自然界中的土体既保留着原岩的矿物成分和结构构造,又经受后期各种改造或人类工程活动的影响,具有高度复杂性和非线性特征[1-2]. 研究表明,土物理力学性质复杂源于其内部结构及其变化,即土的宏观工程性质受土结构单元体的大小、形状、排列组合方式、连接及孔隙结构特征的影响[3-4] ,当土性质变化时,其中孔隙变化最明显. 土体在荷载作用下工程性状变化是通过内部结构调整来实现的[5-6],因此,欲揭示土力学行为的内在原因,需了解土体在受力过程中其内部结构及变化特征[7-9].
土体微观结构的复杂性和非线性使得用传统几何学研究遇到了瓶颈,而Mandelbrot创立的分形几何学为自相似的不规则曲线和图形研究另辟蹊径[10],为土的微观结构研究带来生机. 分形理论认为维数可以连续变化,物质分形特征可用分维值来表示[11-12]. 随着分形几何学引入岩土力学,土微观结构研究取得了重要进展[10-13]. 谢和平等[13]研究表明岩土孔隙从原子尺度到晶粒尺寸均表现出分形特征. 薛茹、胡瑞林等[14-15]学者将分形理论应用到软土加固过程中微结构变化研究,获得了较理想的研究成果. 土体的工程性质实际上是土结构单元体性质的综合表现,而结构单元体性质又取决于土颗粒性质[16-17]. 土体的形成过程和分形构造方法十分相似,即土体具有明显层次性、自相似性和精细结构. 本文将结合软黏土固结不排水剪切试验和扫描电子显微镜(Scanning Electron Microscope,简称SEM)试验,研究软黏土在不同应变速率和不同应变阶段的微观结构变化和分形特征,旨在揭示软黏土剪切性状的渊源,为软土工程性质研究和软土地基处理设计提供一定依据.
1 土样性质及试验方法 1.1 土样物理性质试验土样取自广州市南沙区某基坑工程,场址位于珠江入海口虎门水道西岸,为三江(西江、北江、东江)汇合处,取样深度为原地表以下4.0~6.0 m[18]. 为灰黑色海相饱和软黏土,土中含有大量伊利石、高岭石等黏土矿物,有机质含量为1.74%,平均含水量为70.63%,孔隙比1.81,密度1.64 g/cm3,液限58.24%和塑限29.3%. 软黏土含水量高、压缩性大、强度低,土样的化学成分和能谱如表1和图1所示.
| 表 1 软黏土的化学成分 Table 1 Chemical composition of soft clay |
|
图 1 软黏土能谱图 Figure 1 The spectrum of soft soil |
利用美国GCTS公司生产的SPAX-2000动静真三轴测试系统进行了固结压力为150 kPa、中主应力为175 kPa、不同应变速率(10-6/s、10-5/s、10-4/s、10-3/s、10-1/s)和不同应变阶段(1%、4%、6%、8%、10%)的软黏土真三轴固结不排水剪切试验.
为研究软黏土在三轴试验过程中微观结构变化特征,利用美国FEI公司生产的Quanta650型扫描电子显微镜对软黏土进行SEM试验. 取不同应变速率和不同应变阶段的三轴固结不排水剪切试验后的10组试样(每组2个平行样)和1组未进行三轴试验的原状土样,利用液氮冷冻真空升华技术制作SEM样品,尽可能保持软黏土的微观结构. 然后,取干燥土样新鲜断面,经喷金粉预处理,再将其置于扫描电镜真空仓,选取孔隙与颗粒分布较均匀的区域进行不同放大倍率(500、1 000、2 000、3 000、4 000、6 000)的SEM图像拍摄[15]. 在此基础上,运用MATLAB对SEM照片进行数字图像处理,分析软黏土的微观结构参数及分形特征,电子显微镜扫描试验方案如表2.
| 表 2 电子显微镜扫描试验样品 Table 2 The samples of scanning electron microscope test |
如图2为软黏土样(K2、K3、K4、K5和K6)在固结围压为150 kPa、中主应力为175 kPa条件下固结后,以相同应变速率10-4/s剪切,分别达到不同应变阶段(1%、4%、6%、8%、10%)的三轴固结不排水剪切试验后土试样的电子显微镜扫描图像. 图2(a)为K0未进行三轴试验的原状土扫描电子镜图像,放大倍率均为4 000.
|
图 2 软黏土不同剪切阶段的电镜扫描图像 Figure 2 The SEM photographs of soft soil at different shear stages |
图2(a)为K0(原状试样)在天然状态下的SEM图像,可见软黏土结构单元体排列相对松散,孔隙较发育且孔隙尺寸较大,为团粒–絮凝结构,颗粒多为片状或柱状,多呈边–边接触、边–面接触;颗粒(团粒)混杂,无定向性. 土中黏土矿物以高岭石、蒙脱石为主;孔隙类型主要有颗粒间孔隙和粒内孔隙.图2(b)为K2剪切至应变1%时的SEM图像,土样较K0结构变密实,大孔径孔隙减少,孔隙以粒内孔隙或粒间小孔径孔隙为主. 图2(c)为K3剪切至应变4%时,土粒(团粒)愈加密实,孔隙体积进一步减小,颗粒排列出现定向性,以粒间小孔为主,孔隙大小较均匀. 图2(d)为K4轴向应变为6%时,随着剪应力增大,土中开始产生微小孔隙. 图2(e)为K5轴向应变达到8%时,土中剪应力接近土的抗剪强度,剪应力克服土中摩擦力和黏聚力,土颗粒滑移,孔隙数目和孔径大小明显增加,颗粒排列定向性增加. 图2(f)中K6应变为10%,土样出现剪切破坏,颗粒(团粒)破碎,颗粒定向性减弱,大小不等的孔隙增多. 通过上述不同应变阶段的SEM图像对比表明,荷载作用下软黏土在不同应变阶段结构单元(颗粒、团粒或集合体)的排列方式,孔隙大小、形态和数量上均有不同程度调整.
2.2 不同应变速率下软黏土微观结构特征试样(K10、K9、K6、K8、K7)在相同固结压力(σ3=50 kPa、σ2=175 kPa)固结后,以5种不同应变速率(10–6/s、10–5/s、10–4/s、10–3/s和10–1/s)剪切至轴向应变10%时的SEM图像(放大倍率均为4 000)如图3和图2(f)所示,其中K6的SEM见图2(f),在此不再重复.
|
图 3 不同应变速率下软黏土剪切破坏时的SEM图像 Figure 3 SEM photographs of shear failure of soft soil at different strain rates |
图3(a)为K7为以应变速率10–6/s剪切至破坏时的SEM图像. 由于应变速率较小、剪应力增长慢,结构调整时间较充分,因此土结构单元体剪切破坏时,结构单元排列仍较紧密,颗粒沿剪切方向呈定向排列,孔隙以小孔径孔隙为主. 图3(b)为K8以应变速率10–5/s剪切至破坏,SEM图像中出现叠片状单元体,颗粒沿剪切方向呈定向性排列,大孔径孔隙增多. 图3(c)为K9土样竖向应变速率
本文运用MATLAB数字图像处理功能对软黏土SEM图像进行处理. 如图4所示,对SEM进行二值化和二值化反色处理,将灰度图像转换成黑白图像,其中白色部分为孔隙,黑色部分为土颗粒;再将二值化图像进行区域标记处理,得到变换后的标记图像,白色表示颗粒,黑色表示孔隙,在此基础上计算微观结构参数. 土体变形在微观层次上主要表现在孔隙大小及形状变化[3]. 本文主要研究软黏土在真三轴固结不排水剪切过程中孔隙分布特征,并用“等效孔径”表示,即为与孔隙等面积S的圆半径r,可表达为
| $r = \sqrt {S/{\text{π}}}. $ | (1) |
设等效孔径大小界限值为1 μm和10 μm,则将孔径划分为3大类,即<1 μm、1~10 μm、>10 μm,软黏土各试样的SEM孔隙大小分布如表3和表4.
|
图 4 电镜扫描图像预处理对比图 Figure 4 SEM photographs preprocessing comparison chart |
| 表 3 不同剪切阶段软黏土孔隙分布 Table 3 The pore distribution of soft soil at different shear stages |
由表3可知软黏土(K0、K2、K3、K4、K5和K6)三轴试验前原状土和试验后(不同剪切阶段)软黏土的孔隙孔径均集中在小孔隙(<1 μm)、中孔隙(1~10 μm)两个区间内,且以孔径<1 μm孔隙占主导,其中K3最大,小孔隙百分数达85.27%. 软黏土在剪切过程中存在一个轴向应变阈值(约4%~5%),当轴向应变小于阈值时,小孔隙百分数随应变增加而增大;当应变大于阈值后,中小孔隙百分数随应变增加而减小. 而大孔隙(孔径>10 μm)随应变的变化规律正好相反,小孔隙百分数随应变增加而减小.
表4为软黏土试样(K7、K8、K6、K9和K10)以不同应变速率至相同应变阶段(10%)时的孔径分布情况. 从表中可知,试验后土中孔径分布仍主要集中在中、小孔径两区间,各试样中、小孔隙百分数之和均超过97%;而大孔径(孔径>10 μm)孔隙所占百分数较小,并具随应变速率增大而增多的变化趋势. 这种现象进一步表明应变速率对土微观结构变化有重要影响.
| 表 4 不同应变速率条件下软黏土孔径分布 Table 4 The pore distribution of soft soil at different strain rates |
土体由大大小小颗粒堆积而成,其土颗粒与孔隙的形成过程与Mandelbrot的分形构造过程十分相似,即土体具层次性、自相似性和结构性. 分形几何学常用分形维数来描述物质的分形特征. 本文采用Huasdorff维数描述软黏土的微观结构分形特征,记为DH,Huasdorff维数是指严格大于其拓扑维数DT的几何图形F,可表达为
| $F = \left\{ {D:\;{D_{\rm{H}}} > {{\rm{D}}_{\rm{T}}}} \right\}.$ | (2) |
虽然Huasdorff分维数定义严格,但计算十分复杂;对于某一具体的SEM二值化处理后的图像,可用某尺度ε把观察区域分为N(ε)个各自相似,且与整体形相似的部分,本文用盒子记数法计算分维值,表达为
| ${D_{\rm{H}}} = - \mathop {\lim }\limits_{a \to 0} \frac{{\ln N\left( a \right)}}{{\ln \left( a \right)}}.$ | (3) |
改变尺度a,即a1,a2,…,a3,…,an,统计标度εi的度量值N(a1),N(a2),…,N(ai),…,N(an),在双对数坐标中作各点对(ai,N(ai))的散点图,若拟合曲线有稳定的线性段,则表明物质具有分形特征,直线斜率就是研究对象的分维值DH. 设软黏土颗粒分布分维值DPH和孔隙分维值DBH,计算公式与方法如表5所示.
| 表 5 软黏土颗粒和孔隙分维算法简表 Table 5 The fractal dimensions calculation method for soil grain and pore |
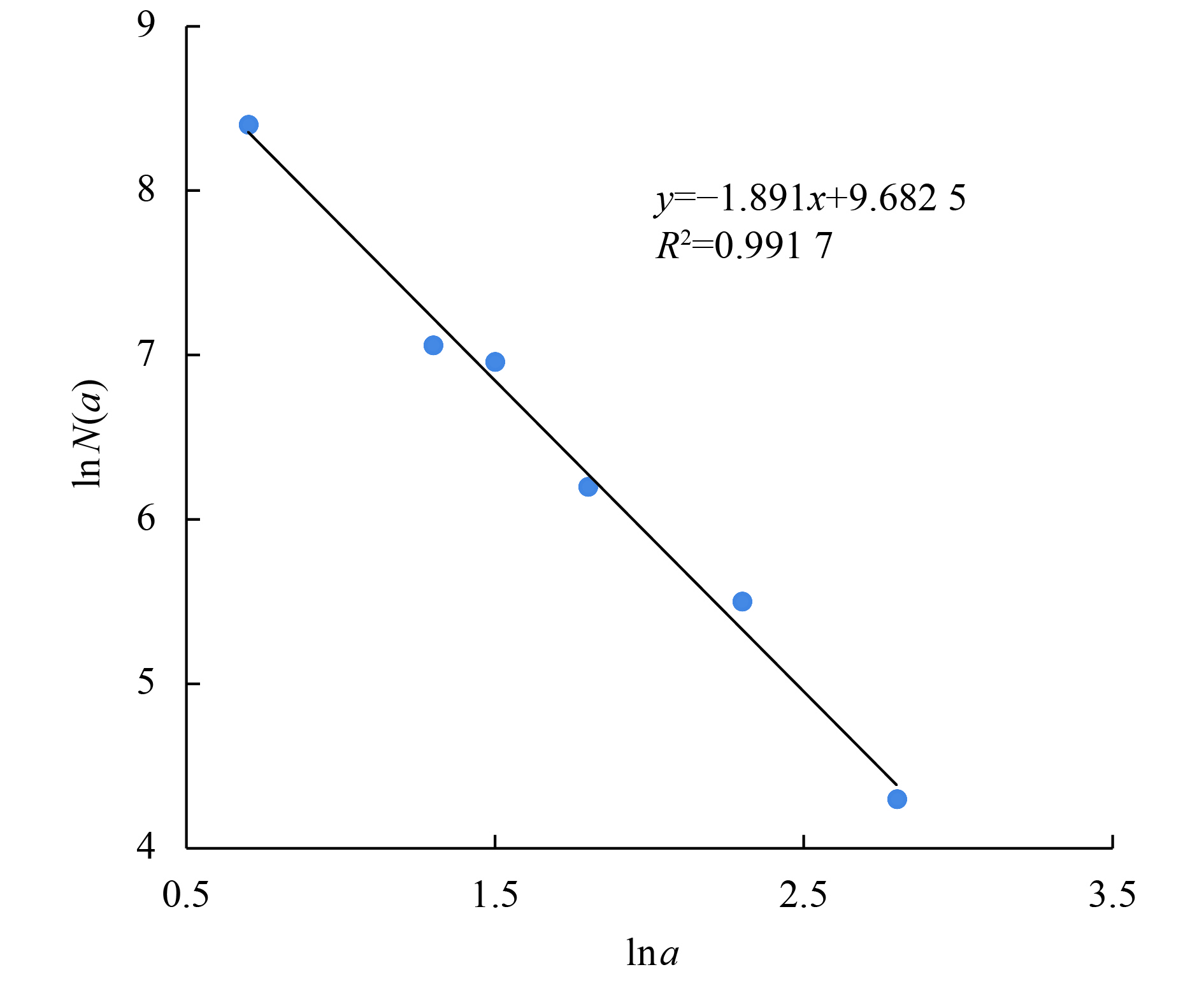
图5为三轴试验试验前原状软黏土颗粒分布的分维图. 从图5可知,软黏土颗粒的ln N(a)-ln (a)点群近似呈直线分布,有稳定线性段,表明土颗粒具有分形特征. 直线斜率1.825即为软黏土颗粒分维值. 图6为原状土的孔隙分布ln N(a)-ln (a)散点图,点群近似呈直线分布,表明原状土孔隙分布具有明显的分形结构特征,分维值为1.891.
|
图 5 原状土颗粒分布分形计算图 Figure 5 The grain fractal dimensions of undisturbed soil |
|
图 6 原状土孔隙分布分形计算图 Figure 6 The pore fractal dimensions of undisturbed soil |
同样,可分别做出三轴试验后的各土样的颗粒和孔隙分布ln N(a)-ln (a)散点图,均可找到稳定的直线段,表明各土样的微观结构均具有明显的分形特征. 各试样土颗粒分维值范围为1.825~1.908,变化幅度为0.083;各试样的孔隙分维值范围为1.891~1.750,变化幅度为0.141.
图7为软黏土(K0、K2、K3、K4、K5和K6)在相同固结条件(σ3=50 kPa、σ2=175 kPa),相同应变速率10–4/s,达到不同应变阶段(0、1%、4%、6%、8%、10%)的颗粒和孔隙分维值变化曲线. 由图7可知颗粒和孔隙分维值随应变阶段的变化规律:软黏土通过等压和偏压固结后,随着剪切应变增大,颗粒分维值增加;而孔隙分布分维值降低. 表明经真三轴固结不排水剪切后,土中孔隙已减小,颗粒排列更紧密,土体在三轴荷载作用下土的微观结构已发生了相应变化.
|
图 7 不同应变阶段土微观结构分形特征 Figure 7 Fractal characteristics of soil microstructure in different strain stages |
图8为K0、K10、K9、K6、K8和K7在相同荷载水平(σ3=50 kPa、σ2=175 kPa),以不同应变速率(10–1/s 、10–3/s、10–4/s、10–5/s、10–6/s)剪切至轴向应变为10%的微观结构颗粒分维值和孔隙分维值变化图. 结果表明,不同应变速率条件下土中颗粒和孔隙有不同分维值,在三轴固结不排水剪切过程中:颗粒分维值增加,孔隙分布分维值减小;以较小应变速率剪切,如10–6/s,颗粒和孔隙分维值试验前后变化幅度最大,颗粒变幅0.083,孔隙变幅0.141. 孔隙的分维值的变化较颗粒更明显,这与前人研究的结论:软土的变形主要表现在孔隙大小和形状变化的观点一致;同时,进一步证明应变速率和应变大小(应变阶段)是影响土微观结构特征的两个重要因素;软土剪切过程实际上是其内部结构不断自我调整的过程.
|
图 8 不同应变速率下土微观结构分形特征 Figure 8 Fractal characteristics of soil microstructure under different strain rates |
(1)本次试验南沙软黏土含水量高、黏粒含量高,具有团粒–絮凝结构;通过SEM图像分析对比分析,发现三轴试验后土样较之试验前原状土样,在颗粒排列方式和接触关系,孔隙大小和形状均出现不同程度的调整.
(2)按等效粒径将土中孔隙划分为3大类. 原状土样和三轴试验后软黏土中的孔隙主要集中在小孔径、中孔隙两个区间;各土样中的大孔隙均较少,且主要出现于原状土和剪切破坏土样中. 剪切过程中存在一个轴向应变阈值,当轴向应变小于阈值时,小孔隙百分数随轴向应变增大而增大;大于阈值后,小孔隙百分数随轴向应变增加而减小;孔径随应变的变化规律在阈值两侧正好相反. 此外,大孔隙具有随应变速率增加而增多的变化趋势. 这主要是与这两方面相关:土体在荷载作用下初期的压密,使孔隙数量和孔隙大小减少;后期剪切变形的发展,出现孔隙微观结构的调整.
(3)软黏土的颗粒和孔隙在ln (N(a))-ln (a)双对数坐标中有稳定线性段,表明软黏土的微观结构具有明显分形特征;在剪切过程(不同应变速率和不同应变阶段)中,颗粒分布分维值呈增大趋势,孔隙分布分维值呈减小趋势,且孔隙分维值变化相对更明显,分维值变化可反映微观结构的变化特征.
上述研究有助于了解软黏土剪切行为的微观机制(颗粒和孔隙的变化),可为软土工程性质研究和软土地基处理工程设计提供一定参考依据.
| [1] | 李彰明. 软土地基加固与质量控制[M]. 北京: 中国建筑工业出版社,2011. |
| [2] | 胡瑞林, 官国琳, 李向东, 等. 黏性土微观结构定量模型及其工程地质特征研究[M]. 北京: 地质出版社, 1995. |
| [3] |
刘勇健,李彰明. 软土物理力学性质指标与微结构参数的灰色关联–神经网络模型[J].
岩土力学, 2011, 32(4): 1018-1024.
LIU Y J, LI Z M. Grey-relation analysis and neural networks model for relationship between physico- mechanical indices and microstructure parameters of soft soils[J]. Rock and Soil Mechanics, 2011, 32(4): 1018-1024. |
| [4] |
周翠英, 牟春梅. 珠江三角洲软土分布及其结构类型划分[J].
中山大学学报(自然科学), 2004, 3(6): 81-84.
ZHOU C Y, MU C M. Distribution and microstructure classification of soft clay in the Pearl River Delta[J]. Acta Scientiarum Naturalium Universitatis Sunyatseni, 2004, 3(6): 81-84. |
| [5] |
张礼中, 胡瑞林, 李向全, 等. 土体微观结构定量分析系统及应用[J].
地质科技情报, 2008, 27(1): 108-112.
ZHANG L Z, HU R L, LI X Q, et al. Soil microstructure quantitative Analysis and its Application[J]. Geological science and technology information, 2008, 27(1): 108-112. |
| [6] | GYLLAND A S, RUESLÅTTEN H, JOSTAD H P, et al. Microstructure observations of shear zones in sensitive clay[J]. Engineering Geology, 2013, 163: 75-88. DOI: 10.1016/j.enggeo.2013.06.001. |
| [7] | TODORUK T R, LANGFORD C H, KANTZAS A. Pore-scale redistribution of water during wetting of air-dried soils as studied by low-field NMR relaxometry[J]. Environmental Science & technology, 2003, 37(12): 2707-2713. |
| [8] | BAYER J V, JAEGER F, SCHAUMANN G E. Proton nuclear resonance (NMR) relaxometry in soil science applications[J]. Open Magn Reson J, 2010, 3(1): 15-26. DOI: 10.2174/1874769801003010015. |
| [9] |
李彰明, 曾文秀, 高美连. 典型荷载条件下淤泥孔径分布特征核磁共振试验研究[J].
物理学报, 2014, 63(5): 057401.
LI Z M, ZENG W X, GAO M L. Nuclear magnetic resonance experimental study on the characteristics of pore-size distribution in muck under several typical loading cases[J]. Acta Phys Sin, 2014, 63(5): 057401. |
| [10] |
许勇, 张季超, 李伍平. 饱和软土微结构分形特征的试验研究[J].
岩土力学, 2007, 28(supp.): 49-52.
XU Y, ZHANG J C, LI W P. Research on microstructure fractal features of the saturation soft soil[J]. Rock and Soil Mechanics, 2007, 28(supp.): 49-52. |
| [11] |
张先伟, 孔令伟, 郭爱国, 等. 不同固结压力下强结构性黏土孔隙分布试验研究[J].
岩土力学, 2014, 35(10): 2794-2800.
ZHANG X W, KONG L W, GUO A G, et al. Experiment study of pore distribution of strong structural clay under different consolidation pressures[J]. Rock and Soil Mechanics, 2014, 35(10): 2794-2800. |
| [12] |
吕海波, 赵艳林, 孔令伟, 等. 海相软土孔隙分布的分形特征及应用[J].
桂林工学院学报, 2006, 26(1): 50-53.
LYU H B, ZHAO Y L, KONG L W, et al. Fractal feature of pore size distribution of a marine soft soil and its application[J]. Journal of Guilin University of Technology, 2006, 26(1): 50-53. |
| [13] | 谢和平.分形岩石力学导论[M].北京: 科学出版社, 1996. |
| [14] |
薛茹, 胡瑞林,毛灵涛. 软土加固过程中微结构变化的分形研究[J].
土木工程学报, 2006, 39(10): 87-91.
XUE R, HU R L, MAO L T. Fractal study on the microstructure variation of soft soils in consolidation process[J]. China Civil Engineering Journal, 2006, 39(10): 87-91. DOI: 10.3321/j.issn:1000-131X.2006.10.014. |
| [15] |
周晖, 吴俊桦. 软土固结过程中基于分形理论的孔隙微观参数研究[J].
广东工业大学学报, 2017, 34(4): 41-46.
ZHOU H, WU J H. A research on microscopic parameters of soft soil pore based on fractal theory in the process of consolidation[J]. Journal of Guangdong University of Technology, 2017, 34(4): 41-46. |
| [16] |
刘勇健, 刘湘秋, 刘雅恒, 等. 珠江三角洲软土物理力学性质对比分析[J].
广东工业大学学报, 2013, 30(3): 30-36.
LIU Y J, LIU X Q, LIU Y H, et al. A contrastive analysis of the physico-mechanical properties of soft soils in the Pearl River Delta[J]. Journal of Guangdong University of Technology, 2013, 30(3): 30-36. |
| [17] |
刘勇健, 符纳, 陈创鑫, 等. 三轴冲击荷载作用前后软黏土的微观结构变化研究[J].
广东工业大学学报, 2015, 32(2): 23-27.
LIU Y J, FU N, CHEN C X, et al. Study on microstructure changes of soft clay before and after triaxial impact load[J]. Journal of Guangdong University of Technology, 2015, 32(2): 23-27. |
| [18] | 康文武, 海相软土力学响应及加载速率效应研究[D]. 广州: 广东工业大学土木与交通工程学院, 2017. |
2018, Vol. 35
