文章信息
- 占丽娜, 刘耀, 李昊, 刘绍军
- ZHAN Li-na, LIU Yao, LI Hao, LIU Shao-jun
- 流延成型制备MoO3掺杂BiSmMoO6微波陶瓷基片的工艺研究
- Process research on preparation of MoO3-doped BiSmMoO6 microwave ceramic sheet by nonaqueous tape casting
- 材料工程, 2019, 47(10): 120-125
- Journal of Materials Engineering, 2019, 47(10): 120-125.
- http://dx.doi.org/10.11868/j.issn.1001-4381.2018.000006
-
文章历史
- 收稿日期: 2018-01-05
- 修订日期: 2019-06-20
2. 中南大学 粉末冶金研究院, 长沙 410083
2. Powder Metallurgy Research Institute, Central South University, Changsha 410083, China
流延成型(tape casting)作为低温共烧陶瓷(Low temperature co-fired ceramic, LTCC)技术的关键工艺,是制备薄片陶瓷材料的重要成型方法,同时流延成型具有工艺简单、可大面积制备等优点[1-3]。目前,流延成型已成为生产片式多层陶瓷器件和多层陶瓷基片的支柱技术,被广泛应用于各个领域[4-5]。在实际生产过程中通常采用有机流延成型,即以甲苯、二甲苯、异丙醇和甲基乙基酮等有机试剂为溶剂。因为有机试剂对黏结剂、增塑剂等溶解效果更好,而且沸点较低,所以有机流延成型制备的薄片干燥速率更快,结构均匀性更好[6-9]。
目前已报道多种低温共烧陶瓷体系如Li2Zn2W2O9微波陶瓷、NaMg4V3O9微波陶瓷等[10-11]。研究发现BiREMoO6(RE=Pr,Nd,Sm,Yb)系微波陶瓷具有优良的微波性能,其中5%(质量分数,下同)MoO3掺杂BiSmMoO6微波陶瓷在900℃烧结8h其微波性能为:品质因数Q·f=30600GHz,介电常数εr=8.8,同时与Ag共烧保持良好的化学稳定性,满足低温共烧基板陶瓷材料的要求[12]。虽然低温共烧陶瓷已经被广泛地研究[13-17],但目前低温共烧陶瓷流延成型工艺的研究主要集中于流延膜片性能问题,而分散剂等添加剂的选择及其对流延浆料的稳定性和流变性能的影响缺乏系统的研究。本工作研究了有机流延成型制备5% MoO3掺杂BiSmMoO6微波陶瓷基片过程中pH、分散剂、黏结剂和增塑剂对陶瓷浆料稳定性与流变性的影响。
1 实验材料与方法 1.1 原料实验采用传统固相反应法制备BiSmMoO6微波陶瓷,将原料Bi2O3(>99.9%)、Sm2O3(>99.9%)、MoO3(>99.9%)按摩尔比1:1:2混合,以氧化锆球为球磨介质,以无水乙醇为介质球磨16h,经干燥后球磨粉体于700℃烧结2h。在预烧生成BiSmMoO6陶瓷粉末中加入5%MoO3烧结助剂,以无水乙醇为介质球磨混合16h,干燥后得到流延成型实验粉末。
采用乙醇/异丙醇(>99.0%,体积比为1:1)为溶剂,磷酸三丁酯(>99.0%)、三油酸甘油酯(>99.0%)、三乙醇胺(>99.0%)作为分散剂,PVB(化学纯)、乙基纤维素(化学纯)、聚氯乙烯(化学纯)为黏结剂,聚乙二醇(化学纯)为增塑剂。以盐酸(分析纯)和氨水(分析纯)调节流延料浆的pH值。
1.2 流延成型工艺过程流延成型工艺如图 1所示,将粉体、分散剂和溶剂混合,调节浆料pH值,球磨2h后加入黏结剂和增塑剂再球磨1h。将浆料放入真空箱内真空除泡,然后在流延基板上进行匀速流延,刮刀与流延基板固定间距为250μm,流延后获得厚度为250μm的流延膜片。最后将流延膜片干燥后得到膜片胚体。
|
图 1 流延成型的制备流程 Fig. 1 Preparation process of tape casting |
流延浆料的性能主要分为稳定性和流变性。浆料流变特性的测定采用旋转流变仪在不同剪切速率下测定浆料黏度值(实验温度为25℃)。粉体在溶剂中稳定性的表征主要采用沉降法和Zeta电位的测量。沉降法制备质量分数10%的悬浮液,调节pH值后,搅拌混合30min,倒入试管中静置30min,读取浆料上层清液的体积,计算沉降体积分数比SVP(清液体积/溶液体积),SVP值越小说明浆料越稳定,SVP值越大说明沉降速率越大。采用Nano ZS Zeta电位测试仪对稀释相同倍数的浆料进行Zeta电位测试。采用TTRIII X射线衍射仪对烧结后流延薄片进行物相分析,采用Nova Nano SEM230扫描电镜分析烧结后流延薄片的微观结构。
2 结果与分析 2.1 pH值和分散剂对流延浆料稳定性的影响由于粉体颗粒在溶剂中有聚合、团聚形成大颗粒的趋势,在重力的作用下发生沉降现象,造成流延浆料稳定性较差。本实验系统研究了pH值和分散剂对流延浆料稳定性的影响[17]。图 2为固相含量为10%的悬浮液在不同pH值下静置30min后SVP和Zeta电位的变化。随着pH值的增大,SVP从35%增加到约58%,Zeta电位逐渐减小,说明粉末颗粒越容易发生团聚和沉降,悬浮液沉降速率增快,分散稳定性变差。同时在酸性环境下即pH<7时,悬浮液有较小的SVP值和较大的Zeta值,且变化范围较小,说明酸性条件下悬浮液沉降缓慢,有较好的分散稳定性。由于实验不宜在过酸性环境下进行,所以实验选择在调节pH值为6的条件下进行。
|
图 2 不同pH值下的SVP值(a)和Zeta电位(b)的变化 Fig. 2 Variation of sedimentation volume percentage (a) and Zeta potential of slurry (b) with different pH values |
为了研究分散剂对流延浆料稳定性的影响,分别采用磷酸三丁酯、三油酸甘油酯、三乙醇胺作为分散剂进行实验,图 3为不同分散剂及其添加量对浆料的SVP和Zeta电位的影响。从图 3(a)可知,随着分散剂添加量的增加,SVP呈现减小的趋势,磷酸三丁酯具有最低的沉降体积分数SVP,说明磷酸三丁酯分散效果最佳。当磷酸三丁酯添加量为2%时浆料SVP降低到10%,随着添加量的继续提高,浆料SVP基本没有变化。图 3(b)为磷酸三丁酯添加量与Zeta电位的关系,随着添加量增加,悬浮液Zeta电位值增大,悬浮液的分散稳定性提高,当添加2%磷酸三丁酯,浆料的Zeta电位值为-34mV。主要原因可能是一种阴离子型表面活性剂,主链或支链上的基团可发生离解而带电,吸附在粉体颗粒表面,产生静电排斥效应;同时磷酸三丁酯在溶剂中形成的链状分子吸附到陶瓷颗粒表面,在颗粒之间产生空间位阻效应,使SVP值减小,悬浮液的分散稳定性提高。
|
图 3 不同分散剂及其添加量对浆料的SVP(a)和Zeta电位(b)的影响 Fig. 3 Effect of sedimentation volume percentage (a) and Zeta potential (b) of slurry with different dispersants and different addition amounts |
图 4为调节pH=6,添加2%磷酸三丁酯分散剂时,固相含量对浆料黏度的影响。当固相含量为40%,50%,60%时,流延浆料的黏度较低,稳定性较好。当固相含量为70%时,在较低的剪切速率下,浆料的黏度增加较大,最大值为2Pa·s,随着剪切速率增加,黏度下降,说明浆料具有剪切变稀的特性。因为固相含量增加时,单位体积内颗粒数目增多,增加了颗粒间碰撞和凝聚的概率,使颗粒间团聚沉降,导致其黏度增加。通常流延成型浆料在必须具有适于流延成形的低黏度(<1Pa·s)条件下,尽可能拥有较高的固相含量,料浆黏度过大不适合流延成型,综合上述条件,实验浆料的固相含量采用60%。
|
图 4 浆料黏度随固相含量的变化 Fig. 4 Variation of viscosity of slurries with different solid contents |
黏结剂的作用是使粉体颗粒黏结固化,黏结剂的种类和添加量对流延浆料有重要的影响。在黏结剂添加量的选择方面,若黏结剂添加量过少,则浆料的黏度过低,流延浆料太稀,流延浆料难以黏结固化成膜片,同时也会导致流延膜片的宽度不可控;若黏结剂添加量过多,则浆料的黏度过高,流延浆料的流动性不足,使料浆难以流延[18],所以本实验采用添加量为8%。
图 5为添加不同黏结剂对浆料黏度的影响。由图 5可见,随着剪切速率增大,浆料的黏度减小。选用乙基纤维素作为黏结剂的浆料黏度较大,并且随着剪切速率变化产生较大变化。而选用PVB作为黏结剂的浆料黏度较低,并且随着剪切速率增大,黏度变化幅度相对较小,所以选用8%的PVB作为流延成型黏结剂。
|
图 5 不同黏结剂种类对浆料黏度的影响 Fig. 5 Influence of different types of binders on viscosity of slurry |
增塑剂最重要的作用就是降低黏结剂的Tg(玻璃化转变温度),提高膜片的柔韧性,使流延浆料在流延过程中具有良好的流动性且不发生凝结现象,另外增塑剂对陶瓷粉体颗粒还起到润滑和桥联作用,有利于浆料的分散稳定,但加入增塑剂会使膜片的强度降低。常用的增塑剂有聚乙二醇、邻苯二甲酸酯和乙二醇等,而聚乙二醇通常用来与黏结剂PVB搭配使用。本实验定义R为增塑剂与黏结剂的质量比,来确定增塑剂的添加量。
|
(1) |
式中:M1为添加增塑剂的质量; M2为添加黏结剂的质量。
图 6为不同添加量增塑剂对流延浆料黏度的影响。由图 6可知,随着聚乙二醇添加量的增加, 陶瓷浆料的黏度不断下降。其原因是聚乙二醇的加入能插入PVB线形高分子链段之间,增大分子间距离,降低黏结剂黏度从而降低浆料的黏度。但当添加量较高(R=0.8)时,浆料黏度大幅增加,这可能是因为增塑剂聚乙二醇添加量过多导致的。综合上述条件,当R=0.6时,流延浆料黏度较低约为0.1Pa·s,随着剪切速率增大黏度减小,具有优异的流变性能,适于流延成型。
|
图 6 不同添加量增塑剂对浆料黏度的影响 Fig. 6 Effect of different addition amounts of plasticizers on viscosity of slurry |
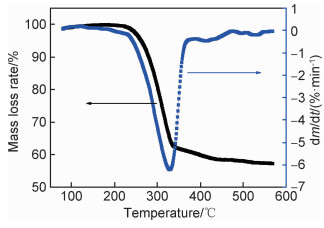
由于流延工艺中添加了较多添加剂,在烧结过程中存在添加剂分解产物的产生,产物扩散至表面,产物从表面挥发等过程,如何使这些有机试剂均匀有效挥发和排出,避免分解产物对基体材料的影响尤为重要。本实验对流延膜片进行了热重分析。图 7为流延膜片的TG/DTG曲线,由于测试条件升温速率较快为10℃/min,而有机添加剂挥发温度在150~300℃之间,所以DTG曲线中,随着温度的升高只出现了一个较大的吸收峰。而在图 7中左侧质量损失曲线中,从100℃开始出现质量损失,在200℃到300℃质量损失最大,说明在这个温度范围内有机物挥发较快,在500℃以后,TG曲线变化较小,说明有机物基本挥发完毕。由于陶瓷烧结过程温度较高,升温较快,温度快速增加会使流延膜片内部添加剂无法扩散到表面挥发,在流延膜片内部形成气泡或者空洞,影响流延膜片微观结构性能。所以本实验在烧结过程前设定了相应的排胶工艺,以缓慢的升温速率1℃/min升至500℃,在500℃保温1.5h,使有机物充分挥发。
|
图 7 流延膜片的TG/DTG曲线 Fig. 7 TG/DTG curves of the tape casting film |
图 8为压制成型和流延成型陶瓷在900℃烧结8h后的XRD图。从图 8可以看出,压制成型和流延成型的样品具有相同的物相组成,BiSmMoO6为主晶相,含有Sm2MoO6和MoO3第二相。结合热重分析结果可以说明经过排胶和烧结过程后流延成型膜片中有机物分解彻底,没有改变原有的物相组成。
|
图 8 压制成型和流延成型陶瓷的XRD图 Fig. 8 XRD patterns of ceramics made by dry pressing and tape casting |
图 9为流延膜片在不同温度下烧结8h和原始粉末的SEM图。由图 9(a)~(d)可知样品表面存在较多孔隙,这是由于在烧结过程中,膜片中的溶剂、黏结剂挥发所导致的。随着烧结温度的提高,烧结后的样品晶粒长大,空隙减少,致密化程度提高,流延膜片侧面断口形貌与表面形貌基本一致。从图 9(b),(d)可以看出,在900℃烧结8h的流延膜片晶体尺寸均匀,晶界清晰,结构致密。从图 9(e)中可以看出,粉末呈颗粒状,粒度范围在0.5~1μm之间,粉末粒径较小,满足流延成型对粉末要求。
|
图 9 流延膜片在不同温度烧结8h的SEM图(a)800℃,表面形貌; (b)900℃,表面形貌;(c)800℃,侧面断口; (d)900℃,侧面断口;(e)原始粉末 Fig. 9 SEM images of sintered at different temperatures for 8h (a)800℃, surface morphology; (b)900℃, surface morphology; (c)800℃, fracture morphology; (d)900℃, fracture morphology; (e)raw powder |
(1) 由于磷酸三丁酯是一种阴离子型表面活性剂,其主链或支链上的基团可发生离解而带电,吸附在粉体颗粒表面,产生静电排斥效应;同时磷酸三丁酯在溶剂中形成的链状分子吸附到陶瓷颗粒表面,在颗粒之间产生空间位阻效应,阻碍颗粒的团聚沉降。选用5%MoO3掺杂BiSmMoO6的陶瓷粉末作为流延成型基体粉末,乙醇/异丙醇作为混合溶剂,通过对流延浆料稳定性的研究发现当pH=6,分散剂磷酸三丁酯添加量为2%,固相含量为60%时,浆料分散性最好。
(2) 增塑剂聚乙二醇加入浆料后,穿插在陶瓷粉体颗粒和黏结剂之间,起到润滑和桥联作用,能有效地降低浆料的黏度,同时还强化了浆料的分散稳定性。发现黏结剂PVB添加量为8%,增塑剂聚乙二醇添加量为4.8%时,流延浆料具有剪切变稀特性和最低的黏度,且浆料黏度随剪切速率变化而变化的幅度最小,适合于流延成型。
(3) 通过对流延成型和压制成型的陶瓷样品进行XRD分析和热重分析,发现经过排胶和烧结后的流延成型陶瓷膜片的物相组成和晶体结构没有发生改变,有机物挥发彻底。
(4) 原始粉末呈颗粒状,粒度范围在0.5~1μm之间。在800℃烧结8h的流延膜片晶体细小,存在较多孔隙,致密化程度较低。在900℃烧结8h的流延膜片晶体尺寸均匀,晶界清晰,微观结构致密。
| [1] |
崔学民, 周济, 沈建红, 等. 低温共烧陶瓷(LTCC)材料的应用及研究现状[J].
材料导报, 2005, 19 (4): 1–4.
CUI X M, ZHOU J, SHEN J H, et al. Application and research progress of LTCC materials[J]. Materials Reports, 2005, 19 (4): 1–4. DOI: 10.3321/j.issn:1005-023X.2005.04.001 |
| [2] |
范启兵. LTCC陶瓷膜片的水基流延研究[D].成都: 电子科技大学, 2013. FAN Q B. Study on LTCC ceramic tapes prepared by aqueous tape casting[D]. Chengdu: University of Electronic Science and Technology of China, 2013. http://cdmd.cnki.com.cn/Article/CDMD-10614-1013330303.htm |
| [3] |
谭芳. CSLST微波介质陶瓷流延成型工艺及其性能研究[D].景德镇: 景德镇陶瓷学院, 2015. TAN F. Study on tape-casting processing and properties of CSLST microwave dielectric ceramic[D]. Jingdezhen: Jingdezhen Ceramic Institute, 2015. http://cdmd.cnki.com.cn/Article/CDMD-10408-1015642810.htm |
| [4] |
李绍纯, 耿永娟, 张启龙, 等. 水基流延制备Li1.075Nb0.625Ti0.45O3微波介质陶瓷基片[J].
人工晶体学报, 2011, 40 (1): 144–149.
LI S C, GENG Y J, ZHANG Q L, et al. Aqueous tape casting of Li1.075Nb0.625Ti0.45O3 microwave ceramic sheets[J]. Journal of Synihetic Crystals, 2011, 40 (1): 144–149. DOI: 10.3969/j.issn.1000-985X.2011.01.028 |
| [5] |
曹秀华, 王炼石, 胡建华, 等. X7R特性瓷粉水基流延成型制备镍电极多层陶瓷电容器的研究[J].
材料工程, 2006 (12): 21–23.
CAO X H, WANG L S, HU J H, et al. A queous tape-casting of X7R ceramic powder to prepare Ni electrode-multilayer ceramic capacitor[J]. Journal of Materials Engineering, 2006 (12): 21–23. DOI: 10.3969/j.issn.1001-4381.2006.12.005 |
| [6] |
黄勇, 向军辉, 谢志鹏, 等. 陶瓷材料流延成型研究现状[J].
硅酸盐通报, 2001, 20 (5): 22–27.
HUANG Y, XIANG J H, XIE Z P, et al. Present status of research on tape casting technology for ceramic materials[J]. Bulletin of the Chinese Ceramic Society, 2001, 20 (5): 22–27. DOI: 10.3969/j.issn.1001-1625.2001.05.005 |
| [7] | ŞAKAR D A, ÇELIK E, POLAT M. Thermal analysis and microstructural characterization of ceramic green tapes prepared by aqueous tape casting[J]. J Therm Anal Calorim, 2008, 94 (3): 663–667. DOI: 10.1007/s10973-008-9364-9 |
| [8] |
韩敏芳, 彭苏萍, 杨翠柏, 等. YSZ纳米粉料流延成型电解质薄膜性能研究[J].
功能材料, 2003, 34 (5): 540–542.
HAN M F, PENG S P, YANG C B, et al. Properties of YSZ electrolyte thin film made by tape casting from nano crystalline powders[J]. Functional Materials, 2003, 34 (5): 540–542. DOI: 10.3321/j.issn:1001-9731.2003.05.022 |
| [9] |
陈殿营, 张宝林, 庄汉锐, 等. 氮化硅流延膜的制备[J].
硅酸盐通报, 2003, 22 (6): 71–74.
CHEN D Y, ZHANG B L, ZHUANG H R, et al. Preparation of silicon nitride slips by tape casting[J]. Bulletin of the Chinese Ceramic Society, 2003, 22 (6): 71–74. DOI: 10.3969/j.issn.1001-1625.2003.06.018 |
| [10] | GUO H, FANG L, JIANG X, et al. Li2Zn2W2O9:a novel low-temperature sintering microwave dielectric ceramic with corundum structure[J]. Ceramics International, 2016, 42 (4): 5553–5557. DOI: 10.1016/j.ceramint.2015.12.018 |
| [11] | JIANG X, FANG L, XIANG H, et al. a novel low-firing microwave dielectric ceramic NaMg4V3O12 and its chemical compatibility with silver electrode[J]. Ceramics International, 2015, 41 (10): 13878–13882. DOI: 10.1016/j.ceramint.2015.07.107 |
| [12] | LI H, HUANG Z, CHENG L, et al. Structure and dielectric properties of novel low temperature co-fired Bi2O3-RE2O3-MoO3 (RE=Pr, Nd, Sm, and Yb) based microwave ceramics[J]. Ceramics International, 2017, 43 (5): 4570–4575. DOI: 10.1016/j.ceramint.2016.12.115 |
| [13] | FANG L, GUO H, FANG W, et al. BaTa2V2O11:a novel low fired microwave dielectric ceramic[J]. Journal of the European Ceramic Society, 2015, 35 (13): 3765–3770. DOI: 10.1016/j.jeurceramsoc.2015.04.042 |
| [14] | UMEMURA R, OGAVA H, KAN A. Low temperature sintering and microwave dielectric properties of (Mg3-xZnx)(VO4)2 ceramics[J]. Journal of the European Ceramic Society, 2006, 26 (10): 2063–2068. |
| [15] | ZOU J L, ZHANG Q L, YANG H, et al. A new system of low temperature sintering ZnO-SiO2 dielectric ceramics[J]. Japanese Journal of Applied Physics, 2006, 45 (5A): 4143–4145. DOI: 10.1143/JJAP.45.4143 |
| [16] | TOHDO Y, KAKIMOTO K, OHSATO H, et al. Microwave dielectric properties and crystal structure of homologous compounds ALa4Ti4O15 (A=Ba, Sr and Ca) for base station applications[J]. Journal of the European Ceramic Society, 2006, 26 (10): 2039–2043. |
| [17] | WENG M H, LIANG T J, HUANG C L. Lowering of sintering temperature and microwave dielectric properties of BaTi4O9 ceramics prepared by the polymeric precursor method[J]. Journal of the European Ceramic Society, 2002, 22 (9): 1693–1698. |
| [18] |
李冬云, 乔冠军, 金志浩. 流延法制备陶瓷薄片的研究进展[J].
硅酸盐通报, 2004, 23 (2): 44–47.
LI D Y, QIAO G J, JIN Z H. Research development of ceramic slice by tape-casting technique[J]. Bulletin of the Chinese Ceramic Society, 2004, 23 (2): 44–47. DOI: 10.3969/j.issn.1001-1625.2004.02.012 |
2019, Vol. 47
