扩展功能
文章信息
- 张丽娟, 骆亚军, 陈晓生, 杨瑞环
- ZHANG Li-juan, LUO Ya-jun, CHEN Xiao-sheng, YANG Rui-huan
- 旧水泥路面加铺沥青层结构温度场特性及数值模拟
- Temperature Field Characters and Numerical Simulation of Asphalt Overlay Structure upon Previous Cement Pavement Surface
- 公路交通科技, 2019, 36(5): 11-19
- Journal of Highway and Transportation Research and Denelopment, 2019, 36(5): 11-19
- 10.3969/j.issn.1002-0268.2019.05.002
-
文章历史
- 收稿日期: 2018-03-09
实测路面温度场能有效掌握路面结构内部温度场分布特征与变化规律。延西利等[1]、陈嘉祺等[2]和韩文扬等[3]通过预先埋设温度传感器实测沥青路面、AC+CRCP复合路面的温度场。董泽蛟等[4]采用光纤光栅测试技术对沥青路面温度进行长期实时监测,得到沥青路面温度场的分布特征与变化规律。杨旭东[5]对湿热地区旧水泥混凝土路面沥青加铺层路面温度场进行了测试。
国内外学者常利用解析法、经验法和数值法来预估路面温度场。采用解析法预估路面结构温度场理论性强,但温度场受周围环境影响大,其实用性受到限制[6-9];路面温度场的经验预估模型[10-11]及理论-经验预估模型[2]预估精度高,但有一定的地区局限性。近年来,利用有限元方法模拟路面结构温度场有了飞速的发展。罗滔等[12]和曹久林[13]根据气象参数建立了二维有限元模型模拟路面结构温度场。但三维有限元模型能更好地表征行车和温度荷载耦合作用下的路面结构力学状态,在路面力学分析和结构设计中优势明显。Minhoto等[14]输入太阳辐射、气温以及风速等模型参数,建立三维有限元模型进行瞬态热分析。罗桑等[15]、秦雨[16]和顾兴宇等[17]分别建立了沥青路面、AC+CRCP复合路面三维温度场计算模型。董泽蛟等[18]建立沥青路面结构三维有限元模型,利用层底控温方法模拟温度场。郭寅川等[19]建立三维有限元模型,分析甘肃半刚性基层沥青路面温度场以及温度应力的变化规律。
本研究在实测路面结构温度场数据及气象参数基础上,分析旧水泥路面加铺沥青层结构温度场分布规律。依据某地区实测气象资料,用修正后的双正弦函数、Fourier级数分别表示气温、太阳辐射作为模型边界条件,根据传热学原理建立旧水泥路面加铺沥青层结构的非线性瞬态3D温度场计算模型,采用ANSYS对路面温度场进行数值模拟并与实测温度场对比。
1 实测路面温度场分布规律 1.1 温度场测试技术方案温度场测试路段位于国道G321线广东佛山段,拟在由两层混凝土层构成的旧水泥混凝土路面上加铺沥青层。沥青加铺层采用4 cm厚AC-13C改性沥青混凝土上面层和5 cm厚AC-20C沥青混凝土下面层(图 1)。为保证温度场数据测量的可靠性,共选择8个代表性试验路段断面进行温度场测试,每个测试断面同一层位都埋设了间距为0.5 m的两个传感器,在路面改造施工过程中逐层埋设温度传感器。测试点布置在超车道的轮迹带处,传感器距离中央分隔带边缘2 m左右。测试点路面结构温度传感器布置如图 1所示。
|
| 图 1 路面结构及温度传感器布置 Fig. 1 Pavement structure and arrangement of temperature sensors |
| |
采用的温度传感器型号为铠装WZPK-196,量测精度为±0.5 ℃;采用无纸记录仪采集温度场数据。旧水泥混凝土板和沥青加铺层的温度传感器埋设和数据采集仪如图 2~图 4所示,温度传感器的成活率和量测精度较高。测量前将无纸记录仪、蓄电池、PC-4小型自动气象数据采集站等仪器准备好,现场安装调试仪器完毕后开始采集数据。连续1年实测了路面温度场,每个月选取晴天条件下连续24 h采集路面结构温度数据,同时采集气象数据(气温、太阳辐射和风速)。
|
| 图 2 旧水泥混凝土层的温度传感器埋设 Fig. 2 Temperature sensors buried in previous cement concrete layer |
| |
|
| 图 3 沥青加铺层的温度传感器埋设 Fig. 3 Temperature sensors buried in asphalt overlay |
| |
|
| 图 4 数据采集仪 Fig. 4 Data acquisition instrument |
| |
1.2 温度场日变化规律分析
据统计,佛山市的高温期持续时间较长,每年5~9月的月最高气温均高于35 ℃,而该地区的年最低气温为5 ℃左右,由高温引起的路面病害居多。因此,本文选择夏季某日的路表、AC-13C上面层(层中、层底)、AC-20C下面层(层中、层底)、C35混凝土基层底、C20混凝土底基层底等路面结构各深度处温度随时间的变化(以天为周期,以10 min为间隔)来分析旧水泥路面加铺沥青层路面结构温度场的日变化规律(图 5)。
|
| 图 5 路面结构层温度随时间的变化 Fig. 5 Temperatures of pavement structure layers varying with time |
| |
从图 5可以看出温度场的日变化规律为:
(1) 路面结构温度场一天的变化趋势是先降后升再降,全天路面结构降温时间约为16 h,升温时间约为8 h,升温速率明显大于降温速率。
(2) 各路面结构层的温度峰值、峰谷出现时刻随着深度增加逐渐滞后,沿路面深度的温度峰值、峰谷时间滞后速率约为10 min/cm。沥青加铺层温度在14:00—15:00左右达到峰值。
1.3 温度场沿深度的变化规律气温和太阳辐射等外界条件在一天中周期性变化,路面结构温度场随之发生变化。将一天分为有太阳辐射、日落至凌晨和凌晨至日出3个不同时期,图 6为路面结构温度在不同时期随深度的变化曲线。
|
| 图 6 路面结构温度随深度的变化 Fig. 6 Temperatures of pavement structure layers varying with depth |
| |
从图 6可以看出,温度场沿深度的变化规律为:
(1) 各结构层的温度变化、日较差(最高温度与最低温度之差)随着深度增加变小。路面结构层的温度变化主要发生在沥青加铺层内(0~9 cm)。
(2) 由于太阳辐射累积热量使得沥青面层温度逐渐升高。越靠近路表,沥青加铺层结构内部温度越高,测得路面结构层的最高温度为53.8 ℃(位于AC-13C面层中),因此在设计沥青加铺层时,应提高其抗高温车辙的性能。
(3) 无太阳辐射时气温降低,路面结构开始向外放热,使得沥青加铺层温度迅速降低,同一时刻沥青加铺层的温度沿深度而增大。
1.4 温度梯度变化规律各路面结构层的温度梯度随时间的变化,如图 7所示:
|
| 图 7 各结构层温度梯度随时间的变化 Fig. 7 Temperature gradients of pavement structure layers varying with time |
| |
(1) 在白天有太阳辐射的时段内,沥青加铺层的温度梯度为正值,各路面结构层的温度梯度沿深度减小。各结构层的最大正温度梯度出现时间随着深度的增加而滞后。
(2) 沥青加铺层的最大正温度梯度达112.14℃/m(出现在14:20时),温度梯度波动范围最大;C35混凝土层最大正温度梯度为46.73 ℃/m。这说明旧水泥混凝土结构由于沥青加铺层覆盖而承受的温度翘曲应力相对较小,可减少路面破坏。
1.5 变温速率变化规律图 8为路面结构温度的变温速率随时间的变化曲线,从图中可知:
|
| 图 8 路面结构层的变温速率 Fig. 8 Temperature variation rates of pavement structure layers varying with time |
| |
(1) 路面结构层的变温速率一天之中呈现先降后升、再降又升的交替变换现象,路面结构易产生温度疲劳裂缝。
(2) 中午12:00时左右各路面结构层的升温速率最大。越近路表,路面结构层的变温速率越大。沥青加铺层吸热有效降低了旧水泥混凝土层的温度及其变温速率,相应降低其温度应力。
2 温度场数值模拟方法本文基于实测的旧水泥路面加铺沥青层结构的气象参数及温度场(2015年8月7日),建立非线性瞬态3D温度场计算模型,进行温度场数值模拟并评价模拟效果。
2.1 有限元模型的建立考虑太阳辐射、空气对流换热等路表与外界热交换的形式,根据传热学原理建立三维有限元分析模型(图 9),利用ANSYS有限元软件进行旧水泥路面加铺沥青层结构温度场数值模拟。根据旧路及拟定加铺层结构形式确定模型尺寸:沥青加铺层分为4 cm AC-13C上面层和5 cm AC-20C下面层;基层设为两块接缝宽度为8 mm的C35水泥混凝土板,每块板的尺寸为5 m×3.75 m×0.26 m(长×宽×高,下同);C20水泥混凝土底基层的尺寸为10.008 m×3.75 m×0.2 m。地基扩大尺寸取12.008 m×4.75 m×9 m,以表征其弹性半空间体特性。
|
| 图 9 路面结构有限元分析模型 Fig. 9 Finite element model of pavement structure |
| |
本模型采用实体单元Solid70进行热分析,划分网格时对车轮荷载和水泥板接缝处的沥青层进行对称加密处理,使得温度荷载可对称传递,如图 10所示。
|
| 图 10 接缝处网格加密处理 Fig. 10 Densified mesh at joint |
| |
模型中路表温度的变化采用第3类边界条件(对流换热边界);土基底部温度采用第1类边界条件(温度边界),其值基本保持不变;左右边界为绝热边界。层与层之间不考虑热阻问题,即假定各层之间温度和热流完全连续。
温度场数值模拟时,首先在计算模型的路表面和土基底部分别施加其当日00:00时刻的温度,确定初始温度场,进行温度场的稳态热传导分析;然后进行温度场的瞬态热传导分析,在每个荷载步的路表施加相对应的近路表热对流温度并输入对流换热系数,在施加当日的土基底部温度后,可计算出路面各结构层的温度场。
2.2 模型材料参数假设路面结构层材料为各向同性、均质连续的弹性体。通过查阅相关文献中的材料热物性参数,考虑南方湿度较大,导热系数应取大值[7, 13],模型所选取的热物性参数如表 1所示。
| 路面结构层 | 密度ρ/ (kg·m-3) | 导热系数k/ [W·(m·℃)-1] | 比热容C/ [J·(kg·℃)-1] |
| AC-13C沥青层 | 2 260 | 1.36 | 1 150 |
| AC-20C沥青层 | 2 270 | 1.39 | 962 |
| C35水泥混凝土基层 | 2 500 | 1.41 | 920 |
| C20水泥混凝土底基层 | 2 400 | 1.40 | 900 |
| 路基 | 1 700 | 1.47 | 970 |
2.3 边界条件参数确定
模型中采用对流换热边界表征路表温度的变化,需要输入对流换热系数和近路表热对流温度。
2.3.1 路表面的对流换热系数路表面的对流换热系数主要取决于风速的大小、路表温度与气温之差。当风速v≤5 m/s时,对流换热系数hf可这样近似计算[13]:
|
(1) |
式中,ΔT为大气温度Ta与路表温度Tr的绝对温差;v为各时刻的实测平均风速。图 11为2015年8月7日各时刻的实测平均风速值。
|
| 图 11 各时刻的实测平均风速 Fig. 11 Measured mean wind speed at each moment |
| |
2.3.2 近路表热对流温度
(1) 计算近路表气温
Barber[20]采用正弦函数来描述气温的日变化过程,严作人[6]采用双正弦函数模拟气温升温过程和降温过程不对称的情况,国内许多学者[13, 16-17]都直接采用严作人提出的双正弦函数表征气温作为模型边界条件。为了更好地模拟气温的日变化过程,本文对严作人提出的模拟气温的双正弦函数进行修正,即采用式(2)的修正双正弦函数对实测气温进行模拟,并根据实测的气温数据确定式(2)中的参数A和B。
|
(2) |
|
(3) |
|
(4) |
式中,Ta为日平均气温,Tamax,Tamin分别为日最高气温、月气温;Tm为气温变化幅度;t0为最大太阳辐射与最高气温出现的时间差加1,本研究取t0=3 h;t为时间,规定凌晨6:00为时间的起点,即凌晨6:00时,t=0;ω为角频率(1/h),ω=π/12。
旧水泥路面加铺沥青层路面结构的日气温实测和拟合的曲线如图 12所示,注意图中的横坐标为规定凌晨6:00为时间起点处理后的时间t,而不是实测的时刻。Ta和Tm分别为32.40 ℃和4.58 ℃,气温参数A和B的拟合结果为0.96和0.14,相关系数为0.964,可见,采用修正后的双正弦函数模拟气温是合理的。
|
| 图 12 气温拟合曲线 Fig. 12 Fitting curves of air temperature |
| |
近路表气温受太阳辐射的影响较大,为模拟有效太阳辐射对气温的影响,严作人[6]采用修正气温振幅的方式来计算近路表气温。因此,本文在式(2)基础上可得出修正后的近路表气温表达式为:
|
(5) |
式中,Tb为近路表气温;α为路面太阳辐射的吸收率,沥青层可取0.85;Cr为气温变化幅值的修正量,晴天时可取5。
根据式(5),旧水泥路面加铺沥青层结构近路表面的气温模拟结果见图 13,图中的横坐标已换算为实测时刻。
|
| 图 13 近路表面的气温模拟结果 Fig. 13 Fitting curve of air temperature near pavement surface |
| |
(2) 计算太阳辐射
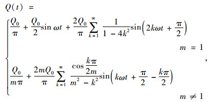
太阳辐射Q(t)的日变化过程可近似用下列分段函数描述[6]:
|
(6) |
式中,Q(t)为太阳辐射模拟值;Q0为中午最大的太阳辐射,Q0=0.131mQs;Qs为日太阳辐射总量;m=12/c,c为实际日照时间。
将式(6)展开为Fourier级数[6]:
|
(7) |
式中,t同式(2)规定。
根据实测太阳辐射值(图 14),算出中午最大的太阳辐射Q0为19.1 MJ,代入式(7),得出太阳辐射的日变化模拟值。
|
| 图 14 实测的太阳辐射值 Fig. 14 Measured solar radiation intensity |
| |
(3) 计算近路表热对流温度
考虑太阳辐射折减系数和对流换热系数的影响,利用式(7)得出太阳辐射模拟值,可计算出太阳辐射对路表面的影响温度。由计算得出的太阳辐射对路表面的影响温度加上按式(5)计算的近路表气温,就可以得到近路表热对流温度。旧水泥路面加铺沥青层结构温度场的近路表热对流温度计算结果见图 15,图中的横坐标已换算为实测时刻。
|
| 图 15 近路表热对流温度随时间变化 Fig. 15 Thermal convection temperature curve near pavement surface varying with time |
| |
对比图 5实测的路表温度,近路表热对流温度的变化趋势与实测的路表温度基本一致,但近路表热对流温度的峰值要高于实测的路表温度峰值,路表温度受外界因素影响较大。
3 温度场数值模拟效果评价按照上述方法,对旧水泥路面加铺沥青层路面结构温度场进行数值模拟。在15:00时的路面结构温度分布云图如图 16所示,可见此时沥青加铺层温度非常高,路面结构层温度沿深度由上到下逐渐下降。
|
| 图 16 路面结构温度分布云图(单位:℃) Fig. 16 Nephogram of temperature distribution of pavement structure (unit:℃) |
| |
图 17为各路面结构在不同深度的温度变化模拟曲线,可见温度变化模拟曲线与实测温度数据变化趋势一致。
|
| 图 17 路面结构层的实测温度及模拟值 Fig. 17 Measured and predicted temperatures of pavement structure layers |
| |
从图 17可知,全天同一深度处的数值模拟温度值与实测温度值的最大绝对误差、平均绝对误差分别为2.79,1.58 ℃,表明利用文中建立的三维有限元模型,模拟旧水泥路面加铺沥青层结构温度场数值精度较高。
4 结论本研究采用预埋温度传感器的方式实测旧水泥路面加铺沥青层结构温度场,分析温度场分布规律并进行温度场数值模拟,得出以下结论:
(1) 路面结构层的最高温度、最大正温度梯度出现沥青加铺层内,沥青加铺层的温度变化大,水泥混凝土层结构温度变化很小,应选用感温性能好的沥青加铺层材料,提高沥青加铺层抗高温车辙的性能。
(2) 修正后的双正弦函数可以很好地模拟近路表气温的日变化规律,以此为模型边界条件可正确建立三维温度场计算模型。
(3) 根据传热学原理建立的三维有限元方法模拟得到的旧水泥路面加铺沥青路面结构温度场数据与实测数据的偏差在3 ℃以内,表明该有限元模型具有很高的预测精度。
沥青路面处在复杂多变的自然环境中,不同气候状态下(阴雨、冰雪和多云天气)沥青路面的温度分布特征不同,要进一步开展不同气候形态下的路面温度场研究。可利用文中建立的三维有限元温度场模型分析沥青加铺层的温度应力状态,研究行车荷载和温度耦合作用下沥青加铺层的裂缝和车辙发展状况,为旧水泥路面加铺沥青层路面结构和材料设计提供理论依据。
| [1] |
延西利, 张世平, 李艳, 等. 沥青路面温度场的全厚式实测分析[J]. 长安大学学报:自然科学版, 2016, 36(1): 1-7. YAN Xi-li, ZHANG Shi-ping, LI Yan, et al. Analysis of Temperature Field of Asphalt Pavement by Site Measurement in Full-depth[J]. Journal of Chang'an University:Natural Science Edition, 2016, 36(1): 1-7. |
| [2] |
陈嘉祺, 罗苏平, 李亮, 等. 沥青路面温度场分布规律与理论经验预估模型[J]. 中南大学学报:自然科学版, 2013, 44(4): 1647-1656. CHEN Jia-qi, LUO Su-ping, LI Liang, et al. Temperature Distribution and Method-experience Prediction Model of Asphalt Pavement[J]. Journal of Central South University:Science and Technology Edition, 2013, 44(4): 1647-1656. |
| [3] |
韩文扬, 韦金城, 王林. AC+CRCP复合式路面温度场分析[J]. 中外公路, 2015, 35(5): 98-102. HAN Wen-yang, WEI Jin-cheng, WANG Lin. Temperature Field Analysis for AC+CRCP Composite Pavement[J]. Journal of China & Foreign Highway, 2015, 35(5): 98-102. |
| [4] |
董泽蛟, 李生龙, 温佳宇, 等. 基于光纤光栅测试技术的沥青路面温度场实测[J]. 交通运输工程学报, 2014, 14(2): 1-6. DONG Ze-jiao, LI Sheng-long, WEN Jia-yu, et al. Real-time Temperature Field Measurement of Asphalt Pavement Based on Fiber Bragg Grating Measuring Technology[J]. Journal of Traffic and Transportation Engineering, 2014, 14(2): 1-6. |
| [5] |
杨旭东.湿热地区水泥混凝土路面沥青加铺层结构与材料研究[D].西安: 长安大学, 2012. YANG Xu-dong. Study on Structure and Materials of Asphalt Overlay for Old Cement Concrete Pavement in Hot and Humid Regions[D].Xi'an: Chang'an University, 2012. http://cdmd.cnki.com.cn/Article/CDMD-10710-1013017286.htm |
| [6] |
严作人. 层状路面体系的温度场分析[J]. 同济大学学报, 1984, 12(3): 76-85. YAN Zuo-ren. Analysis of the Temperature Field in Layered Pavement System[J]. Journal of Tongji University, 1984, 12(3): 76-85. |
| [7] |
WANG D, ROESLER J R. One Dimensional Temperature Profile Prediction in Multi-layered Rigid Pavement Systems Using a Separation of Variables Method[J]. International Journal of Pavement Engineering, 2012, 15(5): 373-382. |
| [8] |
吴建良, 孙立军. 路面非周期一维温度场的傅里叶级数解[J]. 中国公路学报, 2012, 25(1): 29-34. WU Jian-liang, SUN Li-jun. Fourier Series Solution of Non-periodic 1-D Temperature Field of Pavement[J]. China Journal of Highway and Transport, 2012, 25(1): 29-34. |
| [9] |
张丽娟, 黄建武, 许薛军. 基于拉普拉斯变换的路面一维时变温度场预测[J]. 华南理工大学学报:自然科学版, 2017, 45(11): 10-16. ZHANG Li-juan, HUANG Jian-wu, XU Xue-jun. Prediction of Time-dependent One-dimension Temperature Field of Pavement on the Basis of Laplace Transform[J]. Journal of South China University of Technology:Natural Science Edition, 2017, 45(11): 10-16. |
| [10] |
LI Y, LIU L P, SUN L J. Temperature Predictions for Asphalt Pavement with Thick Asphalt Layer[J]. Construction and Building Materials, 2018, 160: 802-809. |
| [11] |
康海贵, 郑元勋, 蔡迎春, 等. 实测沥青路面温度场分布规律的回归分析[J]. 中国公路学报, 2007, 20(6): 13-18. KANG Hai-gui, ZHENG Yuan-xun, CAI Ying-chun, et al. Regression Analysis of Actual Measurement of Temperature Field Distribution Rules of Asphalt Pavement[J]. China Journal of Highway and Transport, 2007, 20(6): 13-18. |
| [12] |
罗滔, 陶庆东, 吴瑾. 基于实测数据的沥青混凝土路面结构温度场特性分析[J]. 公路交通科技, 2015, 32(10): 30-36. LUO Tao, TAO Qing-dong, WU Jin. Analysis of Temperature Field Characteristics of Asphalt Concrete Pavement Structure Based on Measured Data[J]. Journal of Highway and Transportation Research and Development, 2015, 32(10): 30-36. |
| [13] |
曹久林.沥青路面温度场及应力场的数值模拟研究[D].重庆: 重庆交通大学, 2012. CAO Jiu-lin. Numerical Simulation of Temperature Field and Stress Field for Asphalt Pavement[D]. Chongqing: Chongqing Jiaotong University, 2012. http://cdmd.cnki.com.cn/Article/CDMD-10618-1013136810.htm |
| [14] |
MINHOTO M J C, PAIS J C, PEREIRA P A A, et al. Predicting Asphalt Pavement Temperature with a Three-Dimensional Finite Element Method[J]. Journal of the Transportation Research Board, 2005, 1919: 96-110. |
| [15] |
罗桑, 钱振东, 白琦峰. 沥青路面结构非线性瞬态三维温度场模型研究[J]. 交通运输工程与信息学报, 2009, 7(3): 33-38. LUO Sang, QIAN Zhen-dong, BAI Qi-feng. Research on the Model of 3D Nonlinear Transient Thermal Field of Asphalt Pavement[J]. Journal of Transportation Engineering and Information, 2009, 7(3): 33-38. |
| [16] |
秦雨.耦合荷载下长寿命复合式路面力学响应与结构组合分析[D].武汉: 武汉理工大学, 2014. QIN Yu. Analysis about Mechanical Response and Structural Combination on Long-life Composite Pavement under Load Coupling[D]. Wuhan: Wuhan University of Technology, 2014. http://cdmd.cnki.com.cn/Article/CDMD-10497-1015000060.htm |
| [17] |
顾兴宇, 倪富健, 董侨. AC+CRCP复合式路面温度场有限元分析[J]. 东南大学学报:自然科学版, 2006, 35(5): 805-809. GU Xing-yu, NI Fu-jian, DONG Qiao. Thermal Analysis for AC+CRCP Composite Pavement Using Finite Element Methods[J]. Journal of Southeast University:Natural Science, 2006, 35(5): 805-809. |
| [18] |
董泽蛟, 潘小康, 邵显智, 等. 温度场及非均布移动荷载作用下沥青路面力学响应分析[J]. 同济大学学报:自然科学版, 2016, 44(5): 740-746. DONG Ze-jiao, PAN Xiao-kang, SHAO Xian-zhi, et al. Dynamic Response Analysis of Asphalt Pavement Due to Combined Non-uniform Moving Load and Temperature Distribution[J]. Journal of Tongji University:Natural Science Edition, 2016, 44(5): 740-746. |
| [19] |
郭寅川, 王礼根, 申爱琴, 等. 甘肃半刚性沥青路面结构的温度场及温度应力三维有限元分析[J]. 重庆交通大学学报:自然科学版, 2016, 35(3): 27-32. GUO Yin-chuan, WANG Li-gen, SHEN Ai-qin, et al. 3D Finite Element Analysis of Temperature Field and Temperature Stress of Semi-rigid Asphalt Pavement Structure in Gansu Province[J]. Journal of Chongqing Jiaotong University:Natural Science Edition, 2016, 35(3): 27-32. |
| [20] |
BARBER E S. Calculation of Maximum Pavement Temperatures from Weather Reports[J]. Highway Research Board Bulletin, 1957, 168: 1-8. |
2019, Vol. 36
