扩展功能
文章信息
- 范剑锋, 刘涛, 彭自强, 刘争
- FAN Jian-feng, LIU Tao, PENG Zi-qiang, LIU Zheng
- 基于索梁组合结构的悬索桥锚跨段索力修正算法
- A Correction Algorithm of Cable Force in Anchorage Span of Suspension Bridge Based on Cable-stayed Beam Structure
- 公路交通科技, 2019, 36(4): 66-71
- Journal of Highway and Transportation Research and Denelopment, 2019, 36(4): 66-71
- 10.3969/j.issn.1002-0268.2019.04.010
-
文章历史
- 收稿日期: 2017-12-07
锚跨段是通过锚跨索股的张力来控制的[1],而锚跨段作为缆索系统的一部分,它直接影响到了中跨及边跨主缆的线形,因而锚跨段索股的张力也是悬索桥监控的一个重要环节,所以锚跨索股张力的精确测量是悬索桥监控的重要影响因素[2]。
对于悬索桥锚跨张力的控制研究许多是借鉴斜拉桥斜拉索和吊杆等有关研究成果。悬索桥锚跨段索力影响因素众多,宋一凡[3]的研究中考虑了锚跨段索股的温度效应,提出一种新温度效应计算的挠度理论。许汉铮[4]提出了锚跨段索股与拉杆的力学模型,并将拉杆作为具有刚度的边界条件,以此运用弦振理论方法,通过测得已有频率对悬索桥锚跨张力进行计算。王达[5]等人研究了锚跨段索股抗弯刚度对索力计算的影响,结果可以看出当索股直径较小时,索股的抗弯刚度对索力计算影响值只有3%。李宇鹏[6]于2013年,基于许汉铮[4]提出的锚跨段索股与拉杆的力学模型上,进行了分析后,认为考虑拉杆段抗弯刚度提高了计算难度。基于Warminski J等人[7]的提出了组合梁系统的振动研究,而王志搴、赵跃宇等人[8-10]通过对索梁组合系统的模态分析,得出了理论上索梁组合结构多个参数对结构频率的影响。吴庆熊等人[11]通过索梁组合结构固有振动试验证明了有限元模型的正确性。从云跃等人[12]建立斜拉桥单梁-多索力学模型进行了索梁结构的模态分析。
基于上述背景与原因,本研究根据索梁组合结构,提出考虑锚跨段拉杆抗弯刚度的修正算法,根据动力平衡方程及边界条件列式解出索梁组合系统方程,并通过编辑程序给出索梁组合方程中索力的数值解,得出基于考虑锚跨段拉杆抗弯刚度的影响的索力值,并通过工程实例验证该法的正确性,从而提高振弦法测量锚跨段索股张力的精度。
1 锚跨索股的振动 1.1 理想弦的振动索股的抗弯刚度很小以至于忽略不计时,此时将张紧的弦看作是理想的弦,假定弦长为L,均布质量为m,索股在微小振动时其拉力不变为F。
运用瑞利里兹法计算振弦的频率[4],拉索振动时由拉索的动能和势能相互交替,根据动能守恒原理,可知得:
|
(1) |
式中ωn为索股的n阶振动圆频率,其频率fn为:
|
(2) |
因此:
|
(3) |
工程上一般都取低阶频率[13],此处采用一阶频率化简得到公式(4)的简化算法来计算索力。
|
(4) |
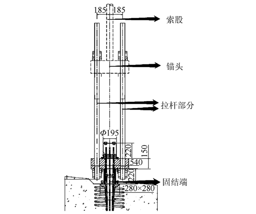
悬索桥锚跨段(如图 1)由索股和螺纹拉杆相互铰接,索股段固结在散索鞍内,而拉杆固结在前锚面(固结端)上,索股与梁连接部分(锚头)不承受弯矩,因而为铰接。拉杆部分为梁结构,索股部分为索结构,两者铰接连接,两端固结,其力学模型如图 2所示。
|
| 图 1 锚跨段设计(单位:mm) Fig. 1 Design of anchorage span(unit:mm) |
| |
|
| 图 2 索梁组合结构力学模型 Fig. 2 Mechanical model of cable-stayed beam structure |
| |
当索股受外界激励后,做自由振动时,其螺纹拉杆会随着索股的振动一起振动,它们组成了同一个结构;而螺纹拉杆的抗弯刚度较大,在这里不可忽略,因此计入拉杆的抗弯刚度进行分析。
索股的长度为L1,单位长度质量为m1,拉杆的长度为L2,抗弯刚度为EI, 单位长度质量为m2,张力为F,且在微小振动时,其张力不变。
其基本假设条件为:
(1) 考虑微振动,不计索拉力的变化;
(2) 梁为欧拉梁,只考虑弯曲变形,不计轴向变形、剪切变形及截面绕中性轴转动惯量的影响。
图 3所示索梁结构为自由振动问题,通过Hamilton变分原理列出索、梁结构的振动方程分别为:
|
| 图 3 索梁结构计算模型 Fig. 3 Calculation model of cable-stayed beam |
| |
|
(5) |
|
(6) |
式中y1,y2分别为索和梁的振动方程。
1.2.2 边界条件及索、梁连接条件(1) 梁端位移及转角为0,索端位移为0。
|
(7) |
(2) 梁与索连接处的约束;①连接处位移相等;②连接处梁的弯矩为0;③连接处截面受力平衡。
梁的弯矩为:
|
(8) |
连接处梁的剪力为:
|
(9) |
连接处索股的微小转角为α,因此索轴力在连接处的竖向分力为:
|
(10) |
|
(11) |
且有:
|
(12) |
故连接处边界条件为:
|
(13) |
设梁与索的各点作同步运动,即y1(x1, t)=φ(x1)q(t);y2(x1, t)=ψ(x2)q(t)。其中φ(x1)和ψ(x2)分别为索和梁的模态函数。
1.2.3 振动方程求解(1) 方程(5)分离变量求解:
|
(14) |
求得:
|
(15) |
|
(16) |
其中令:
|
(17) |
式中,C1,C2为待定系数,与边界条件有关。
(2) 方程(6)分离变量求解:
|
(18) |
求得:
|
(19) |
|
(20) |
其中令:
|
(21) |
式中,C3,C4,C5,C6为待定系数,与边界条件有关。
(3) 代入边界条件及索梁连接条件求解:
① 由梁端及索端边界条件得:
φ(0)=0,即C1=0;
ψ(0)=0,即C3+C5=0;
ψ·(0)=0,即C4+C6=0。
索和梁的模态函数简化为:
|
(22) |
|
(23) |
② 由梁与索连接处的边界条件得:
φ(L1)=ψ(L2),即
|
(24) |

|
(25) |

|
(26) |
关于C2、C3、C4的其次线性方程组有非零解,即:
|
(27) |
进而求得ωn的一组取值,方程较复杂,使用符号运算没有解析解,可使用数值解法。求得的ωn即为该梁索组合结构的固有频率,确定ωn之后即可确定梁与索的模态函数φ(x1)及ψ(x2)。
由上述方程编辑一个修正算法小程序,即可求得F的数值解。计算流程如图 4所示。
|
| 图 4 修正算法小程序流程图 Fig. 4 Flowchart of small program in correction algorithm |
| |
2 工程实例分析
现今锚跨索股张力主要运用锚索测力计、振弦法等方法[14]。锚索测力计测试精度高[15],但是由于其成本昂贵,无法对所有锚跨索股布设。振弦法采用动测仪[16]进行测量,其测试精度高,成本低廉,操作简单,适宜运用于全范围测量锚跨张力,但是振弦法测量锚跨张力时,多种因素影响。
本研究依托于湖北省恩施州水布垭清江大桥,该桥为主跨420 m,重力式锚定的悬索桥。取3根装有XB-110型锚索测力计(图 5)的索股,表 1为索股与拉杆的参数。考虑到索股的长度、单位质量和张力,以及拉杆的长度、单位质量和抗弯刚度。运用有限元软件计算出结构的索力及自振频率,采用动测仪测出索力频率,并用简化算法(4)对索力进行计算,再通过索梁组合结构修正算法计算程序计算索力,并比较有限元计算结果、简化算法、修正算法以及锚索测力计实测结果的误差。
|
| 图 5 锚跨段1#索锚索测力计 Fig. 5 Anchor cable dynamometer No.1 for anchorage span |
| |
| 索股号 | 索长/m | 单位质量/ (kg·m-1) |
张力/kN | 拉杆长度/m | 单位质量/ (kg·m-1) |
拉杆对Y轴刚度EIY/ (kN·m) |
拉杆对X轴刚度EIX/( kN·m) |
| 1 | 17.46 | 14.59 | 89.4 | 1.8 | 31.96 | 34.7 | 14 666 |
| 11 | 17.45 | 14.59 | 89.4 | 1.8 | 31.96 | 34.7 | 14 666 |
| 24 | 17.37 | 14.59 | 89.4 | 1.8 | 31.96 | 34.7 | 14 666 |
拉杆的弹性模量为210 GPa,截面形式如图 6所示。可得拉杆对X轴和Y轴的抗弯刚度。图中单位为mm,外部方形部分为拉杆锚头,忽略其刚度。
|
| 图 6 锚跨拉杆剖面图(单位:mm)s Fig. 6 Profile of anchorage span tie(unit:mm) |
| |
利用ANSYS建立索梁组合结构有限元模型进行模拟[17-18]计算,如图 7所示。节点1至2为BEAM188弹性蠕变梁单元,节点2至7为LINK8预应力索单元。两段边界条件为全部约束。节点2处直接连接,因为索单元在此处不会承受弯矩,因为等同于铰接。索单元建立时,需打开预应力开关,根据输入初始应变,即输入了索力,求解分析选择模态分析中的子空间迭代法[19],显示前10阶模态,通过索力算出频率,即可得到工程实例测得频率所对应的理论计算索力。
|
| 图 7 索梁组合结构有限元模型 Fig. 7 FE model of cable-stayed beam structure |
| |
以锚索测力计测得结果为准,对比有限元计算结果、简化算法及修正算法的结果,并分析误差。
通过表 2和表 3的结果比对,可以看出,当锚跨拉杆抗弯刚度较大时,运用简化算法计算所得索力最大影响值达到了11.6%;3根索股的索力平均误差为9%。而运用修正算法计算所得索力最大影响值为1.8%,3根索股的索力平均误差为0.8%,与有限元计算结果接近。由于简化算法直接忽略了锚头拉杆的抗弯刚度,即将索梁组合结构简化为了索单元,进而带来了索力计算上的误差,因此运用索梁组合结构的修正算法,考虑了锚头拉杆的抗弯刚度,计算结果更加符合结构索力的真实状态。
| 索股号 | 有限元计算结果 | 简化算法计算结果 (不考虑刚度EIY) |
修正算法计算结果 (考虑刚度EIY) |
锚索测力计测得索力/kN | |||||
| 索力/ kN |
与压力环误差/% | 索力/ kN |
与压力环误差/% | 索力/kN | 与压力环误差/% | ||||
| 1 | 112.31 | 1.2 | 111.76 | 1.7 | 112.75 | 0.8 | 113.67 | ||
| 11 | 142.47 | 1.9 | 140.52 | 3.2 | 141.87 | 2.3 | 145.22 | ||
| 24 | 125.25 | 0.8 | 123.91 | 1.9 | 125.10 | 1.0 | 126.30 | ||
| 索股号 | 有限元计算结果 | 简化算法计算结果 (不考虑刚度EIX) |
修正算法计算结果 (考虑刚度EIX) |
锚索测力计测得索力/kN | |||||
| 索力/ kN |
与压力环误差/% | 索力/ kN |
与压力环误差/% | 索力/ kN |
与压力环误差/% | ||||
| 1 | 112.31 | 1.2 | 121.32 | 6.7 | 111.62 | 1.8 | 113.67 | ||
| 11 | 142.47 | 1.9 | 162.03 | 11.6 | 145.66 | 0.3 | 145.22 | ||
| 24 | 125.25 | 0.8 | 138.09 | 8.5 | 126.69 | 0.3 | 126.30 | ||
3 结论
本研究通过Hamilton变分原理,列出悬索桥锚跨段拉杆与索组成的索梁组合结构的动力方程,并根据实际边界条件解出索力。
(1) 锚跨索力测试时,锚跨拉杆作为锚跨段主缆的边界,不能直接作为固定连接进行分析,应将两者连接处作为铰接边界,考虑锚跨拉杆的抗弯刚度。
(2) 以往锚跨段只考虑索的振动,而当锚跨拉杆抗弯刚度较大时,用传统的简化计算方法会得到比实际索力值大10%的索力计算结果,是不符合实际情况的,并且有很大偏差的。通过索和梁分开假设,来得到各自的模态函数,进而利用梁的抗弯刚度、结构频率和索力相互的关系来达到工程中所需求解的索力。
| [1] |
郭福.悬索桥锚跨索股张力计算及其控制研究[D].重庆: 重庆交通大学, 2008. GUO Fu. Research on Calculation and Control of Suspension Bridge Anchor Span's Strand Tension[D]. Chongqing: Chongqing Jiaotong University, 2008. |
| [2] |
罗喜恒, 肖汝诚, 项海帆. 悬索桥锚跨索股分析研究[J]. 公路交通科技, 2004, 21(12): 45-49. LUO Xi-heng, XIAO Ru-cheng, XIANG Hai-fan. Analysis Study of Anchor Span Strand for Suspension Bridges[J]. Journal of Highway and Transportation Research and Development, 2004, 21(12): 45-49. |
| [3] |
宋一凡, 贺拴海, 吴小平. 固端刚性拉索索力分析能量法[J]. 西安公路交通大学学报, 2001, 21(1): 55-57. SONG Yi-fan, HE Shuan-hai, WU Xiao-ping. Energy Method of the Tension for Fixed-end Rigid Cables[J]. Journal of Xi'an Highway University, 2001, 21(1): 55-57. |
| [4] |
许汉铮, 黄平明. 大跨径悬索桥主缆锚跨张力控制[J]. 长安大学学报:自然科学版, 2002, 22(5): 32-34. XU Han-zheng, HUANG Ping-ming. Cable Tension Control in Anchorage Span of Suspension Bridge[J]. Journal of Chang'an University:Natural Science Edition, 2002, 22(5): 32-34. |
| [5] |
王达, 邓洁, 陈春苗, 等. 大跨度悬索桥锚跨索股张力计算参数影响分析[J]. 公路交通科技, 2015, 32(2): 63-68. WANG Da, DENG Jie, CHEN Chun-miao, et al. Analysis of Calculation Parameters Influence on Anchor Span Strand Tension of Long-span Suspension Bridge[J]. Journal of Highway and Transportation Research and Development, 2015, 32(2): 63-68. |
| [6] |
李宇鹏.大跨度悬索桥锚跨张力精细化控制研究[D].长沙: 长沙理工大学, 2013. LI Yu-peng. A Refined Control Study on Cable Tension of Anchorage Span of Long-span Suspension Bridges[D]. Changsha: Changsha University of Science and Technology, 2013. |
| [7] |
WARMINSKI J, CARTMELL M P, BOCHENSKI M, et al. Analytical and Experimental Investigations of an Autoparametric Beam Structure[J]. Journal of Sound and Vibration, 2008, 315(3): 486-508. |
| [8] |
王志搴, 赵珧冰, 孙测世, 等. 索-梁组合结构的建模及面内动力特性分析[J]. 固体力学学报, 2014, 35(3): 308-312. WANG Zhi-qian, ZHAO Yao-bing, SUN Ce-shi, et al. Modeling and In-plane Dynamics Analysis of the Cable-stayed Beam[J]. Chinese Journal of Solid Mechanics, 2014, 35(3): 308-312. |
| [9] |
赵跃宇, 蒋丽忠, 王连华, 等. 索-梁组合结构的动力学建模理论及其内共振分析[J]. 土木工程学报, 2004, 37(3): 69-72. ZHAO Yue-yu, JIANG Li-zhong, WANG Lian-hua, et al. The Dynamical Modelling Theory and Internal Resonance of Cable-beam Composite Structure[J]. China Civil Engineering Journal, 2004, 37(3): 69-72. |
| [10] |
WANG Z Q, YI Z P, LUO Y S. Energy-based Formulation for Nonlinear Normal Modes in Cable-stayed Beam[J]. Applied Mathematics and Computation, 2015, 265(1): 176-186. |
| [11] |
吴庆熊, 王文平, 陈宝春. 多索-梁结构固有振动特性分析[J]. 工程力学, 2017, 34(1): 109-129. WU Qing-xiong, WANG Wen-ping, CHEN Bao-chun. Natural Vibration Analysis of Multi-cables-stayed Beam Structures[J]. Engineering Mechanics, 2017, 34(1): 109-129. |
| [12] |
从云跃, 康厚军, 郭铁丁, 等. CFRP索斜拉桥面内自由振动的多索梁模型及模态分析[J]. 动力学与控制学报, 2017, 15(6): 494-502. CONG Yun-yue, KANG Hou-jun, GUO Tie-ding, et al. A Multiple Cable-beam Model and Modal Analysis on In-plane Free Vibration of Cable-stayed Bridge with CFRP Cables[J]. Journal of Dynamics and Control, 2017, 15(6): 494-502. |
| [13] |
陈常松, 陈政清, 颜东煌. 柔索索力主频阶次误差及支承条件误差[J]. 交通运输工程学报, 2004, 4(4): 17-20. CHEN Chang-song, CHEN Zheng-qing, YAN Dong-huang. Frequency Number Error and Support Condition of Flexible Cable Tension[J]. Journal of Traffic and Transportation Engineering, 2004, 4(4): 17-20. |
| [14] |
慕玉坤.大跨径悬索桥锚跨张力控制研究[D].西安: 长安大学, 2003. MU Yu-kun. Control of Cable Tension in Anchorage Span of Large-span Suspension Bridge[D]. Xi'an: Chang'an University, 2003. |
| [15] |
黄平明, 慕玉坤. 悬索桥锚跨张力控制系统[J]. 长安大学学报:自然科学版, 2007, 27(4): 42-45. HUANG Ping-ming, MU Yu-kun. Tension Control System of Suspension Bridge Anchor Cable[J]. Journal of Chang'an University:Natural Science Edition, 2007, 27(4): 42-45. |
| [16] |
方志, 张智勇. 斜拉桥的索力测试[J]. 中国公路学报, 1997, 10(1): 51-58. FANG Zhi, ZHANG Zhi-yong. Test of Cable Tension in Cable-stayed Bridge[J]. China Journal of Highway and Transport, 1997, 10(1): 51-58. |
| [17] |
陈从春.矮塔斜拉桥设计理论核心问题研究[D].上海: 同济大学, 2006. CHEN Cong-chun. Study on Major Problems for Design Theory of Extradosed Cable-stayed Bridge[D]. Shanghai: Tongji University, 2006. |
| [18] |
张志宏.大型索杆梁张拉空间结构体系的理论研究[D].杭州: 浙江大学, 2003. ZHANG Zhi-hong. Theoretical Research on Large-span Tensile Spatial Structures Composed of Cables, Bars and Beams[D]. Hangzhou: Zhejiang University, 2003 |
| [19] |
宫玉才, 周洪伟, 陈璞, 等. 快速子空间迭代法、迭代Ritz向量法与迭代Lanczos法的比较[J]. 振动工程学报, 2005(2): 227-232. GONG Yu-cai, ZHOU Hong-wei, CHEN Pu, et al. Comparison of Subspace Iteration, Iterative Ritz Vector Method and Iterative Lanczos Method[J]. Journal of Vibration Engineering, 2005(2): 227-232. |
2019, Vol. 36
