扩展功能
文章信息
- 程国勇, 王肖江, 廖梦羽
- CHENG Guo-yong, WANG Xiao-jiang, LIAO Meng-yu
- 基于实体单元的弯沉盆面积指数法改进
- Improvement of Deflection Basin Area Index Method Based on Solid Element
- 公路交通科技, 2019, 36(4): 15-20
- Journal of Highway and Transportation Research and Denelopment, 2019, 36(4): 15-20
- 10.3969/j.issn.1002-0268.2019.04.003
-
文章历史
- 收稿日期: 2017-09-01
2. 南开大学, 天津 300350;
3. 青岛流亭国际机场, 山东 青岛 266309
2. Nankai University, Tianjin 300350;
3. Qingdao Liuting International Airport, Qingdao Shandong 266309, China
机场水泥混凝土道面板是机场安全运营的基础,各个国家均对机场道面的承载性能定期评估做过强制性规定。重型弯沉仪HWD(Heavy Weight Deflectormeter)测试是目前国内外广泛应用的机场道面无损检测方法[1]。在所有对道面结构参数进行分析的方法中,弯沉盆面积指数法是目前国内外普遍采用的基于弯沉数据进行机场刚性道面结构参数分析的一类方法。
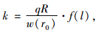
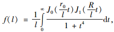
弯沉盆面积指数法的理论依据为圆形均布荷载作用于温克尔地基上无限大板的理论。采用距圆形荷载中心不同距离处的若干弯沉值构造弯沉盆面积指数Aw(弯沉盆断面面积与任意点挠度值之比),通过弯沉盆面积指数Aw实现弯沉解析解表达式中相对刚度半径l与温克尔基床系数k的分离;然后通过相对刚度半径l与弯沉盆面积指数Aw的相关关系分析得到相对刚度半径l;进而通过距荷载中心特定距离r0处的弯沉系数f(l)与相对刚度半径l之间的相关关系计算得到f(l)式(2);最终根据距荷载中心特定距离r0处的解析解,将相对刚度半径l与弯沉系数f(l)代入式(3)得到温克尔基床系数k。
|
(1) |
|
(2) |
|
(3) |
式中, w(r)为距圆形均布荷载中心为r处的挠度; q为圆形均布荷载; R为圆形均布荷载半径; 
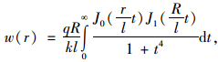
目前国内外存在5种形式的弯沉盆面积指数法,包括我国民航规范法[2], 美国空军(USFA)用6个远端传感器构造的弯沉盆面积指数法[3], 和美国公路战略研究计划(SHRP:Strategic Highway Research Program)使用的3种弯沉盆面积指数法,其分别为:使用4个近端传感器(SHRP 4-in)方法、7个近端传感器(SHRP 7-in)方法和5个远端传感器(SHRP 5-outer)方法。图 1为目前国内外常见的5种弯沉盆面积指数法的弯沉采集点布置情况。为便于叙述,将5种方法编为1-5号,表 1为各种弯沉盆面积指数法的相关公式,表 2为各相关公式对应的系数。需要说明的是在表 1中民航规范法的相关公式采用了雷亚伟的改进式[4]。
|
| 图 1 国内外5种弯沉盆面积指数法弯沉采集点布置(单位:cm) Fig. 1 Layout of deflection collection points in 5 domestic and foreign deflection basin area index methods (unit:cm) |
| |
| 序号 | 面积指数Aw | 相对刚度半径l及其他参数 | 文克尔基床系数k |
| 1 | ![]() |
||
| 2 | |||
| 3 | |||
| 4 | |||
| 5 | |||
| 方法编号 | 常数 | ||||||
| A | B | C | D | x | y | z | |
| 2 | 60 | 301.8 | -0.622 | 2.501 | 0.121 88 | 0.794 32 | 0.040 74 |
| 3 | 36 | 1 812.279 | -2.255 9 | 4.387 | 0.124 50 | 0.147 07 | 0.075 65 |
| 4 | 48 | 158.408 | -0.476 | 2.22 | 0.121 88 | 0.794 32 | 0.040 74 |
| 5 | 60 | 289.078 | -0.698 | 2.566 | 0.124 50 | 0.147 07 | 0.075 65 |
可以看出,由于各种方法传感器布置的位置、间距、采用的传感器数量等方面的差异,相应的分析公式形式上存在很大的差别,各种弯沉盆面积指数法分析结果的可靠性也缺乏系统研究,无法为该类方法的应用提供参考[5-9]。本研究基于实体单元的有限元分析方法,系统计算了120种工况下的道面弯沉数据,然后基于上述数据分析了国内外5种面积指数法的误差并分析了其原因,最后提出了改进的弯沉盆面积指数法,研究成果对于民航机场道面评估具有借鉴意义。
1 道面弯沉的有限元建模为验证各公式精度本研究基于ABAQUS有限元软件选用实体单元模拟道面弯沉,为确保分析结果准确,在进行数值分析前首先探讨合理的有限元建模参数,以解析解作为检验有限元分析结果的依据[10-18],为弱化模型边界效应道面板尺寸采用14 m× 14 m大板,网格划分尺寸为0.1 m×0.1 m,道面为无约束的边界条件,底部施加基顶反应模量k并取值20~220 MN/m3,道面板弹性模量取30 GPa,泊松比0.15,厚度取值0.15~0.50 m,采用静力加载的方式模拟HWD冲击过程,荷载半径0.15 m,接地应力1.5 MPa,共计120种不同工况,模型变量取值如表 3所示。
| 模型变量 | 取值 |
| 板厚/m | 0.15, 0.2, 0.25, 0.3, 0.35, 0.4, 0.45, 0.5 |
| 基顶反应模量/ (MN·m-3) |
20, 30, 40, 60, 80, 90, 100, 120, 140, 150, 160, 180, 200, 210, 220 |
传感器布置以道面板中心为圆心、距圆心20,30,45,60,90,120,150,180 cm一系列同心圆上,分析发现有限元计算与解析解结果曲线在距荷载中心30 cm范围内重合度不高,45~180 cm范围内数据基本重合,且随着道面板厚度、基顶反应模量增大误差会逐渐增大。主要原因在于弹性小挠度薄板无限大弹性地基板假设板厚方向不存在挤压,而在实际检测与实体建模中是不可忽视的重要因素,尤其是在荷载中心处这种挤压变形造成的误差会更为明显。当板厚超过45 cm时误差值最大会超过20%,距荷载中心45~180 cm范围内误差在6%以内。为了保证数据的准确性且模型建立符合实际检测,本研究道面板模型厚度建立不超过45 cm。图 2为部分有限元解与解析解的对比曲线示例图。
|
| 图 2 部分有限元解与解析解的对比曲线 Fig. 2 Comparative curves of partial finite element solutions and analytic solutions |
| |
2 弯沉盆面积指数法的改进 2.1 国内外弯沉盆面积指数法对比
对比近百种工况数据发现国内外的5种弯沉盆面积指数法的分析结果都存在较大的误差,并且均出现随着板厚的增加基顶反应模量分析结果增大的现象。其中SHRP 7-in误差最大,在同一板厚不同基顶反应模量下误差较为稳定,其分析误差范围为23.56%~104.71%;其次SHRP 4-in误差最大,其分析误差范围为-56.14%~-10.27%,仅在0.45 m板厚的工况下显示了较高的精确性,但误差也达到了-18.86%;USFA,SHRP 5-outer的算法在各个工况下精度中等、较稳定,其分析误差范围分别为1.01%~31.48%,15.05%~31.09%,平均误差分别为20.68%,21.95%。中国民航规范(修正后)方法是5种方法中精度最高的,但不同基顶反应模量下精度稳定性不好,其分析误差范围为-22.99%~31.51%,平均误差为10.64%,并且呈现出一种随着道面板的加厚、基顶反应模量分析结果增大的趋势。
综合分析:采用了近端传感器数值的SHRP 7-in、SHRP 4-in误差最大并且不同板厚的精度波动较大。主要原因是由于近端荷载作用集中,道面板挤压变形剧烈,对于传感器数值采集有误差影响,同时仅使用4个传感器数值的SHRP 4-in也是造成其误差较大、精度不稳定的原因。而采用了远端传感器数值的SHRP 5-outer,USFA误差相对较小且精度稳定。中国民航规范虽然采用了近端传感器数值,但是由于本研究采用雷亚伟修正后的回归公式因此精度最高。
因此为了提高弯沉盆指数法的精度应该从两个方向考虑,(1)弯沉盆指数的构造,弯沉盆指数法构造应该采用远端传感器数值并且应该布置适宜数量的传感器。(2)合适的分析公式能够大幅度地提高结果精度,本研究将通过105种工况下的数值进行数值拟合,构造合适的回归公式。
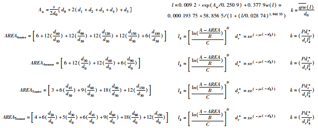
2.2 弯沉盆面积指数法的改进为减弱板挤压效应带来的影响,提高弯沉盆面积指数法的精度,本研究提出的公式采用远端传感器弯沉值构造公式,选用距离荷载中心30,60,90,120,150,180 cm的6个传感器,构造了新弯沉盆面积指数式(5),然后根据d30(距离荷载中心30 cm)处弯沉值拟合公式。
通过弯沉盆面积指数Aw实现解析解表达式中相对刚度半径l与温克尔基床系数k的分离;然后通过相对刚度半径l与沉盆面积指数Aw的相关关系分析得到相对刚度半径l式(6);进而通过距荷载中心距离30 cm处的弯沉系数f(l)与相对刚度半径l之间的相关关系计算得到f(l)式(7);最终将距荷载中心距离0.3 m处的弯沉值弯沉系数f(l)代入式(4)得到温克尔基床系数k的数值,s为测点间的间距。
|
(4) |
|
(5) |
|
(6) |
为了验证修改后的弯沉盆面积指数法的适用性与可靠性,因此随机修改模型的道面板属性,采用不同的混凝土弹性模量、板厚、荷载、基顶反应模量的工况来验证本方法,部分结果示例如图 3所示。可以看出新公式在精度与稳定性方面有明显的提高。
|
| 图 3 6种弯沉盆面积指数法的误差对比示例 Fig. 3 Examples of comparison of errors of 6 deflection basin area index methods |
| |
为验证新公式在实际中的应用,基于北方某机场实际采集数据,对新公式与中国民航规范公式进行对比,如图 4所示,总体趋势上新公式分析结果略低于中国民航公式,在板厚较薄处新公式分析结果存在大于中国民航公式分析的现象,与建模结果吻合,由于跑道起飞降落端道面板较厚,中国民航公式结果会大于实际真实值,而新公式更趋于真实结果,且在机场道面评估中新公式由于分析数值稍低于真实值,预留了安全储备,对道路安全通航更有利。
|
| 图 4 实际数据对比曲线 Fig. 4 Comparative curves of actual data |
| |
最后基于不同随机工况验证结果表明:新弯沉盆面积指数法回归的基顶反应模量值的误差可限制在-25.51%~0.15%范围内,对于板厚在20~45 cm范围内的多种不同工况普遍适用,相比较国际上的其他5种方法更加精确稳定。
4 结论本研究基于弹性地基板理论,以实体单元的有限元分析结果为依据,对比分析国内外5种弯沉盆面积指数法,计算各自误差范围。结果表明采用远端传感器与精准的回归公式会使误差减小。最终提出采用6远端弯沉方案的新弯沉盆面积指数法,并通过额外随机工况验证,分析误差可限制在-25.51%~0.15%内,改进后公式的准确率与稳定性较目前国内外使用的5种方法有明显提高,在板厚20~45 cm工况下适用性较好,本研究提出的采用远端弯沉方案的新弯沉盆面积指数法对于民航机场道面评估具有一定借鉴作用。
| [1] |
US Federal Aviation Administration. Airport Pavement Design and Evaluation 150/5320-6E[R].Washington, D.C.: US Department of Transportation, 1995.
|
| [2] |
MH/T5024-2009, 民用机场道面评价管理技术规范[S]. MH/T5024-2009, Technical Specifications of Aerodrome Pavement Evaluation and Management[S]. |
| [3] |
程国勇, 刘保龙, 廖梦羽. 弯沉盆面积指数法的改进[J]. 中国民航大学学报, 2018, 36(2): 50-58. CHENG Guo-yong, LIU Bao-long, LIAO Meng-yu. Improvement of Deflection Basin Area Index[J]. Journal of Civil Aviation University of China, 2018, 36(2): 50-58. |
| [4] |
雷亚伟.基于弯沉的道面结构分析系统研究[D].天津: 中国民航大学, 2014. LEI Ya-wei. Research of Pavement Structure Analysis System Based on Deflection[D].Tianjin: Civil Aviation University of China, 2014. |
| [5] |
赵志华, 袁捷. FWD在机场道面检测中的应用[J]. 城市道桥与防洪, 2015, 2(2): 168-171. ZHAO Zhi-hua, YUAN Jie. Application of FWD in Inspection of Airport Pavement[J]. Urban Roads Bridges & Flood Control, 2015, 2(2): 168-171. |
| [6] |
查旭东. 路面结构层模量反算方法综述[J]. 交通运输工程学报, 2002, 2(4): 1-6. ZHA Xu-dong. Summary of Back Calculation Methods of Pavement Layer Moduli[J]. Journal of Traffic and Transportation Engineering, 2002, 2(4): 1-6. |
| [7] |
黄义, 何芳社. 弹性地基板上的梁、板、壳[M]. 北京: 科学出版社, 2005. HUANG Yi, HE Fang-she. Beam, Plate and Shell on Elastic Foundation[M]. Beijing: Science Press, 2005. |
| [8] |
林小平, 袁捷, 凌建明, 等. 刚性路面弯沉盆面积指数反演方法改进[J]. 中国公路学报, 2009, 22(3): 14-19. LIN Xiao-ping, YUAN Jie, LING Jian-ming, et al. Improved Deflection Basin Area Parameters Back Calculation Method for Rigid Pavement[J]. China Journal of Highway and Transport, 2009, 22(3): 14-19. |
| [9] |
程国勇, 雷亚伟, 黄旭栋. 基于HWD测试的弯沉盆面积指数法及改进[J]. 中国民航大学学报, 2016, 34(1): 32-35. CHENG Guo-yong, LEI Ya-wei, HUANG Xu-dong. Deflection Basin Area Index Method and Improvement Based on HWD Test[J]. Journal of Civil Aviation University of China, 2016, 34(1): 32-35. |
| [10] |
MH/T5004-2010, 民用机场水泥混凝土道面设计规范[S]. MH/T5004-2010, Specifications for Airport Cement Concrete Pavement Design[S]. |
| [11] |
雷亚伟, 程国勇, 郭稳厚. HWD测试方法的可靠性分析[J]. 中外公路, 2016, 36(1): 57-62. LEI Ya-wei, CHENG Guo-yong, GUO Wen-hou. Reliability Analysis of HWD Test Method[J]. Journal of China & Foreign Highway, 2016, 36(1): 57-62. |
| [12] |
JTGE60-2008, 公路路基路面现场测试规程[S]. JTGE60-2008, Field Test Methods of Subgrade and Pavement for Highway Engineering[S]. |
| [13] |
程国勇, 段淳, 刘国光. 机场刚性道面接缝弯沉测试的非零截距问题[J]. 中国民航大学学报, 2012, 30(2): 13-16. CHENG Guo-yong, DUAN Chun, LIU Guo-guang. Nonzero Intercepts of Load-deflection Curve in Load Transfer Test with Airport Rigid Pavement Joint[J]. Journal of Civil Aviation University of China, 2012, 30(2): 13-16. |
| [14] |
AC150/5320-6D, Airport Pavement Design and Evaluation[S].
|
| [15] |
袁捷.机场刚性道面结构参数反演方法研究[D].上海: 同济大学, 2008. YUAN Jie. Research on Parameter Back Calculation Method for Airport Rigid Pavements[D].Shanghai: Tongji University, 2008. |
| [16] |
贾鹏飞.刚性路面脱空识别弯沉盆形状系数法[D].郑州: 郑州大学, 2009. JIA Peng-fei. Deflection Basin Shape Factor Method for Recognition of Voids under Rigid Pavement[D].Zhengzhou: Zhengzhou University, 2009. |
| [17] |
元松.基于FWD的水泥混凝土路面结构动力响应特性分析[D].长沙: 长沙理工大学, 2004. YUAN Song. Analysis of Dynamic Response in CCP Based on FWD[D].Changsha: Changsha University of Science & Technology, 2004. |
| [18] |
游庆龙, 王随柱, 贾玲, 等. FWD路面弯沉数据筛选方法[J]. 江苏大学学报, 2015, 36(6): 711-715. YOU Qing-long, WANG Sui-zhu, JIA Ling, et al. Data Filtering Methods of FWD Pavement Deflection[J]. Journal of Jiangsu University, 2015, 36(6): 711-715. |
2019, Vol. 36

