通过增加岩体的黏聚力和内摩擦角来控制侧墙的拉裂-滑移。
5 隧道侧墙片帮参数计算隧道某试验段平均埋深H=490 m。经现场测试得隧道顶板岩体坚固性系数f=7.8,侧墙片帮体上覆岩层平均容重γ=21.6 kN/m3,侧墙片帮体破裂面上的黏聚力与摩擦角分别为:c=91 kPa,φ=15°,剪胀角ψ=9°。由式(6)得隧道顶板冒落拱高度为:
|
(47) |
由式(5)可得隧道侧墙上方的均布荷载为:
|
(48) |
由式(12)可得考虑剪切带方向分叉后的滑移面实际倾角为:
|
(49) |
由式(20)可得侧墙片帮体前缘高度为:
|
(50) |
由式(21)可得侧墙片帮体后缘高度为:
|
(51) |
由式(31)可得侧墙片帮体坍塌宽度为:
|
(52) |
经与现场实测结果对比,在隧道某试验区间内,隧道侧墙片帮参数与计算结果较为吻合,在确定某隧道片帮参数的基础上,可以合理确定侧墙围岩的支护方案及其参数。限于篇幅,将另文讨论。
6 结论(1) 大断面软岩隧道开挖初期,侧墙在上覆岩层压力及其自重作用下易发生拉裂-滑移式片帮。建立了隧道侧墙拉裂-滑移片帮的力学分析模型,确定了片帮岩体的前缘高度、水平坍塌宽度、后缘张拉裂隙深度及其上下限值的理论公式。侧墙单斜面剪切破坏是拉裂-滑移片帮的一种极限情况。当侧墙岩体的物理力学指标满足一定条件时,侧墙岩体由拉裂-滑移发展为单斜面剪切片帮。
(2) 隧道侧墙发生拉裂-滑移式片帮时的水平坍塌宽度随侧墙岩体黏聚力和内摩擦角的增加而减小,随岩体重度和侧墙高度的增加而增大;而片帮体后缘裂隙高度却随侧墙岩体黏聚力和内摩擦角的增加而增加,随岩体重度和侧墙高度的增加而减小。当岩体重度和侧墙高度一定时,可增加侧墙岩体的黏聚力和内摩擦角来控制片帮。
(3) 以某隧道为工程实例,运用上述成果从理论上分析了该隧道D1K82+800~D1K83+110 m区间侧墙片帮岩体的前缘高度、水平坍塌宽度及后缘裂隙高度等关键参数,为合理确定该软岩隧道围岩支护方案及参数提供了科学依据。
| [1] |
王云龙, 谭忠盛. 木寨岭板岩隧道塌方的结构失稳分析及预防措施研究[J]. 岩土力学, 2012, 33(增2): 263-268. WANG Yun-long, TAN Zhong-sheng. Structural Instability Analysis and Prevention Measures of Structural Collapse in Muzhailing Slate Tunnel[J]. Rock and Soil Mechanics, 2012, 33(S2): 263-268. |
| [2] |
张军伟, 谭阳, 陈拓, 等. 岩溶隧道侧部岩盘突水机制研究[J]. 公路交通科技, 2017, 34(5): 109-115. ZHANG Jun-wei, TAN Yang, CHEN Tuo, et al. Study on Mechanism of Batholite Water Inrush in Lateral Karst Tunnel[J]. Journal of Highway and Transportation Research and Development, 2017, 34(5): 109-115. |
| [3] |
王华牢, 张鹏, 李宁. 隐伏岩溶洞群对公路隧道顶板承载力影响的研究[J]. 公路交通科技, 2010, 27(2): 91-102. WANG Hua-lao, ZHANG Peng, LI Ning. Research on Influence of Concealed Karst Caverns on Bearing Capacity of Top Plate of Highway Tunnel[J]. Journal of Highway and Transportation Research and Development, 2010, 27(2): 91-102. |
| [4] |
左清军, 吴立, 卞宜松, 等. 富水板岩隧道围岩力学参数劣化时效性研究[J]. 地下空间与工程学报, 2014, 10(6): 1353-1360. ZUO Qing-jun, WU Li, BIAN Yi-song, et al. Research on Time Effect of Mechanical Parameters Deterioration for Surrounding Rock in Water-rich Slate Tunnel[J]. Chinese Journal of Underground Space and Engineering, 2014, 10(6): 1353-1360. |
| [5] |
丁文其, 孙伟杰, 崔振东. 考虑脆性围岩张拉破坏的终南山超大直径深竖井稳定性分析[J]. 公路交通科技, 2010, 27(3): 103-107. DING Wen-qi, SUN Wei-jie, CUI Zhen-dong. Analysis of Stability of Super-large Diameter Deep Shaft of Zhongnanshan Road Tunnel Considering Tensile Failure of Brittle Surrounding Rock[J]. Journal of Highway and Transportation Research and Development, 2010, 27(3): 103-107. |
| [6] |
赵瑜, 李晓红, 顾义雷, 等. 高应力区隧道围岩变形破坏的数值模拟及物理模拟研究[J]. 岩土力学, 2007, 28(增2): 393-397. ZHAO Yu, LI Xiao-hong, GU Yi-lei, et al. Numerical Simulation on Deformation and Failure of Surrounding Rock in High In-situ Stress and Its Verification in Physical Model[J]. Rock and Soil Mechanics, 2007, 28(S1): 393-397. |
| [7] |
柳厚祥, 赵庆龙. 高地应力隧道施工对围岩应力与变形的影响研究[J]. 山东交通学院学报, 2012, 20(1): 56-60. LIU Hou-xiang, ZHAO Qing-long. The Influence of the High Geostress Tunnel Construction on Surrounding Rock Stress and Deformation[J]. Journal of Shandong Jiaotong University, 2012, 20(1): 56-60. |
| [8] |
汪波, 李天斌, 何川, 等. 强震区软岩隧道大变形破坏特征及其成因机制分析[J]. 岩石力学与工程学报, 2012, 31(5): 928-936. WANG Bo, LI Tian-bin, HE Chuan, et al. Analysis of Failure Properties and Formatting Mechanism of Soft Rock Tunnel in Meizoseismal Area[J]. Chinese Journal of Rock Mechanics and Engineering, 2012, 31(5): 928-936. |
| [9] |
左清军, 吴立, 林存友, 等. 富水软岩隧道跨越断层段塌方机制分析及处置措施[J]. 岩石力学与工程学报, 2016, 35(2): 369-377. ZUO Qing-jun, WU Li, LIN Cun-you, et al. Collapse Mechanism and Treatment Measures for Tunnel in Water-rich Soft Rock Crossing Fault[J]. Chinese Journal of Rock Mechanics and Engineering, 2016, 35(2): 369-377. |
| [10] |
张帅军, 胡明研, 陈峰宾. 软岩隧道围岩变形力学特征及其控制技术研究[J]. 西部探矿工程, 2014(2): 154-158. ZHANG Shuai-jun, HU Ming-yan, CHEN Feng-bin. Study on Mechanical Characteristics of Surrounding Rock Deformation in Soft Rock Tunnel and Its Control Technique[J]. Journal of Western Exploration Engineering, 2014(2): 154-158. |
| [11] |
李鹏飞, 赵勇, 刘建友. 隧道软弱围岩变形特征与控制方法[J]. 中国铁道科学, 2014, 35(5): 55-60. LI Peng-fei, ZHAO Yong, LIU Jian-you. Deformation Characteristics and Control Method of Tunnel with Weak Surrounding Rock[J]. China Railway Science, 2014, 35(5): 55-60. |
| [12] |
张朝强, 田乐, 刘博. 深埋软岩隧道开挖地应力场与围岩破坏机制分析[J]. 公路, 2016(1): 228-233. ZHANG Chao-qiang, TIAN Le, LIU Bo. Analysis of Deformation and Failure Mechanism of the High Geotectonic Stress Soft Rock Tunnel During Construction[J]. Highway, 2016(1): 228-233. |
| [13] |
邓博团, 苏三庆, 任建喜, 等. 考虑应变软化的高速公路软岩隧道围岩变形分析[J]. 水利与建筑工程学报, 2016, 14(4): 17-20. DENG Bo-tuan, SU San-qing, REN Jian-xi, et al. The Strain Softening Simulation and Application in Expressway Tunnel under Soft Rock Geological Condation[J]. Journal of Water Resources and Architectural Engineering, 2016, 14(4): 17-20. |
| [14] |
王薇, 高棱韬, 张恒文, 等. 砌石衬砌背后双空洞对隧道结构安全性影响[J]. 公路交通科技, 2018, 35(5): 82-90. WANG Wei, GAO Leng-tao, ZHANG Heng-wen, et al. Influence of Double Cavities behind Masonry Lining on Tunnel Structure Safety[J]. Journal of Highway and Transportation Research and Development, 2018, 35(5): 82-90. |
| [15] |
张毅, 折学森, 李楠. 弱膨胀土地区隧道施工工法及塌方原因研究[J]. 公路交通科技, 2018, 35(10): 82-91. ZHANG Yi, ZHE Xue-sen, LI Nan. Study on Tunnel Construction Scheme in Weak-expansive Soil Area and Reason of Collapse[J]. Journal of Highway and Transportation Research and Development, 2018, 35(10): 82-91. |
| [16] |
张成平, 韩凯航, 张顶立, 等. 城市软弱围岩隧道塌方特征及演化规律实验研究[J]. 岩石力学及工程学报, 2014, 33(12): 2433-2442. ZHANG Cheng-ping, HAN Kai-hang, ZHANG Ding-li, et al. Test Study of Collapse Characteristics of Tunnels in Soft Ground in Urban Areas[J]. Chinese Journal of Rock Mechanics and Engineering, 2014, 33(12): 2433-2442. |
| [17] |
柏建彪, 李文峰, 王襄禹, 等. 采动巷道底鼓机理与控制技术[J]. 采矿与安全工程学报, 2011, 28(1): 1-5. BAI Jian-biao, LI Wen-feng, WANG Xiang-yu, et al. Mechanism of Floor Heave and Control Technology of Roadway Induced by Mining[J]. Journal of Minging and Safety Engineering, 2011, 28(1): 1-5. |
| [18] |
田洪铭, 陈卫忠, 郑朋强, 等. 考虑流变效应的高地应力软岩隧道断面形态优化研究[J]. 岩土力学, 2013, 34(增2): 262-271. TIAN Hong-ming, CHEN Wei-zhong, ZHENG Peng-qiang, et al. Study of Section Optimization for High Geostress Soft Rock Tunnel Considering Rheological Effect[J]. Rock and Soil Mechanics, 2013, 34(S2): 265-271. |
| [19] |
钟祖良, 刘新荣, 王道良, 等. 桃树垭隧道底鼓发生机理与防治技术研究[J]. 岩土工程学报, 2012, 34(3): 471-476. ZHONG Zu-liang, LIU Xin-rong, WANG Dao-liang, et al. Mechanism Analysis of Floor Heave in Taoshuya Tunnel and its Prevention Techniques[J]. Chinese Journal of Geotechnical Engineering, 2012, 34(3): 471-476. |
| [20] |
杨军, 石海洋. 亭南煤矿深部软岩巷道底鼓"四控"机理及应用[J]. 采矿与安全工程学报, 2015, 32(2): 247-252. YANG Jun, SHI Hai-yang. Mechanics and Application of Four Floor Heave Control Technology of Deep Soft Rock Roadway in Tingnan coal mine[J]. Journal of Mining and Safety Engineering, 2015, 32(2): 247-252. |
| [21] |
侯哲生, 龚秋明, 孙卓恒. 锦屏二级水电站深埋完整大理岩基本破坏方式及其发生机制[J]. 岩石力学与工程学报, 2011, 30(4): 727-732. HOU Zhe-sheng, GONG Qiu-ming, SUN Zhuo-heng. Primary Failure Types and Their Failure Mechanisms of Deep Buried and Intact Marble at Jinping Ⅱ Hydropower Station[J]. Chinese Journal of Rock Mechanics and Engineering, 2011, 30(4): 727-732. |
| [22] |
朱维申, 杨为民, 项吕, 等. 大型洞室边墙松弛劈裂区的室内和现场研究及反馈分析[J]. 岩石力学与工程学报, 2011, 30(7): 1310-1317. ZHU Wei-shen, YANG Wei-min, XIANG Lü, et al. Laboratory and Field Study of Splitting Failure on Side Wall of Large-scale Cavern and Feedback Analysis[J]. Chinese Journal of Rock Mechanics and Engineering, 2011, 30(7): 1310-1317. |
| [23] |
刘国锋, 冯夏庭, 江权, 等. 白鹤滩大型地下厂房开挖围岩片帮破坏特征、规律及机制研究[J]. 岩石力学与工程学报, 2016, 35(5): 865-878. LIU Guo-feng, FENG Xia-ting, JIANG Quan, et al. Failure Characteristics, Laws and Mechanisms of Rock Spalling in Excavation of Large-scale Underground Powerhouse Caverns in Baihetan[J]. Chinese Journal of Rock Mechanics and Engineering, 2016, 35(5): 865-878. |
| [24] |
READ R S. 20 Years of Excavation Response Studies at AECL's Underground Research Laboratory[J]. International Journal of Rock Mechanics and Mining Sciences, 2004, 41(8): 1251-1275. |
| [25] |
MARTIN C D, CHRISTIANSSON R. Estimating the Potential for Spalling Around a Deep Nuclear Waste Repository in Crystalline Rock[J]. International Journal of Rock Mechanics and Mining Sciences, 2009, 46(2): 219-228. |
| [26] |
张华磊, 王连国, 秦昊. 回采巷道片帮机制及控制技术研究[J]. 岩土力学, 2012, 33(5): 1462-1466. ZHANG Hua-lei, WANG Lian-guo, QIN Hao. Study of Spalling Mechanism and Control Techniques of Mining Roadway[J]. Rock and Soil Mechanics, 2012, 33(5): 1462-1466. |
| [27] |
王家臣. 极软厚煤层煤壁片帮与防治机理[J]. 煤炭学报, 2007, 32(8): 785-788. WANG Jia-chen. Mechanism of the Rib Spalling and the Controlling in the Very Soft Coal Seam[J]. Journal of China Coal Society, 2007, 32(8): 785-788. |
| [28] |
王兆会, 杨敬虎, 孟浩. 大采高工作面过断层构造煤壁片帮机理及控制[J]. 煤炭学报, 2015, 40(1): 42-49. WANG Zhao-hui, YANG Jing-hu, MENG Hao. Mechanism and Controlling Technology of Rib Spalling in Mining Face with Large Cutting Height Passing through Fault[J]. Journal of China Coal Society, 2015, 40(1): 42-49. |
| [29] |
殷帅峰, 何富连, 程根银. 大采高综放面煤壁片帮判定准则及安全评价系统研究[J]. 中国矿业大学学报, 2015, 44(5): 800-807. YIN Shuai-feng, HE Fu-lian, CHENG Gen-yin. Study of Criterions and Safety Evaluation of Rib Spalling in Fully Mechanized Top-coal Caving Face with Large Mining Height[J]. Journal of China University of Mining and Technology, 2015, 44(5): 800-807. |
| [30] |
尹光志, 鲜学福, 王宏图. 岩石在平面应变条件下剪切带的分叉分析[J]. 煤炭学报, 1999, 24(4): 364-367. YIN Guang-zhi, XIAN Xue-fu, WANG Hong-tu. The Bifurcation Analysis of Shear Band of Rock under the Plane Strain Condition[J]. Journal of China Coal Society, 1999, 24(4): 364-367. |
| [31] |
宁宇. 大采高综采煤壁片帮冒顶机理与控制技术[J]. 煤炭学报, 2009, 34(1): 50-52. NING Yu. Mechanism and Control Technique of the Rib Spalling in Fully Mechanized Mining Face with Great Mining Height[J]. Journal of China Coal Society, 2009, 34(1): 50-52. |
| [32] |
尹希文, 闫少宏, 安宇. 大采高综采面煤壁片帮特征分析与应用[J]. 采矿与安全工程学报, 2008, 25(2): 222-225. YIN Xi-wen, YAN Shao-hong, AN Yu. Characters of the Rib Spalling in Fully Mechanized Caving Face with Great Mining Heizht[J]. Journal of Mining and Safety Engineering, 2008, 25(2): 222-225. |
2019, Vol. 36
