扩展功能
文章信息
- 赵明华, 彭文哲, 杨超炜, 肖尧
- ZHAO Ming-hua, PENG Wen-zhe, YANG Chao-wei, XIAO Yao
- 考虑桩侧及桩后土拱联合作用的抗滑桩桩间距研究
- Study on Spacing of Anti-slide Piles Considering Combined Soil Arching Effect on Lateral Side and Back
- 公路交通科技, 2019, 36(3): 87-94, 116
- Journal of Highway and Transportation Research and Denelopment, 2019, 36(3): 87-94, 116
- 10.3969/j.issn.1002-0268.2019.03.013
-
文章历史
- 收稿日期: 2017-10-29
抗滑桩是边坡支挡工程常用的一种结构物[1-2],在抗滑桩设计中,桩间距是一个相当重要的指标。桩间距过大可能造成抗滑作用失效,桩间距过小又难以充分利用土体自身强度,容易造成浪费。抗滑桩的受力机理是依靠桩间形成的水平土拱来平衡滑坡推力,因而土拱效应成为确定合理桩间距的重要影响因素。
目前,众多学者对此进行了相关研究。根据水平土拱形成位置的不同,大致可分为以下3种观点:(1)仅存在桩侧土拱;(2)仅存在桩后土拱;(3)同时存在桩侧土拱及桩后土拱。
王成华等[3]基于土拱效应原理及力学特性,建立了最大桩间距平面计算模型;王乾坤等[4]提出以Mohr-Coulomb破坏准则、静力平衡及绕流阻力为控制条件来确定桩间距;文献[5]假定拱轴线起始倾斜角,综合考虑静力平衡与土体强度,推导了关于桩间距的半经验公式;邓先华等[6]考虑坡面倾角的影响,以跨中及拱脚处截面强度为控制条件推导桩间距计算公式。文献[3-6]均认为土拱传递的滑坡推力由桩侧土体与抗滑桩之间的摩擦力来平衡,即第一种观点。
周德培等[7]提出以静力平衡、跨中及拱脚处土体强度为控制条件来确定桩间距;周应华等[8]综合考虑静力平衡与拱脚处土体强度,推导出桩间距、拱厚与拱高之间的方程组;文献[9]基于斜拱效应,考虑坡面倾角的影响,以静力平衡及土体强度为控制条件推导出合理桩间距的计算公式;梁文文等[10]建立了非均布荷载下的悬链线土拱简化模型,基于合理拱轴线与受压极限破裂角等几何特性,明确了拱脚为最不利截面位置并推导出土拱极限承载力与桩间距及桩身截面宽度的关系;杨明辉等[11]基于土拱成拱机理及土拱抛物线拱轴线的几何特征,推导出坡体土压力分布情况;肖世国[12]等认为拱脚处形成倒梯形受压区,并考虑桩身计算宽度条件与桩土变形协调条件,推导出确定桩间净距的方程组。文献[7-12]均认为土拱传递的滑坡推力由抗滑桩自身强度来平衡,即第2种观点。
实际工程中,桩侧土拱或桩后土拱并不单独存在,而是以二者联合的形式共存[13]。黄新文[14]探讨了桩侧土拱与桩后土拱联合存在的可能性,并提出了考虑联合土拱的桩间距近似计算方法;周文权等[15]认为联合土拱拱厚为桩侧实际拱厚和桩后有效拱厚之和,并在此基础上推导出临界桩间距的计算公式;邱子义等[16]假定桩侧土拱与桩后土拱承载力之和为土体总推力,推导出相应的桩间距计算公式。
综上可知,对考虑土拱效应的桩间距研究已取得了一定的成果,但仍存在以下不足:(1)假定桩侧土拱或桩后土拱单独存在,未能考虑二者联合作用的影响;(2)假定桩侧土拱与桩后土拱联合作用时二者拱轴线均为抛物线,与合理拱轴线概念有所矛盾;(3)假定联合拱极限承载力为二者单独作用承载力之和缺乏直接理论依据。
针对以上不足,本研究在已有理论研究基础上,建立了考虑桩侧土拱及桩后土拱联合作用的双土拱简化计算模型:(1)考虑到桩侧土拱可能承受的荷载形式,假定桩侧土拱拱轴线线型及拱间土体的荷载传递形式,以符合合理拱轴线概念;(2)考虑拱间土体静力平衡条件,推导出联合拱极限承载力与单独作用时承载力之间的关系;(3)基于Mohr-Coulomb破坏准则及极限平衡理论,推导出考虑桩侧土拱与桩后土拱联合作用的抗滑桩合理桩间距的计算公式;(4)对比以往相关计算方法,分析了不同计算结果存在差异的原因,以期完善抗滑桩合理桩间距的研究。
1 基本假定及计算模型基于现有理论研究并考虑抗滑桩工程实际,本研究提出桩侧及桩后土拱联合作用的双土拱简化计算模型, 见图 1。该模型考虑桩侧宽度与正面宽度相差不大的情况(即桩侧土拱与桩后土拱联合作用)。
|
| 图 1 双土拱简化计算模型 Fig. 1 Simplified calculation model of double soil archings |
| |
为便于计算,本研究做出如下假定:
(1) 桩侧及桩后土拱同时存在于相邻两抗滑桩之间;
(2) 桩后滑坡推力沿桩径方向均匀分布,坡体土质均匀;
(3) 实际工程中抗滑桩类型主要分为:圆形桩与矩形桩。抗滑桩分析中,圆形桩可等效代换为内接正方形桩,故本研究以矩形桩作为研究对象,既能简化计算,又不失研究结果的一般性;
(4) 桩侧土拱承受来自拱间土体的径向荷载。鉴于桩侧土拱拱轴线f1 (x)为径向荷载下的合理拱轴线,因而假定:q1 (x)为均布径向荷载q1,f1为圆弧线,见图 2;
|
| 图 2 桩侧土拱 Fig. 2 Soil arching on lateral side of pile |
| |
(5) 桩后土拱不仅承受来自桩后坡体的均布推力,还承受拱间土体的径向土抗力,见图 3。
|
| 图 3 桩后土拱 Fig. 3 Soil arching on back of pile |
| |
图 1中,p为均布推力; a为抗滑桩桩侧宽度; b为抗滑桩正面宽度; 2l为抗滑桩桩间净距。
图 2与图 3中, f1 (x)和f2 (x)分别为桩侧土拱及桩后土拱拱轴线;q1为拱间土体传递给桩侧土拱的荷载;q2 (x)为拱间土体对桩后土拱的抗力,二者荷载方向均垂直于各自拱轴线;X1和Y1分别为桩侧土拱拱脚对土拱的水平力及竖向力;X2及Y2分别为桩后土拱拱脚对土拱的水平力及竖向力。
2 双土拱模型承载机理及合理桩间距基于Mohr-Coulomb破坏准则及极限平衡理论,本研究拟分析桩侧及桩后土拱联合作用的极限承载力。
2.1 桩侧土拱极限承载力桩侧土拱拱脚处受力分析如图 4所示。
|
| 图 4 桩侧土拱拱脚示意图 Fig. 4 Schematic diagram of arch springing of soil arching on lateral side of pile |
| |
其中桩土界面AB为破坏面,面AC为拱脚截面,面DE为跨中截面,弧AD与弧BE分别为两个以O为圆心的同心圆的圆弧段(AB≠DE)。
AH长为l,GI为拱轴线,考虑拱轴线跨径时可忽略一小段距离FG的影响[16],取拱轴线跨径为2l。
FN1为拱脚截面处拱轴力;XN1为拱脚截面处拱轴力水平分量;YN1为拱脚截面处拱轴力竖向分量。
α1为破坏面AB与拱脚界面AC的夹角,同时也是拱脚处拱轴线切线与水平方向夹角。
由图 4中几何关系可知:
弧AD对应的半径AO长为:
|
(1) |
弧BC对应的半径BO长为:
|
(2) |
拱轴线半径r1为:
|
(3) |
鉴于桩侧土拱沿跨中截面具有对称性,故取半拱结构建立坐标系并分析其受力特性,见图 5。
|
| 图 5 桩侧土拱半拱结构受力分析 Fig. 5 Force analysis of semi-arch structure of soil arching on lateral side of pile |
| |
|
(4) |
|
(5) |
式中,θ1 (x)为桩侧土拱拱轴线f1 (x)在x处切线的倾斜角;N1为桩侧土拱拱顶处拱轴力。
考虑到径向均布荷载下圆形拱的受力特性,桩侧土拱任意处拱轴力应满足:
|
(6) |
根据Mohr-Coulomb破坏准则,拱脚截面AC应满足:
|
(7) |
式中,φ1为抗滑桩桩侧与滑坡土体间的摩擦角,桩侧为岩石或粗粒土时取φ1=φ/2,为细粒土时取φ1=φ/2或φ1=2φ/3;φ为土体内摩擦角;c1为桩土间黏聚力,可取为c1=ctan φ1/tan φ[17];c为土体黏聚力。
根据极限平衡理论,大主应力作用面与破坏面的夹角为α1=45°+φ1/2[18],拱脚处应满足:
|
(8) |
联立式(6)~ (8)可得桩侧土拱极限承载力:
|
(9) |
如图 6所示,考虑静力平衡条件,拱间土体应满足平衡方程:
|
(10) |
|
| 图 6 拱间土体 Fig. 6 Soil between soil archings |
| |
式中,θ2 (x)为桩后土拱拱轴线f2 (x)在x处切线的倾斜角。
将式(5)、(6)及式(8)代入式(10)可得:
|
(11) |
桩后土拱拱脚处受力分析如图 7所示。
|
| 图 7 桩后土拱三角受压区 Fig. 7 Triangular compressive region of soil arching on back of pile |
| |
桩后形成三角受压区AJK,其中面AK为拱脚截面,点M为拱轴线与拱脚截面交点。
FN2为拱脚截面处拱轴力;XN2为拱脚截面处拱轴力水平分量;YN2为拱脚截面处拱轴力竖向分量。
θ为拱脚截面AK与面AJ的夹角。
由图 7中几何关系可知:
土拱厚度为t2=b/2cos θ;
桩后土拱起始倾斜角为α2=90°-θ。
桩后土拱不仅承受来自桩后坡体的均布推力,还承受拱间土体的径向土抗力,其受力特性相较一般土拱更为复杂,故在此先讨论桩后土拱拱轴力变化规律。
鉴于桩后土拱沿跨中截面具有对称性,故取半拱结构建立坐标系并分析其受力特性,见图 8。
|
(12) |
|
(13) |
|
| 图 8 桩后土拱半拱结构受力分析 Fig. 8 Force analysis sketch for of semi-arch structure of soil arching on back of pile |
| |
式中,N2 (x)为桩后土拱在x处的拱轴力。
将式(12)、(13)分别对x求导可得:
|
(14) |
|
(15) |
联立式(14)、(15)可得:
|
(16) |
整理得:
|
(17) |
将
|
(18) |
由式(18)可知,N2 (x)随x的增大而减小,即拱轴力在拱脚截面处达到最大,在跨中截面处达到最小,故下文以拱脚截面强度为控制条件来确定合理桩间距。
令式(12)~ (13)中x=0可得:
|
(19) |
|
(20) |
将式(11)代入式(20)可得:
|
(21) |
式(21)中各参数均为标量。文献[13]通过FLAC3D得出的联合拱极限承载力结论与式(21)相同。
根据Mohr-Coulomb破坏准则,可知:
|
(22) |
式中,σ1为大主应力;σ3为小主应力。
拱脚截面AK处应满足σ3=0,即:
|
(23) |
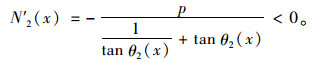
由极限平衡理论可得:θ=45°+φ/2,桩后土拱起始倾斜角α2=45°-φ/2,拱脚处应满足:
|
(24) |
联立式(23)及(24)可得:
|
(25) |
|
(26) |
联立式(9)、(21)及(26),可得考虑桩侧及桩后土拱联合作用的极限承载力p:
|
(27) |
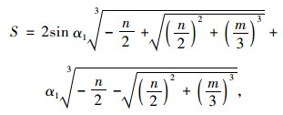
借助Cardan公式,通过式(27)及式(1)可反算出桩间净距S与均布推力p的关系式:
|
(28) |
式中, 





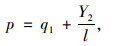
式(28)中所用到的基本参数包括边坡土体性质(内摩擦角φ与黏聚力c)、桩截面尺寸(桩侧宽度a与正面宽度b)及滑坡推力p等,均可在工程中通过实测或计算得出,其余参数(如α1及θ等)可通过已知参数求解。
因而考虑桩侧及桩后土拱联合作用的抗滑桩合理桩间距L的表达式为:
|
(29) |
为说明本研究合理桩间距计算公式的合理性,以文献[9]提供的工程实例进行验证。紫阳滑坡位于湖北省紫阳县城汉江北岸,通过室内试验得到的接触面强度指标如下:土体黏聚力c为90~150 kPa(取130 kPa)取,土体内摩擦角φ为13°~15°(取15°),实际工程中拟定抗滑桩桩侧宽度a=3 m,抗滑桩正面宽度b=2 m,桩身受荷段长度h1=10.5 m。经用传递系数法算得桩后滑坡推力E=1 076.6 kN/m。
首先,计算设计桩位处滑坡推力水平分量为1 076.6×cos 20°=1 011.7 kPa;然后,取滑坡推力沿桩长方向的分布形式为三角形分布[19](见图 9),计算作用于抗滑桩悬臂根处单位高度土拱上的坡体均布推力p=192.7 kPa;最后,将相关参数代入式(28)中,并取安全系数为1.5[17],则可得具有一定安全储备桩间净距S=5.06 m,实际工程中采用5 m的桩间距,工程完工后坡体稳定状况良好,说明本研究计算方法是合理的。
|
| 图 9 滑坡推力分布形式(沿桩长方向) Fig. 9 Distribution of landslide thrust along pile length |
| |
同时,表 1对比了以往相关计算方法的桩间净距计算结果。
由表 1可以看出:
不同计算方法确定的桩间净距相差较大,从2.45~10.83 m不等;
单一考虑桩侧土拱或桩后土拱得到的桩间净距计算结果大多偏于保守;
造成以上现象的原因分别为:
不同计算方法采用的土拱计算模型及土拱极限破坏的控制条件有所不同;
考虑桩侧土拱或桩后土拱单独作用时,可能难以充分利用土体自身强度,故计算结果偏于保守;
文献[3]假定滑坡推力以正压力形式全部转化为侧摩阻力,未能考虑土拱强度控制条件,而文献[15]假定桩侧土拱及桩后土拱联合作用时拱厚为桩侧实际拱厚与桩后有效拱厚之和,但在计算桩间净距时仍将其当作桩侧土拱处理,未能考虑桩土间摩擦角及黏聚力与土体内摩擦角及黏聚力的区别,因而可能存在计算结果偏大的现象。
综上所述,结合实际工程中5 m的桩间净距可知,本研究算法相对更接近工程实际。
4 参数分析为进一步说明本研究计算方法确定的桩间距随土体剪切强度指标(黏聚力c、内摩擦角φ)、桩身截面尺寸(桩侧宽度a、正面宽度b)及均布推力p的变化规律,仍以文献[9]提供的紫阳滑坡为例进行分析。桩间距与各参数的关系如图 10所示。
|
| 图 10 桩间距与各参数关系 Fig. 10 Relationship between pile spacing and parameters |
| |
由图 10可知:
(1) 桩间距随土体黏聚力c的增大近似呈线性增大,桩间距随土体内摩擦角φ的增大呈非线性增大。这种曲线变化特征说明:土体抗剪强度参数对桩间距有影响,且桩间距受内摩擦角的影响比黏聚力更为复杂。究其原因:①内摩擦角φ的变化影响φ1及c1的取值;②由式(28)可知,桩间净距S与内摩擦角φ的关系并非线性相关,而是与其三角函数相关。
(2) 桩间距随抗滑桩侧面宽度与正面宽度的增大均近似呈线性增大,其中桩间距随正面宽度增大的幅度较大,究其原因:①桩侧土拱及桩后土拱联合作用时,桩后土拱占主导地位[13];②计算桩间距时,还需在桩间净距S的基础上加一个正面宽度b。
(3) 随着均布推力的增大,桩间净距的变化呈非线性减小的特征。这种曲线变化特征说明:桩间距L的减小对桩侧土拱与桩后土拱联合作用极限承载力的影响极为明显。
桩间距与滑坡推力分布形式的关系如表 2所示。
| 分布形式 | 矩形 | 抛物线 | 三角形 |
| 桩间距/m | 10.3 | 6.98 | 5.06 |
由表 2可知,3种常见的滑坡推力分布形式下的合理桩间距:矩形分布最大,三角形分布最小,抛物线分布介于二者之间。由此可知,滑坡推力沿桩长方向的分布形式也会影响合理桩间距。其中,若实际工程中,滑坡推力的分布形式尚未明确,将其考虑为三角形分布偏为安全。
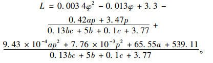
此外,鉴于式(28)的计算较为繁琐,故本研究基于桩间距的参数分析(即图 10),综合考虑各参数得出较为简化的桩间距拟合公式:
|
(30) |
为获得抗滑桩合理桩间距计算公式,本研究对边坡工程中抗滑桩桩侧土拱及桩后土拱的联合作用进行了研究,得出如下结论:
(1) 在现有理论研究及工程实际的基础上,假定拱轴线线型与拱间土体的荷载传递形式,建立了桩侧及桩后土拱联合作用的双土拱简化计算模型。
(2) 基于Mohr-Coulomb破坏准则及极限平衡理论,以静力平衡与拱脚处截面强度为控制条件,推导出考虑桩侧及桩后土拱联合作用的抗滑桩合理桩间距的计算公式。
(3) 对比某工程实例,验证了本研究计算公式的合理性;探讨各参数对桩间距计算结果的影响,得出了一些定性的结论,并综合考虑各参数拟合出合理桩间距的简化公式,可为边坡抗滑桩支挡工程提供参考。
| [1] |
郑颖人, 雷文杰, 赵尚毅, 等. 抗滑桩设计中的两个问题[J]. 公路交通科技, 2005, 22(增1): 45-51. ZHENG Ying-ren, LEI Wen-jie, ZHAO Shang-yi, et al. Two Problems in Design Methods of Anti-slide Piles[J]. Journal of Highway and Transportation Research and Development, 2005, 22(S1): 45-51. |
| [2] |
李梅, 陈光海, 宋华. 滑带力学特征及厚度对抗滑桩滑坡推力分布的影响[J]. 公路交通科技, 2014, 31(11): 47-50, 65. LI Mei, CHEN Guang-hai, SONG Hua. Effect of Mechanical Characteristics and Thickness of Siding Zone on Distribution of Landslide Thrust on Anti-slide Pile[J]. Journal of Highway and Transportation Research and Development, 2014, 31(11): 47-50, 65. |
| [3] |
王成华, 陈永波, 林立相. 抗滑桩间土拱力学特性与最大桩间距分析[J]. 山地学报, 2001, 19(6): 556-559. WANG Cheng-hua, CHEN Yong-bo, LIN Li-xiang. Soil Arch Mechanical Character and Suitable Space between One Another Anti-sliding Pile[J]. Journal of Mountain Science, 2001, 19(6): 556-559. |
| [4] |
王乾坤. 抗滑桩的桩间土拱和临界间距的探讨[J]. 武汉理工大学学报, 2005, 27(8): 64-67. WANG Qian-kun. Discussion on the Soil Arching Effect and the Critical Spacing Between Adjacent Anti-slide Piles[J]. Journal of Wuhan University of Technology, 2005, 27(8): 64-67. |
| [5] |
赵明华, 陈炳初, 刘建华. 考虑土拱效应的抗滑桩合理桩间距分析[J]. 中南公路工程, 2006, 31(2): 1-3, 28. ZHAO Ming-hua, CHEN Bing-chu, LIU Jian-hua. Analysis of the Spacing between Anti-slide Piles Considering Soil-arch Effect[J]. Central South Highway Engineering, 2006, 31(2): 1-3, 28. |
| [6] |
邓先华, 简文星. 基于摩擦拱的抗滑桩间距计算模型研究[J]. 路基工程, 2014(3): 31-36. DENG Xian-hua, JIAN Wen-xing. Study on Model Calculating Spacing of Anti-slide Piles Based on Friction Arch[J]. Subgrade Engineering, 2014(3): 31-36. |
| [7] |
周德培, 肖世国, 夏雄. 边坡工程中抗滑桩合理桩间距的探讨[J]. 岩土工程学报, 2004, 26(1): 132-135. ZHOU De-pei, XIAO Shi-guo, XIA Xiong. Discussion on Rational Spacing between Adjacent Anti-slide Piles in Some Cutting Slope Projects[J]. Chinese Journal of Geotechnical Engineering, 2004, 26(1): 132-135. |
| [8] |
周应华, 周德培, 冯君. 推力桩桩间土拱几何力学特性及桩间距的确定[J]. 岩土力学, 2006, 27(3): 455-457, 462. ZHOU Ying-hua, ZHOU De-pei, FENG Jun. Geometri-cally Mechanical Characters of Soil Arch between Two Adjacent Laterally Loaded Piles and Determination of Suitable Pile Spacing[J]. Rock and Soil Mechanics, 2006, 27(3): 455-457, 462. |
| [9] |
赵明华, 廖彬彬, 刘思思. 基于拱效应的边坡抗滑桩桩间距计算[J]. 岩土力学, 2010, 31(4): 1211-1216. ZHAO Ming-hua, LIAO Bin-bin, LIU Si-si. Calculation of Anti-slide Piles Spacing Based on Soil Arching Effect[J]. Rock and Soil Mechanics, 2010, 31(4): 1211-1216. |
| [10] |
梁文文, 王成. 抗滑桩的桩间土拱效应问题研究[J]. 地下空间与工程学报, 2010(增2): 1632-1635. LIANG Wen-wen, WANG Cheng. Study of Soil Arching Effect between the Anti-slide Piles[J]. Chinese Journal of Underground Space and Engineering, 2010(S2): 1632-1635. |
| [11] |
杨明辉, 汪罗成, 赵明华. 考虑土拱效应的双排抗滑桩桩侧土压力计算[J]. 公路交通科技, 2011, 28(10): 12-17, 39. YANG Ming-hui, WANG Luo-cheng, ZHAO Ming-hua. Calculation of Soil Pressure against Double-row Anti-slide Piles Considering Soil Arching Effect[J]. Journal of Highway and Transportation Research and Development, 2011, 28(10): 12-17, 39. |
| [12] |
肖世国, 程富强. 再论悬臂式抗滑桩合理桩间距的计算方法[J]. 岩土力学, 2015, 36(1): 111-116. XIAO Shi-guo, CHENG Fu-qiang. Further Discussion on Calculation Method of Rational Spacing between Two Adjacent Cantilever Piles for Stabilizing Slope[J]. Rock and Soil Mechanics, 2015, 36(1): 111-116. |
| [13] |
林治平, 刘祚秋, 商秋婷. 抗滑桩结构土拱的分拆与联合研究[J]. 岩土力学, 2012, 33(10): 3109-3114. LIN Zhi-ping, LIU Zuo-qiu, SHANG Qiu-ting. Research on Soil Arch of Anti-slide Pile Structure with Methods of Separation and Combination[J]. Rock and Soil Mechanics, 2012, 33(10): 3109-3114. |
| [14] |
黄新文. 桩后土拱与桩间土拱联合作用探讨[J]. 四川建筑, 2006, 26(6): 76-77, 79. HUANG Xin-wen. Discussion on Combined Soil Arching Effect between Lateral Side and Back[J]. Sichuan Architecture, 2006, 26(6): 76-77, 79. |
| [15] |
周文权, 冷伍明, 阮波, 等. 考虑桩土相互作用的抗滑桩临界桩间距研究[J]. 铁道科学与工程学报, 2014(3): 83-87. ZHOU Wen-quan, LENG Wu-ming, RUAN Bo, et al. Research of Critical Pile Spacing of Anti-slide Pile Considering the Interaction of Pile and Soil[J]. Journal of Railway Science and Engineering, 2014(3): 83-87. |
| [16] |
邱子义, 韩同春, 豆红强, 等. 桩后及桩侧土拱共同作用的抗滑桩桩间距分析[J]. 浙江大学学报:工学版, 2016, 50(3): 559-565. QIU Zi-yi, HAN Tong-chun, DOU Hong-qiang, et al. Analysis of Spacing between Anti-slide Piles Considering Soil Arch on Lateral Sides and Back[J]. Journal of Zhejiang University:Engineering Science Edition, 2016, 50(3): 559-565. |
| [17] |
胡晓军, 王建国. 边坡加固工程中抗滑桩间距的确定[J]. 河海大学学报:自然科学版, 2007, 35(3): 330-333. HU Xiao-jun, WANG Jian-guo. Determination of Anti-slide Pile Spacing in Side Slope Consolidation Projects[J]. Journal of Hohai University:Natural Science Edition, 2007, 35(3): 330-333. |
| [18] |
杨雪强, 吉小明, 张新涛. 抗滑桩桩间土拱效应及其土拱模式分析[J]. 中国公路学报, 2014, 27(1): 30-37. YANG Xue-qiang, JI Xiao-ming, ZHANG Xin-tao. Analysis of Soil Arching Effect between Anti-slide Piles and Different Arch Body Modes[J]. China Journal of Highway and Transport, 2014, 27(1): 30-37. |
| [19] |
戴自航. 抗滑桩滑坡推力和桩前滑体抗力分布规律的研究[J]. 岩石力学与工程学报, 2002, 21(4): 517-521. DAI Zi-hang. Study on Distribution Laws of Landslide-thrust and Resistance of Sliding Mass Acting on Antislide Piles[J]. Chinese Journal of Rock Mechanics and Engineering, 2002, 21(4): 517-521. |
2019, Vol. 36
