扩展功能
文章信息
- 张凡, 韩志玲, 陈艳艳, 李佳贤, 崔玮
- ZHANG Fan, HAN Zhi-ling, CHEN Yan-yan, LI JIa-xian, CUI Wei
- 降雨天气下公路出行者出行方式转移模型
- A Model of Highway Travelers' Travel Mode Shift under Rainy Weather
- 公路交通科技, 2018, 35(6): 105-111, 130
- Journal of Highway and Transportation Research and Denelopment, 2018, 35(6): 105-111, 130
- 10.3969/j.issn.1002-0268.2018.06.015
-
文章历史
- 收稿日期: 2017-09-20
2. 北京工业大学 北京市交通工程重点实验室, 北京 100124
2. Beijing Key Laboratory of Traffic Engineering, Beijing University of Technology, Beijing 100124, China
出行交通方式选择模型的研究是交通规划领域中的主要研究方向之一。既有研究中,个体出行方式选择方面大部分研究着眼于城市交通系统内的出行方式的选择,所考虑的影响出行方式选择的因素侧重点各不相同。出行方式选择模型中Logit模型或Logit模型延伸模型等应用较多。王雯静和干宏程[1]以小汽车与轨道交通出行方式选择行为为研究对象建立了二项Logit模型。刘炳恩等[2]以城市内部5种出行方式为研究对象,建立了交通方式选择多项Logit模型。
Rowangould和Tayarani[3]通过标准多项Logistic回归模型,研究了自行车设施完善情况对出行方式选择结果的影响。Domarchi等[4]为了潜在心理因素对出行方式选择的影响,在多项Logit模型中引入代表态度因素的哑变量实现。万霞等[5]从居民出行方式选择机理分析入手,确立出行方式选择动态影响因素,在多项Logit模型的基础上建立了方式选择动态模型。栾琨等[6]构造通勤者上班出行方式选择和出行链类型选择相互影响的Nested Logit模型。
Muhammad Sabir等[7]利用荷兰中央统计局的交通调查数据主要分析了不同天气情况(风速、温度、是否有雨)对使用小汽车到海边旅游的概率,同时引入非天气因素(收入、到海边的距离、是否是周末、就业情况、性别、年龄)构建了几个巢式Logit模型(NLM),该NLM相当于一个模式选择的多项Logit模型和一个是否去海滩的标准logit模型。Frank等[8]通过构建离散选择模型即巢式Logit模型分析了人口因素、出行时间、费用、城市形态对出行方式选择和出行链特征的影响。Rolf Moeckel等[9]构建了巢式多项Logit方式选择模型,该模型对出行费用、距离、车站可达性、服务频率、搭载的乘客数、停车费用敏感。
Paulssen等[10]探究了价值观对交通方式选择行为的影响,并建立了含潜变量的分层混合logit模型。Cherchi等[11]亦利用混合Logit模型构建了考虑个体观测时段相关性的出行方式选择模型。吴麟麟等[12]将忠诚度变量作为影响因素引入模型的可观测效用部分,建立出行者城际出行方式选择Mixed Logit模型。
Lars Böcker等[13]利用结构方程模型(SEM)探究了天气状况对交通方式选择、户外温度感知、情感旅游体验的影响。陈坚等[14]构建了潜变量和显变量共同作用的SEM-Logit整合模型。Ma等[15]提出一种改进的贝叶斯网络,并用在通勤出行者出行方式选择模型构建中。
比例变量是我们日常生活中经常遇到的一个量化评估变量,也是交通领域经常分析研究的一个指标。例如分析人们日常出行中所选择的出行方式比例,花费在出行、工作和外出非工作上的时间比例等。此外,比例变量还可从概率的角度来理解。Logistic回归是目前应用最广泛的针对因变量为概率或比例问题的建模方法[16]。因此本研究基于SP调查获取的指标采用多项Logistic回归的方法,分析城市间使用公路的长距离出行中不同降雨天气下商务计划出行和休闲计划出行中公众出行方式转移模型(TMSM),并分析其统计学上显著影响因素。考虑到小雨天气对公众出行影响较小[17],故本研究仅考虑大雨和中雨天气对公众出行方式转移行为的影响。
1 多项Logistic回归模型多项Logistic回归是二项Logistic回归模型的扩展,分为有序多项Logistic模型和无序多项Logistic模型。由于所研究的出行方式的选择比例之间不存在递增或递减的序次关系,因此采用无序多项Logistic回归模型。假设因变量有m个类别,则因变量每一分类的条件概率为:
|
(1) |
式中,Pj为因变量y= j的概率;y为因变量;j为因变量取值;xi为分自变量(i=1…n);i为哑变量标号;αj,βij为待标定参数。
多项Logistic回归通过拟合一种称作广义Logit模型的方法来建模。首先选取某一类别为参照类,例如,如果以第1类为参照类,则α1和βi1等于0,参照类以及其他类别的条件概率分别为:
|
(2) |
|
(3) |
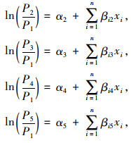
之后以每一分类与该参照类作比较。得到m-1个广义Logit模型。例如,文中的研究对象为降雨天气下公众出行方式选择行为,包括使用小汽车、使用高铁、使用客运班车、使用飞机、不出行共5类,分别以P1到P5表示。如果以使用小汽车作为参照类,则得到以下5个广义Logit模型:
|
并且有:
|
其中P1, P2, P3, P4, P5分别为降雨天气影响下公众出行选择小汽车、高铁、客运班车、飞机、不出行的概率;xi为影响居民出行选择的指标;αi和βij为模型的回归截距和回归系数,对于每个广义Logit模型,分别有一套不同的截距和系数。
2 变量设置利用京津冀区域高速公路服务区公众出行意愿调查数据,探讨大雨、中雨天气下,居民在商务计划出行和休闲计划中的出行方式转化关系以及影响因素。各出行计划下均有5种出行方式可供选择:使用小汽车、使用高铁、使用客运班车、使用飞机、不出行。
根据以上叙述,下面利用调查数据,应用前述MNL模型,并根据本项目建立多项Logistic回归模型。以出行方式选择结果的为因变量,自变量中时耗为连续变量用T表示,性别、年龄、职业、出行频次、驾龄为分类变量,将多分类变量转化为数个虚拟变量[18]。分类变量设置如表 1所示。
| 分类变量 | 哑变量(符号) |
| 性别 | 女(G);男(G0) |
| 年龄 | 20岁及以下(A1);21-40岁(A2);41-60岁(A3);60岁以上(A4) |
| 职业 | 其他(J1);学生(J2);自由职业(J3);企业单位人员(J4) |
| 出行频次 | 很少(TF1);偶尔(TF2);经常(TF3);频繁(TF4) |
| 驾龄 | 无驾照(DY1);3年及3年以内(DY2);3年以上(DY3) |
3 降雨天气对商务计划的出行方式选择的影响
对1 204个有效调查样本数据,利用软件SPSS19.0进行多项Logistic回归分析。对模型中是否所有自变量偏回归系数全为0进行似然比检验,大雨影响下商务计划出行方式转移模型中未引入自变量时-2倍对数似然值为2 396.206,引入自变量后减小至2 320.792,二者之差等于75.414,自由度为20,p < 0.001,表明至少有一个自变量的偏回归系数不为0,模型有意义。
中雨影响下商务计划出行方式转移模型中未引入自变量时-2倍对数似然值为2 475.007,引入自变量后减少至2 381.100,二者之差等于93.906,自由度为20,p < 0.001,表明至少有一个系数不为零,模型有意义。
商务出行计划在大雨、中雨天气影响下公众出行方式转移模型似然比检验结果如表 2所示。大雨、中雨天气下商务计划出行者的驾龄、出行频次对出行方式转移模型具有显著的影响,其他因素在统计意义上影响不显著。
| 效应 | 模型拟合标准 | 似然比检验 | ||||||
| 简化后的模型的 | -2倍对数似然值 | 卡方 | df | 显著水平 | ||||
| 大雨 | 中雨 | 大雨 | 中雨 | 大雨 | 中雨 | |||
| 截距 | 2 320.792 | 2 381.100 | 0.000 | 0.000 | 0 | — | — | |
| 驾龄 | 2 344.369 | 2 417.600 | 23.576 | 36.499 | 8 | 0.003 | 0.000 | |
| 出行频次 | 2 353.722 | 2 413.030 | 32.930 | 31.930 | 12 | 0.001 | 0.001 | |
以使用小汽车出行为参照水平,表 3、表 4分别为大雨、中雨影响下休闲计划出行方式转移模型参数标定结果。
| 商务计划出行遭遇大雨天气 | B | 标准误 | Wald | df | 显著水平 | Exp(B) | |
| 使用高铁出行 | I | 0.490 | 0.156 | 9.929 | 1 | 0.002 | — |
| DY1 | 0.213 | 0.263 | 0.657 | 1 | 0.418 | 1.238 | |
| DY2 | 0.254 | 0.239 | 1.129 | 1 | 0.288 | 1.289 | |
| DY3 | 0 | — | — | 0 | — | — | |
| TF1 | 0.532 | 0.310 | 2.951 | 1 | 0.086 | 1.702 | |
| TF2 | 0.702 | 0.214 | 10.726 | 1 | 0.001 | 2.017 | |
| TF3 | 0.455 | 0.202 | 5.074 | 1 | 0.024 | 1.577 | |
| TF4 | 0 | — | — | 0 | — | — | |
| 使用客运班车出行 | I | -2.464 | 0.412 | 35.745 | 1 | 0 | |
| DY1 | 1.602 | 0.387 | 17.092 | 1 | 0 | 4.962 | |
| DY2 | 0.623 | 0.448 | 1.935 | 1 | 0.164 | 1.864 | |
| DY3 | 0 | — | — | 0 | — | — | |
| TF1 | 1.482 | 0.553 | 7.176 | 1 | 0.007 | 4.402 | |
| TF2 | 0.964 | 0.485 | 3.945 | 1 | 0.047 | 2.622 | |
| TF3 | -0.160 | 0.557 | 0.083 | 1 | 0.774 | 0.852 | |
| TF4 | 0 | — | — | 0 | — | — | |
| 使用飞机出行 | I | -3.503 | 0.734 | 22.803 | 1 | 0 | — |
| DY1 | -0.724 | 1.108 | 0.427 | 1 | 0.514 | 0.485 | |
| DY2 | -0.936 | 1.097 | 0.729 | 1 | 0.393 | 0.392 | |
| DY3 | 0 | — | — | 0 | — | — | |
| TF1 | 0.739 | 1.295 | 0.326 | 1 | 0.568 | 2.094 | |
| TF2 | 1.434 | 0.849 | 2.855 | 1 | 0.091 | 4.195 | |
| TF3 | 0.530 | 0.901 | 0.347 | 1 | 0.556 | 1.699 | |
| TF4 | 0 | — | — | 0 | — | — | |
| 不出行 | I | -0.803 | 0.219 | 13.417 | 1 | 0 | — |
| DY1 | 0.232 | 0.313 | 0.552 | 1 | 0.458 | 1.262 | |
| DY2 | 0.198 | 0.287 | 0.476 | 1 | 0.490 | 1.219 | |
| DY3 | 0 | — | — | 0 | — | — | |
| TF1 | 0.745 | 0.392 | 3.607 | 1 | 0.058 | 2.107 | |
| TF2 | 1.067 | 0.278 | 14.676 | 1 | 0.000 | 2.906 | |
| TF3 | 0.548 | 0.275 | 3.977 | 1 | 0.046 | 1.729 | |
| TF4 | 0 | — | — | 0 | — | — | |
| 商务计划出行遭遇中雨天气 | B | 标准误 | Wald | df | 显著水平 | Exp(B) | |
| 使用高铁出行 | I | -0.153 | 0.141 | 1.172 | 1 | 0.279 | — |
| DF1 | 0.271 | 0.223 | 1.471 | 1 | 0.225 | 1.311 | |
| DY2 | 0.196 | 0.194 | 1.025 | 1 | 0.311 | 1.216 | |
| DY3 | 0 | — | — | 0 | — | — | |
| TF1 | 0.618 | 0.267 | 5.358 | 1 | 0.021 | 1.855 | |
| TF2 | 0.638 | 0.184 | 12.079 | 1 | 0.001 | 1.893 | |
| TF3 | 0.559 | 0.179 | 9.738 | 1 | 0.002 | 1.749 | |
| TF4 | 0 | — | — | 0 | — | — | |
| 使用客运班车出行 | I | -2.772 | 0.369 | 56.435 | 1 | 0 | — |
| DY1 | 1.714 | 0.319 | 28.792 | 1 | 0 | 5.549 | |
| DY2 | 0.777 | 0.349 | 4.953 | 1 | 0.026 | 2.174 | |
| DY3 | 0 | — | — | 0 | — | — | |
| TF1 | 1.472 | 0.482 | 9.338 | 1 | 0.002 | 4.36 | |
| TF2 | 1.008 | 0.419 | 5.777 | 1 | 0.016 | 2.74 | |
| TF3 | 0.01 | 0.48 | 0 | 1 | 0.983 | 1.010 | |
| TF4 | 0 | — | — | 0 | — | — | |
| 使用飞机出行 | I | -3.491 | 0.579 | 36.39 | 1 | 0 | — |
| DY1 | -0.498 | 1.069 | 0.217 | 1 | 0.641 | 0.608 | |
| DY2 | -20.190 | 0 | — | 1 | — | 1.71×109 | |
| DY3 | 0 | — | — | 0 | — | — | |
| TF1 | 0.338 | 1.179 | 0.082 | 1 | 0.774 | 1.402 | |
| TF2 | 0.579 | 0.741 | 0.610 | 1 | 0.435 | 1.783 | |
| TF3 | 0.123 | 0.766 | 0.026 | 1 | 0.872 | 1.131 | |
| TF4 | 0 | — | — | 0 | — | — | |
| 不出行 | I | -1.815 | 0.253 | 51.327 | 1 | 0 | — |
| DY1 | 0.662 | 0.296 | 4.998 | 1 | 0.025 | 1.938 | |
| DY2 | 0.212 | 0.287 | 0.549 | 1 | 0.459 | 1.237 | |
| DY3 | 0 | — | — | 0 | — | — | |
| TF1 | 0.867 | 0.407 | 4.544 | 1 | 0.033 | 2.38 | |
| TF2 | 0.881 | 0.304 | 8.382 | 1 | 0.004 | 2.414 | |
| TF3 | 0.686 | 0.305 | 5.073 | 1 | 0.024 | 1.987 | |
| TF4 | 0 | — | — | 0 | — | — | |
表中B为偏回归系数,Exp(B)为优势比。含义解释以使用高铁出行模型为例,出行频次为偶尔(TF2)和经常(TF3)两个变量回归系数B的统计检验显著(显著水平p < 0.05),且回归系数为正,说明出行频率为偶尔和经常的人相较于出行频次为频繁的出行者更倾向于选择高铁出行,而出行频次很少(TF1)时与出行频次为频繁时无差异。其他参数不变的情况下,出行频次为偶尔和经常时选择高铁的概率与选择小汽车的概率的比值是出行频次为频繁时的2.017(Exp(B))倍和1.577倍。
拟合的大雨影响下商务计划出行方式转移模型分别为:
|
拟合的中雨影响下商务计划出行方式转移模型分别为:
|
对模型中是否所有自变量偏回归系数全为0进行似然比检验,大雨影响下休闲计划出行方式转移模型中未引入自变量时-2倍对数似然值为2 135.175,引入自变量后减小至2 010.514,二者之差等于124.661,自由度为28,p < 0.001,表明至少有一个自变量的偏回归系数不为0,模型有意义。
中雨影响下休闲计划出行方式转移模型中未引入自变量时-2倍对数似然值为2 340.138,引入自变量后减少至2 229.849,二者之差等于110.288,自由度为24,p < 0.001,表明至少有一个系数不为零,模型有意义。
休闲出行计划中大雨、中雨天气影响下公众出行方式转移模型似然比检验结果如表 5所示。大雨天气下休闲计划出行者的出行驾龄、出行频次、时耗、性别对出行方式转移模型具有显著的影响,而中雨天气下出行者的驾龄、出行频次、出行时耗均对模型具有显著的影响。
| 效应 | 模型拟合标准 | 似然比检验 | ||||||
| 简化后的模型的 | -2倍对数似然值 | 卡方 | df | 显著水平 | ||||
| 大雨 | 中雨 | 大雨 | 中雨 | 大雨 | 中雨 | |||
| 截距(I) | 2 010.514 | 2 229.849 | 0.000 | 0.000 | 0 | — | — | |
| 驾龄(DY) | 2 053.416 | 2 271.666 | 42.903 | 41.817 | 8 | 0.000 | 0.000 | |
| 出行频次(TF) | 2 046.146 | 2 255.494 | 35.632 | 25.645 | 12 | 0.000 | 0.012 | |
| 时耗(T) | 2 022.610 | 2 246.757 | 12.096 | 16.908 | 4 | 0.017 | 0.002 | |
| 性别(G) | 2 022.905 | 12.391 | 4 | 0.015 | ||||
表 6、表 7分别为大雨、中雨影响下休闲计划出行方式转移模型参数标定结果。
| 休闲计划出行遭遇大雨天气 | B | 标准误 | Wald | df | 显著水平 | Exp(B) | |
| 使用高铁出行 | I | 0.409 | 0.349 | 1.369 | 1 | 0.242 | — |
| DY1 | 0.053 | 0.392 | 0.018 | 1 | 0.893 | 1.054 | |
| DY2 | -0.210 | 0.299 | 0.493 | 1 | 0.483 | 0.811 | |
| DY3 | 0 | — | — | 0 | — | — | |
| TF1 | 0.524 | 0.415 | 1.595 | 1 | 0.207 | 1.688 | |
| TF2 | -0.392 | 0.284 | 1.908 | 1 | 0.167 | 0.676 | |
| TF3 | -0.051 | 0.256 | 0.04 | 1 | 0.842 | 0.95 | |
| TF4 | 0 | — | — | 0 | — | — | |
| T | -0.034 | 0.031 | 1.236 | 1 | 0.266 | 0.967 | |
| G | -0.664 | 0.275 | 5.850 | 1 | 0.016 | 0.515 | |
| G0 | 0 | — | — | 0 | — | — | |
| 使用客运班车出行 | I | -3.856 | 0.700 | 30.346 | 1 | 0 | |
| DY1 | 2.470 | 0.444 | 30.915 | 1 | 0 | 11.819 | |
| DY2 | 0.111 | 0.538 | 0.043 | 1 | 0.836 | 1.118 | |
| DY3 | 0 | — | — | 0 | — | — | |
| TF1 | 1.173 | 0.705 | 2.768 | 1 | 0.096 | 3.231 | |
| TF2 | 1.206 | 0.586 | 4.235 | 1 | 0.040 | 3.339 | |
| TF3 | 0.359 | 0.627 | 0.328 | 1 | 0.567 | 1.432 | |
| TF4 | 0 | — | — | 0 | — | — | |
| T | 0.094 | 0.038 | 6.009 | 1 | 0.014 | 1.099 | |
| G | 0.301 | 0.410 | 0.540 | 1 | 0.462 | 1.351 | |
| G0 | 0 | — | — | 0 | — | — | |
| 使用飞机出行 | I | -3.728 | 1.595 | 5.460 | 1 | 0.019 | |
| DY1 | -19.190 | 0 | — | 1 | — | 4.63E-09 | |
| DY2 | -0.545 | 1.141 | 0.229 | 1 | 0.633 | 0.580 | |
| DY3 | 0 | — | — | 0 | — | — | |
| TF1 | 2.537 | 1.249 | 4.123 | 1 | 0.042 | 12.639 | |
| TF2 | 1.002 | 1.147 | 0.764 | 1 | 0.382 | 2.724 | |
| TF3 | -18.635 | 8 920.771 | 0 | 1 | 0.998 | 8.07E-09 | |
| TF4 | 0 | — | — | 0 | — | — | |
| T | -0.046 | 0.138 | 0.113 | 1 | 0.737 | 0.955 | |
| G | -0.080 | 1.139 | 0.005 | 1 | 0.944 | 0.923 | |
| G0 | 0 | — | — | 0 | — | — | |
| 不出行 | I | 1.382 | 0.270 | 26.187 | 1 | 0 | |
| DY1 | 0.341 | 0.291 | 1.370 | 1 | 0.242 | 1.406 | |
| DY2 | -0.234 | 0.210 | 1.241 | 1 | 0.265 | 0.791 | |
| DY3 | 0 | — | — | 0 | — | — | |
| TF1 | 0.910 | 0.330 | 7.585 | 1 | 0.006 | 2.484 | |
| TF2 | 0.542 | 0.204 | 7.058 | 1 | 0.008 | 1.72 | |
| TF3 | 0.204 | 0.196 | 1.083 | 1 | 0.298 | 1.226 | |
| TF4 | 0 | — | — | 0 | — | — | |
| T | -0.030 | 0.022 | 1.950 | 1 | 0.163 | 0.970 | |
| G | -0.549 | 0.211 | 6.795 | 1 | 0.009 | 0.577 | |
| G0 | 0 | — | — | 0 | — | — | |
| 休闲计划出行遭遇中雨天气 | B | 标准误 | Wald | df | 显著水平 | Exp(B) | |
| 使用高铁出行 | I | -0.792 | 0.232 | 11.634 | 1 | 0.001 | — |
| DY1 | -0.007 | 0.348 | 0 | 1 | 0.985 | 0.993 | |
| DY2 | 0.011 | 0.267 | 0.002 | 1 | 0.968 | 1.011 | |
| DY3 | 0 | — | — | 0 | — | — | |
| TF1 | 0.436 | 0.368 | 1.409 | 1 | 0.235 | 1.547 | |
| TF2 | -0.139 | 0.258 | 0.291 | 1 | 0.590 | 0.870 | |
| TF3 | -0.148 | 0.243 | 0.372 | 1 | 0.542 | 0.862 | |
| TF4 | 0 | — | — | 0 | — | — | |
| T | 0.002 | 0.028 | 0.003 | 1 | 0.955 | 1.002 | |
| 使用客运班车出行 | I | -3.720 | 0.495 | 56.457 | 1 | 0 | — |
| DY1 | 2.179 | 0.359 | 36.825 | 1 | 0 | 8.840 | |
| DY2 | 0.692 | 0.408 | 2.872 | 1 | 0.090 | 1.998 | |
| DY3 | 0 | — | — | 0 | — | — | |
| TF1 | 0.944 | 0.570 | 2.743 | 1 | 0.098 | 2.570 | |
| TF2 | 0.795 | 0.483 | 2.708 | 1 | 0.100 | 2.213 | |
| TF3 | -0.077 | 0.528 | 0.021 | 1 | 0.884 | 0.926 | |
| TF4 | 0 | — | — | 0 | — | — | |
| T | 0.132 | 0.034 | 15.474 | 1 | 0 | 1.142 | |
| 使用飞机出行 | I | -3.934 | 0.892 | 19.454 | 1 | 0 | — |
| DY1 | -18.516 | 0 | — | 1 | — | 9.09E-09 | |
| DY2 | -0.538 | 1.056 | 0.260 | 1 | 0.610 | 0.584 | |
| DY3 | 0 | — | — | 0 | — | — | |
| TF1 | 0.791 | 1.200 | 0.435 | 1 | 0.510 | 2.206 | |
| TF2 | 0.509 | 0.848 | 0.36 | 1 | 0.549 | 1.663 | |
| TF3 | -18.312 | 4950.86 | 0 | 1 | 0.997 | 1.12×10-8 | |
| TF4 | 0 | — | — | 0 | — | — | |
| T | 0.056 | 0.105 | 0.289 | 1 | 0.591 | 1.058 | |
| 不出行 | I | 0.251 | 0.17 | 2.168 | 1 | 0.141 | — |
| DY1 | 0.605 | 0.225 | 7.206 | 1 | 0.007 | 1.831 | |
| DY2 | -0.002 | 0.185 | 0 | 1 | 0.993 | 0.998 | |
| DY3 | 0 | — | — | 0 | — | — | |
| TF1 | 0.727 | 0.274 | 7.054 | 1 | 0.008 | 2.070 | |
| TF2 | 0.479 | 0.182 | 6.912 | 1 | 0.009 | 1.614 | |
| TF3 | 0.086 | 0.177 | 0.238 | 1 | 0.626 | 1.09 | |
| TF4 | 0 | — | — | 0 | — | — | |
| T | -0.009 | 0.020 | 0.183 | 1 | 0.669 | 0.991 | |
拟合的大雨影响下休闲计划出行方式转移模型分别为:
|
拟合的中雨影响下休闲计划出行方式转移模型分别为:
|
|
|
根据以上降雨天气下商务出行计划和休闲出行计划中出行方式转移多项Logistic回归模型的结果可得到以下结论:
商务计划出行中出行者的驾龄、出行频次对大雨、中雨天气影响下公众出行方式转移模型有显著影响效果。休闲计划出行中出行者的时耗、驾龄、出行频次均对模型有显著影响效果,性别对大雨天气下出行方式转移模型显著影响。说明,驾龄长短以及是否经常出行会明显影响降雨天气下出行方式的选择结果;休闲计划类弹性出行中出行者会根据出行时间的多少来决定选择何种出行方式;商务类出行和中雨天气下的休闲计划出行中出行方式转移结果不受性别的明显影响,而大雨天气下的休闲计划类出行方式转移结果明显受性别的影响。且各因素在各个情况下影响程度存在差异。本研究可以为综合运输网络的交通规划、需求预测以及管理者制定决策提供理论支撑和决策依据。
未来研究中可考虑小雨的影响。可进一步丰富模型影响因素如出行费用、是否存在换乘等。亦可以与其他不良天气下出行方式影响因素进行综合对比。这些均可作为下一步的研究工作。
| [1] |
王雯静, 干宏程. 小汽车与轨道交通出行方式选择行为分析[J]. 城市交通, 2010, 8(3): 36-40. WANG Wen-jing, GAN Hong-cheng. Car or Public Transit?:Analysis on Travel Mode Choice Behavior[J]. Urban Transport of China, 2010, 8(3): 36-40. |
| [2] |
刘炳恩, 隽志才, 李艳玲, 等. 居民出行方式选择非集计模型的建立[J]. 公路交通科技, 2008, 25(5): 116-120. LIU Bing-en, JUAN Zhi-cai, LI Yan-ling, et al. Development of a Multinomial Logit Model for Travel Mode Choice of Residents[J]. Journal of Highway and Transportation Research and Development, 2008, 25(5): 116-120. |
| [3] |
ROWANGOULD G M, TAYARANI M. Effect of Bicycle Facilities on Travel Mode Choice Decisions[J]. Journal of Urban Planning and Development, 2016, 142(4): 04016019. |
| [4] |
DOMARCHI C, TUDELA A, GONZÁLEZ A. Effect of Attitudes, Habit and Affective Appraisal on Mode Choice:An Application to University Workers[J]. Transportation, 2008, 35(5): 585-599. |
| [5] |
万霞, 王炜, 陈峻. 居民全日出行方式选择动态模型研究[J]. 中国公路学报, 2012, 25(2): 121-126. WAN Xia, WANG Wei, CHEN Jun. Research on Dynamic Model of Within-day Travel Mode Choice of Residents[J]. China Journal of Highway and Transport, 2012, 25(2): 121-126. |
| [6] |
栾琨, 隽志才, 宗芳. 通勤者出行方式与出行链选择行为研究[J]. 公路交通科技, 2010, 27(6): 107-111. LUAN Kun, JUAN Zhi-cai, ZONG Fang. Research on Commuter's Choice Behavior between Travel Mode and Trip Chain[J]. Journal of Highway and Transportation Research and Development, 2010, 27(6): 107-111. |
| [7] |
SABIR M, OMMEREN J V, RIETVELD P. Weather to Travel to the Beach[J]. Transportation Research Part A:Policy and Practice, 2013, 58(58): 79-86. |
| [8] |
FRANK L, BRADLEY M, KAVAGE S, et al. Urban Form, Travel Time, and Cost Relationships with Tour Complexity and Mode Choice[J]. Transportation, 2008, 35(1): 37-54. |
| [9] |
MOECKEL R, FUSSELL R, DONNELLY R. Mode Choice Modeling for Long-distance Travel[J]. Transportation Letters, 2015, 7(1): 35-46. |
| [10] |
PAULSSEN M, TEMME D, VIJ A, et al. Values, Attitudes and Travel Behavior:A Hierarchical Latent Variable Mixed Logit Model of Travel Mode Choice[J]. Transportation, 2014, 41(4): 873-888. |
| [11] |
CHERCHI E, CIRILLO C, ORTÚZAR J D D. Modelling Correlation Patterns in Mode Choice Models Estimated on Multiday Travel Data[J]. Transportation Research Part A:Policy and Practice, 2017, 96: 146-153. |
| [12] |
吴麟麟, 卢海琴, 汪洋, 等. 引入忠诚度变量的城际出行方式动态选择行为研究[J]. 公路交通科技, 2014, 31(11): 123-129. WU Lin-lin, LU Hai-qin, WANG Yang, et al. Research on Intercity Travel Mode Dynamic Choice Behavior with Introduced Loyalty Variable[J]. Journal of Highway and Transportation Research and Development, 2014, 31(11): 123-129. |
| [13] |
BÖCKER L, DIJST M, FABER J. Weather, Transport Mode Choices and Emotional Travel Experiences[J]. Transportation Research Part A:Policy and Practice, 2016, 94: 360-373. |
| [14] |
陈坚, 晏启鹏, 杨飞, 等. 出行方式选择行为的SEM-Logit整合模型[J]. 华南理工大学学报:自然科学版, 2013, 41(2): 51-57. CHEN Jian, YAN Qi-peng, YANG Fei, et al. SEM-Logit Integration Model of Travel Mode Choice Behaviors[J]. Journal of South China University of Technology:Natural Science Edition, 2013, 41(2): 51-57. |
| [15] |
MA T Y, CHOW J Y J, XU J. Causal Structure Learning for Travel Mode Choice Using Structural Restrictions and Model Averaging Algorithm[J]. Transportmetrica, 2017, 13(4): 299-325. |
| [16] |
郝艳召. 中观层次路网机动车排放动态量化评价研究[D]. 北京: 北京交通大学, 2010. HAO Yan-shao. Meso-level Dynamic Quantitative Estimation and Assessment of Vehicle Emissions for Road Networks[D]. Beijing: Beijing Jiaotong University, 2010. |
| [17] |
陈方, 戢晓峰, 吉选, 等. 降雨对城市交通系统的影响与预警对策[J]. 武汉理工大学学报:社会科学版, 2013, 26(4): 506-509. CHEN Fang, JI Xiao-feng, JI Xuan, et al. The Impact of Rainfall on Urban Transportation System and Early Warning Countermeasure[J]. Wuhan University of Technology:Social Science Edition, 2013, 26(4): 506-509. |
| [18] |
张文彤. SPSS统计分析高级教程[M]. 北京: 高等教育出版社, 2004: 163-199. ZHANG Wen-tong. SPSS Statistical Analysis Advanced Course[M]. Beijing: Higher Education Press, 2004: 163-199. |
2018, Vol. 35
