扩展功能
文章信息
- 吴昊, 杨晓华, 温世儒
- WU Hao, YANG Xiao-hua, WEN Shi-ru
- 岩溶区富水破碎带探地雷达频谱特征研究
- Study on Spectrum Characteristics of GPR for Water-rich Crushed Zone in Karstic Area
- 公路交通科技, 2018, 35(12): 90-94, 103
- Journal of Highway and Transportation Research and Denelopment, 2018, 35(12): 90-94, 103
- 10.3969/j.issn.1002-0268.2018.12.013
-
文章历史
- 收稿日期: 2018-07-02
2. 江西理工大学, 江西 赣州 341000
2. Jiangxi University of Science And Technology, Ganzhou Jiangxi 341000, China
近年来,交通网发展迅速,公路隧道的数量逐渐增多。隧道在施工过程中由于受到地质条件、施工条件以及施工控制等因素的影响[1],因此隧道在建设过程中会存在一定的风险。安全只是相对的,风险却是一定存在的[2]。为了保证隧道施工中的安全,超前地质预报受到了广泛的关注,已经成为隧道施工中地质工作的主要任务[3-4]。
探地雷达法(GPR),由于其具有快速性、便捷性、时效性等特点,因此在隧道超前地质预报实际工程中被广泛应用。其原理与对空雷达十分相似,都属于高频宽带时间域脉冲电磁波勘探技术[5]。
探地雷达对水具有良好的敏感性,已经成功应用于大型地下水勘探[7-9]。当前的研究成果主要是对溶岩溶区富水破碎带反射波形的定性特征的分析,缺乏其振幅及频率大小分布的定量性特征研究。本文依托六河高速公路瑶寨隧道工程,在总结前人[10-15]的研究与实践应用的基础上,结合实际情况,对其进行探测分析,研究并总结出其定量分布特征。研究结果的成功应用有效地为施工提供了指导,保证了隧道的施工安全,取得了较为理想的效果。
1 探地雷达探测原理探地雷达是雷达发射天线向目标地层发射宽频电磁波,通过接收天线接收反射波并对其进行分析的一种物理探测方法。在目标地层中传播时,若遇到存在电性差异的目标体,电磁波将发生反射。对反射波的旅行时间、波相等信息加以处理及分析,则可以判断目标体。电磁波在介质中传播时,其传播路径、电场强度和波形等都将随地层的电性质、几何形态的改变而发生变化[16]。其工作原理如图 1所示。
|
| 图 1 探地雷达探测原理 Fig. 1 Principle of GPR detection |
| |
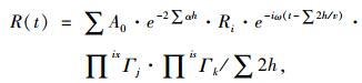
雷达天线向地层发射的是一系列电磁子波而不是单次脉冲,不同反射路径反射回的反射信号R(t)被接受天线获取,通反射系数、介质损耗和折射系数等参数可以计算出R(t)。实际上R(t)是上面各种参数所形成的的褶积[17],即各层反射信号的叠加,R(t)如式(1)所示。
|
(1) |
式中, A0为子波初始幅值; e-2∑αh为传播路径衰减; e-iω(t-∑2h/v)为反射波相位; ∏ixΓ和∏isΓk分别为下行、上行的折射系数联乘。
显然,褶积效应导致雷达接收到的合成信号是具有不同频率、不同反射能量的信号叠加。当围岩破碎且含水量较大时,围岩介质的介电常数差就越大,导致反射能量增大,这直接表现为强反射振幅现象。
同时,在电磁场的作用下,水会导致围岩介质的电导率显著增大,会引起反射波优势频率降低的现象[18]。这是因为电场电荷在高电导的介质中更容易做功而产生大量的电荷能量消耗,雷达更容易接受低频反射信号,而高频振荡电磁子波则更易被吸收。
强反射振幅和低频特点非常有利于探测围岩的含水情况,但对于“强”与“低”的判断不具有定量性描述而只是定性描述,这易使得在判读时存在“个体经验性”和“个体主观性”的缺点,这是目前所尚存的不足之处。
2 富水破碎带频谱特征以广西六河高速公路瑶寨隧道为依托,进行了大量的探测,从振幅与频率的最值及振幅一定取值范围的比例特征出发,对探测数据进行分析。
2.1 工程概况瑶寨隧道全长2.7 km,是广西六河高速公路全线最长最复杂的隧道,也是六河高速公路最重要的控制性工程之一。
隧址区内岩溶发育,有众多裂隙发育带,围岩破碎带。隧道上部有数处沟谷地形,地表水常在沟谷汇合成地表径流,隧道所在地四季雨量丰富,丰富的地表水与发育的岩溶通道形成了天然的水动力场。显然,在隧道施工时易遇到塌方、岩溶等风险。因此,对其不良地质体进行超前预报识别是一项重要的内容。
根据施工现场实际情况,到目前为止累计探测期数为85次,其中经开挖证实为富水破碎带的探测次数为11次。
2.2 预报方式本次预报的方案如表 1所示。
| 设备名称 | 设备型号 | 产地/厂家 | 主要参数 | 布点方式 |
| 探地雷达 | SIR-3000 | 美国GSSI公司 | 天线中心频率100 MHz | 多点测试(大于20个测点) 测试间距20~50 cm 探测深度20~35 m |
|
| 图 2 测线及测点布置图 Fig. 2 Arrangement of measuring lines and points |
| |
天线发射率为100 kHz, 介电常数为7.25,时间窗口为600 ns, 16 bit存储格式, 5个增益点数,扫描点采样率为60。探测前应停止掌子面及边墙的锚杆钻孔作业、焊接作业,并将台车等大型机械干扰源搬离掌子面,以减小外界因素对雷达造成的干扰
对原始数据进行判读处理时,通过背景去除、滤波、反褶积等处理步骤,去除、压制干扰信号以突出有效信号,提高信噪比。
2.3 频谱特征振幅的最值取值能将“强反射”的概念在数值上给定变化区间而达到量化的目的。同时,对于电磁子波反射频率而言,反射频率的最小值更能反映高频的特征,而反射频率的最大值则更能反映低频的特征。因此,以该11期原始数据为基础,分析扫描点振幅的最值取值和频率的最大值,分析结果分别如图 3、图 4所示。
|
| 图 3 振幅最大最小值 Fig. 3 Maximal and minimal amplitudes |
| |
|
| 图 4 频率的最大值 Fig. 4 Maximal frequency |
| |
振幅最值的取值良好地反映了振幅所处的整体区间,但无法反映具体取值范围的扫描点比例特征,与此相比,振幅最值不同分布范围的扫描点比例特征则能将强反射特征进一步细化,从而更能体现反射的强弱特征,因而分别对每期扫描振幅最小值大于0.25、0.3、0.4和最大值大于0.8(即达满幅值的80%)的扫描点所占的比例进行分析,其分析结果如表 1所示。
图 3得出每期全部扫描点振幅的最大值和最小值。从图中可以看出,在所有的探测扫描点中,振幅最小值在区间(0.17, 0.32)之间变动,最大值在区间(0.92, 0.98)之间变动,振幅最大值逼近于满幅值1.0,同时可以求出振幅最小值和最大值的平均值分别为0.25和0.96,即振幅最小值和最大值基本在0.25和0.96左右波动,表现出极其显著的强反射,该特征与线测、点测和wiggle模式下的强反射定性特征是一致的。
雷达天线的中心频率为100 MHz,从图 4可知各期预报扫描点的最大反射频率均大于天线中心频率,但最大值不超过110 MHz,反射频率在(100, 110)之间变化,变化差仅达10 MHz,同时可求出反射频率最大值的平均值为105 MHz。这说明,对于富水破碎带而言,雷达反射频率的最大值在天线中心频率的正向小幅波动,这使富水破碎带低频特征的最大反射频率有了明确的数值量化范围。
从表 2可以看出,反射振幅最小值大于0.25的扫描点比例远大于其他两项的比例,约为50%,因此,反射振幅最小值小于0.25的扫描点比例也大约为50%,这同样说明对于富水破碎带而言,扫描点反射振幅的最小值基本在0.25左右变化,同时较难达到0.4;反射振幅最大值达到0.8的扫描点比例高达约95%,这直接说明了反射振幅的强烈。
| 测试期数 | 分布范围 | ||||
| 最小值 | 最大值 | ||||
| 大于0.25 | 大于0.3 | 大于0.4 | 大于0.8 | ||
| 1 | 62 | 37 | 10 | 96 | |
| 2 | 100 | 49 | 27 | 95 | |
| 3 | 100 | 53 | 21 | 97 | |
| 4 | 58 | 31 | 11 | 94 | |
| 5 | 53 | 33 | 10 | 96 | |
| 6 | 49 | 28 | 12 | 98 | |
| 7 | 100 | 100 | 13 | 93 | |
| 8 | 45 | 23 | 15 | 97 | |
| 9 | 100 | 100 | 12 | 95 | |
| 10 | 100 | 100 | 19 | 98 | |
| 11 | 100 | 100 | 22 | 94 | |
在探地雷达预报后处理判读工作中,定性的判读方式对于判读人员的经验具有较大的依赖性,容易造成判读结果的多解性甚至误判,以上分析直观、详细地描述了富水破碎带的频谱特征,这为探地雷达判读提供了新的参考方法。
3 应用实例采用相同的预报方式,在对瑶寨隧道进行第88次预报探测(即YK46+810~YK46+835段)时,对其原始数据的频谱特征进行了分析,发现呈强反射低频特征。在全部扫描点中,反射振幅的最小值为0.22,最大值为0.98,其中振幅最小值大于0.25,0.3和0.4的扫描点的比例分别为51%,22%和11%,反射振幅最大值大于0.8的扫描点比例达98%,同时反射频率的最大值为102 MHz。
综合分析隧道掌子面的围岩地质情况及其频谱特征,认为该段围岩破碎,节理裂隙发育,围岩介质的电性差异变化剧烈,且本段范围内围岩含水量较大。随后的开挖施工对预报结论进行了验证,如表 3所示。
| 段落位置 | 探地雷达探测结论 | 实际开挖描述 |
| YK46+810~YK46+835 | 本段围岩破碎,节理裂隙发育,介质的电性差异变化剧烈,同时全段范围内围岩含水量较大。 | 本段围岩破碎,节理、裂隙发育,为强~中风化灰岩,节理裂隙由潮湿夹泥所填充,局部围岩全风化。其中,在12.5m以后,围岩呈碎裂状结构,软弱夹层发育,围岩潮湿,局部有小股出水(如图5中的1, 2, 3号标记处),围岩稳定性差。 |
4 结论
本研究在现场实测数据统计分析的基础上,对岩溶区富水破碎带的频谱特征进行了量化分析,将分析结果应用于实际判读,判读结论与工程实际较为吻合,为隧道施工提供了较好的指导,结论如下:
(1) 反射振幅最小值和最大值的变化区间分别为(0.17, 0.32)和(0.92, 0.98),最小值和最大值基本在0.25和0.96左右波动,振幅最大值逼近于满幅值1.0,表现出极其显著的强反射;
(2) 扫描点的最大反射频率在区间(100, 110)之间变化,其平均值为105 MHz,在天线中心频率的正向小幅波动;
(3) 扫描点反射振幅的最小值较难达到0.4,反射振幅最大值达到0.8的扫描点比例高达约95%,体现了反射振幅的强烈性。
| [1] |
王华牢, 李宁, 王浩. 隧道施工塌方风险评估与控制措施[J]. 交通运输工程学报, 2010, 10(4): 34-38. WANG Hua-lao, LI Ning, WANG Hao. Risk Assessment and Control Measures of Collapse for Tunnel Construction[J]. Journal of Traffic and Transportation Engineering, 2010, 10(4): 34-38. |
| [2] |
冯清海, 袁万城. 基于IDA-MC的桥梁地震风险概率评估方法[J]. 长安大学学报:自然科学版, 2010, 30(3): 60-65. FENG Qing-hai, YUAN Wan-cheng. Method and Application of Seismic Risk Probability Analysis for Large-long Span Bridge Based on IDA-MC[J]. Journal of Chang'an University:Natural Science Edition, 2010, 30(3): 60-65. |
| [3] |
张志龙, 王兰生, 王跃飞. 公路隧道施工超前地质预报技术方法研究现状综述[J]. 公路交通科技, 2005, 22(9): 126-128. ZHANG Zhi-long, WANG Lan-sheng, WANG Yue-fei. Present Research Situation of Highway Tunnel Construction Advanced Geological Prediction Technique[J]. Journal of Highway and Transportation Research and Development, 2005, 22(9): 126-128. |
| [4] |
刘志刚, 赵勇. 隧道隧洞施工地质技术[M]. 北京: 中国铁道出版社, 2001. LIU Zhi-gang, ZHAO Yong. Tunnel Construction Geological Technology[M]. Beijing: China Railway Publishing House, 2001. |
| [5] |
王通, 张虎元. 高频电磁波在媒质中的反射波特征分析[J]. 工程勘察, 2011(2): 85-89. WANG Tong, ZHANG Hu-yuan. Analysis on Characteristics of Reflected Waves in Different Media for HF-electromagnetic Waves[J]. Geotechnical Investigation & Surveying, 2011(2): 85-89. |
| [6] |
吴俊, 毛海和, 应松, 等. 地质雷达在公路隧道短期地质超前预报中的应用[J]. 岩土力学, 2003, 24(增1): 154-157. WU Jun, MAO Hai-he, YING Song, et al. Application of Ground Penetrating Radar to Short Term Advance Geological Forecast in Highway Tunnel[J]. Rock and Soil Mechanics, 2003, 24(S1): 154-157. |
| [7] |
李术才, 蒋翊国, 张庆松, 等. 高风险岩溶地区隧道施工地质灾害综合预报预警关键技术研究[J]. 岩石力学与工程学报, 2008, 27(7): 1297-1307. LI Shu-cai, JIANG Yi-guo, ZHANG Qing-song. Key Technology Study on Comprehensive Prediction and Early-warning of Geological Hazards during Tunnel Construction in High-risk Karst Areas[J]. Chinese Journal of Rock Mechanics and Engineering, 2008, 27(7): 1297-1307. |
| [8] |
肖兵, 周翔, 汤井田. 探地雷达技术及其应用和发展[J]. 物探与化探, 1996, 20(5): 378-382. XIAO Bing, ZHOU Xiang, TANG Jing-tian. Ground Penetrating Radar Technology and Its Application and Development[J]. Geophysical and Geochemical Exploration, 1996, 20(5): 378-382. |
| [9] |
白冰, 周健. 探地雷达测试技术发展概况及其应用现状[J]. 岩石力学与工程学报, 2001, 20(4): 527-531. BAI Bing, ZHOU Jian. Advances and Applications of Ground Penetrating Radar Measuring Technology[J]. Chinese Journal of Rock Mechanics and Engineering, 2001, 20(4): 527-531. |
| [10] |
马福建, 雷少刚, 杨赛. 土壤含水率与探地雷达信号属性的关系研究[J]. 土壤学报, 2014, 45(4): 809-815. MA Fu-jian, LEI Shao-gang, YANG Sai. Study on the Relationship between Soil Water Content and Ground Penetrating Radar Signal Attributes[J]. Chinese Journal of Soil Science, 2014, 45(4): 809-815. |
| [11] |
吴辉, 陈川. 地质雷达在引水隧道质量检测中的应用[J]. 工程勘察, 2013(3): 86-89. WU Hui, CHEN Chuan. Application of Geological Radar in the Quality Inspection of Water Tunnel[J]. Geotechnical Investigation & Surveying, 2013(3): 86-89. |
| [12] |
袁宗征. 地质雷达在岩溶隧道超前地质预报中的应用[J]. 勘察科学技术, 2018(2): 58-61. YUAN Zong-zheng. Application of Geological Radar on Advanced Geological Prediction for Karst Tunnel[J]. Site Investigation Science and Technology, 2018(2): 58-61. |
| [13] |
刘成禹, 余世为. 基于探地雷达单道信号处理的岩溶分析方法[J]. 岩土力学, 2016, 37(12): 3618-3626. LIU Cheng-yu, YU Shi-wei. Analysis Method of Karst Based on Single Channel Signal Processing by Ground Penetrating Radar[J]. Rock and Soil Mechanics, 2016, 37(12): 3618-3626. |
| [14] |
刘东坤, 巨能攀, 霍宇翔. 地质雷达在不同介质填充下的频谱差异分析[J]. 现代隧道技术, 2013, 50(5): 23-26. LIU Dong-kun, JU Neng-pan, HUO Yu-xiang. Analysis of the Spectrum Difference of Ground Penetrating Radar (GPR) for Different Media Fillings[J]. Modern Tunnelling Technology, 2013, 50(5): 23-26. |
| [15] |
李添翼. 超低频地质雷达在岩溶勘探中的应用研究[J]. 铁道工程学报, 2012, 31(3): 7-11. LI Tian-yi. Study on Study on Application of Ultra-low Frequency Ground Penetrating Radar in Karst Exploration[J]. Journal of Railway Engineering Society, 2012, 31(3): 7-11. |
| [16] |
石刚, 田养军, 王亚琼. 基于模糊分形脉冲反褶积的探地雷达信号处理[J]. 长安大学学报:自然科学版, 2012, 32(5): 79-84. SHI Gang, TIAN Yang-jun, WANG Ya-qiong. Signal Processing of Ground-penetrating Radar on the Principle of Deconvolution Based on Fuzzy Fractal Pulse[J]. Journal of Chang'an University:Natural Science Edition, 2012, 32(5): 79-84. |
| [17] |
温佐彪. 地质雷达在隧道超前地质预报中的波形特征探究[J]. 公路隧道, 2010(4): 50-52. WEN Zuo-biao. Study on Waveform Characteristics of Geological Radar in Advance Geological Prediction of Tunnels[J]. Highway Tunnel, 2010(4): 50-52. |
| [18] |
李为腾, 李术才, 蒋翊国, 等. 地质雷达在胶州湾海底隧道F4-5含水断层超前预报中的应用[J]. 山东大学学报:工学版, 2009, 39(4): 65-68. LI Wei-teng, LI Shu-cai, JIANG Yi-guo, et al. Application of Ground Penetration Radar to the Geological Forecast for Water-bearing Faults in the Jiaozhou Bay Subsea Tunnel Construction[J]. Journal of Shandong University:Engineering Science, 2009, 39(4): 65-68. |
2018, Vol. 35
