2. 国家测绘地理信息局 卫星测绘应用中心,北京 100830
2. Satellite Surveying and Mapping Application Center,National Administration of Surveying,Mapping and Geoinformation,Beijing 100830,China
1 引 言
目前国产光学卫星的无控、带控几何精度与国外同类卫星差距甚远,其中的一个主要原因是国内对在轨几何检校研究的不多。在外方位元素检校方面,国内学者提出过偏移矩阵[1]、姿态系统误差检校[2, 3]等方法,但利用这些方法完成外方位元素检校后,国内在轨卫星的无控定位精度普遍仍在百米量级;而国外如SPOT5、IKONOS等检校后的无控定位精度均优于50 m,Geoeye、WorldView-1、2无控定位精度更在10 m以内[4, 5, 6, 7, 8, 9, 10, 11]。在内方位元素检校方面,国内学者研究过航天卫星的内方位元素建模[12, 13],却少有针对国产卫星的试验验证及模型精度评估。在没有对相机畸变进行标定情况下,国产卫星影像即使采用足够数量控制点,其几何纠正精度仅能达到3~4像素[14, 15],而国外卫星影像经过内方位元素检校后的几何纠正精度普遍在一个像素以内[4, 5, 6, 7, 8, 9, 10, 11]。
资源三号测绘卫星是我国第一颗民用立体测绘卫星,用于生产全国基础地理信息1∶5万测绘产品及1∶2.5万或更大比例尺地图的修测和更新,开展国土资源调查和监测[16]。资源三号搭载4台相机,一台2.1 m地面分辨率的正视相机、两台3.6 m分辨率的前视、后视相机和一台分辨率5.8 m的多光谱相机。
表 1详细列出了资源三号载荷信息。为了保证幅宽,资源三号三线阵相机和多光谱相机均采用多CCD拼接,图 1中为资源三号三线阵相机焦面简图,其中正视相机采用3片CCD拼接,重叠像素约为23个,前后视相机采用4片CCD拼接,重叠像素约为27个。
| 载荷信息 | 全色相机(前视、后视、正视) | 多光谱相机 |
| 光谱范围 | 0.5~0.8 μm | 蓝:0.45~0.52 μm 绿:0.52~0.59 μm 红:0.63~0.69 μm 近红外:0.77~0.89 μm |
| 地面分辨率 | 正视:2.1 m 前后视:3.5 m | 5.8 m |
| 焦距 | 1700 mm | 1750 mm |
| 像素大小 | 正视:(8192×3)×7 μm; 前后视:(4096×4)×10 μm | (3072×3)×20 μm |
| 幅宽 | 52 km | 52 km |
|
| 图 1 资源三号三线阵相机焦面简图 Fig. 1 Diagrams of ZY-3 three-line camera focal plane |
在轨几何检校是测绘卫星实现立体测图的关键。通过在轨几何检校消除资源三号卫星在轨成像系统误差,是保障资源三号卫星影像几何质量、完成立体测图任务的关键[17]。本文通过在线阵推扫式严密成像几何模型中引入用于消除载荷安装、姿轨测量等系统误差的偏置矩阵和多线阵CCD内方位元素模型,构建了用于在轨几何检校的严密成像几何模型,为了消除姿态抖动等对内方位元素检校的影响,提出了多检校场检校的几何模型,并利用该模型和华北多个区域的1∶2000控制数据完成了资源三号三线阵相机的在轨几何检校,利用带有靶标的三线阵数据验证了几何检校的精度。
2 在轨几何检校的严密成像几何模型严密成像几何模型的建立是在轨几何检校的基础。文献[18]根据星载光学推扫成像几何建立了严密成像几何模型,即
式中,m为成像比例;[Xs Ys Zs]T为成像时卫星在WGS-84系下的位置矢量;[X Y Z]WGS-84T为影像点对应的WGS-84系下的物方点坐标;Rcamerabody是由相机在本体坐标系下的安装角确定的转换矩阵;RbodyJ2000是由定姿设备(星敏或陀螺)测量处理得到的本体坐标系与J2000坐标系转换矩阵;RJ2000WGS-84为J2000坐标系相对WGS-84坐标系的转换矩阵;[Dx Dy Dz]T、[dx dy dz]T分别为GPS相位中心在本体坐标系中的偏移及相机坐标系相对本体坐标系的原点偏移;(x0,y0,f)为主点、主距表示的内方位元素。式(1)能最为精确地表达资源三号卫星三线阵相机成像几何,但却由于模型参数相关性,不适宜作为用于几何检校的严密成像几何模型。
2.1 引入偏置矩阵的严密成像几何模型星载光学推扫成像中,轨道误差与姿态误差影响几何定位精度的特性不同[19],但是两者可依据一定的几何关系进行等效处理[20]。
如图 2所示,S表示当前时刻卫星成像的真实位置,DX为卫星位置偏移误差。由图中几何关系,轨道误差DX可以等效成姿态误差dθ,两者对几何定位精度影响一致。另外,式(1)中,[Dx Dy Dz]T、[dx dy dz]T对几何定位精度的影响完全一致,可以合并成等效的相机坐标系原点偏移误差[ΔX ΔY ΔZ]T,依图 2原理等效为相机安装角误差,合并成等效的Rcamerabody。因而,通过引入正交旋转矩阵(偏置矩阵)RU补偿实际成像光线与理想成像光线的指向偏差,便可消除姿轨测量误差、测量设备及相机安装误差。当利用多检校场进行在轨几何检校时,对每景影像均需解求对应的偏置矩阵RU,即
式中,上标i表示第i景对应参数。
|
| 图 2 轨道误差与姿态误差等效关系 Fig. 2 The equivalent relationship between the satellite position error and the attitude error |
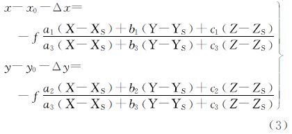
对公式(2)引入内方位元素误差引起的像点偏移(Δx,Δy),式(2)可化为
式中,RJ2000WGS-84 RbodyJ2000 RURcamerabody=RcameraWGS-84=
,(Δx,Δy)表示由内方位元素误差引起的像点偏移,具体包含如下。
2.2.1 主点偏移误差假定主点x0、y0的平移误差为Δx0、Δy0,则其引起的像点偏移为等量平移,即
2.2.2 主距误差对式(3)主距f求偏导,得主距误差Δf引起的像点偏移
2.2.3 探元尺寸误差假定探元s0位置为主点位置,则对线阵CCD上任意探元s,其像主点坐标为
式中,ps为探元尺寸大小。假定探元尺寸误差为Δps,则由公式(6)知
2.2.4 CCD旋转误差由于卫星发射时的受力及在轨物理环境的剧烈变化,多CCD排列会发生变化,主要是阵列旋转变化。如图 3即为在轨后线阵CCD阵列排列的旋转变化。
|
| 图 3 CCD排列旋转误差 Fig. 3 The rotation angle of CCD line array |
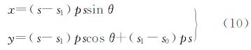
如图 3(b),现假定线阵列排列旋转角为θ,旋转中心在探元s1位置,而主点位置仍为s0。则对于任意探元s,在坐标系s1x′y′中有
依据图 3(b)几何关系,其在s1xy中的坐标为
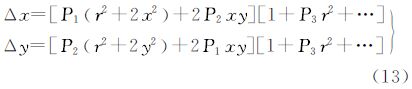
因s1xy与s0xy仅存在坐标平移关系,则s探元的像主点坐标为 比较式(8)与式(10)可知 2.2.5 镜头光学畸变镜头光学畸变主要包括径向畸变及偏心畸变[21, 22, 23]。其中径向畸变模型为
偏心畸变模型为 式中,r2=x2+y2。 2.2.6 多CCD线阵内方位元素模型
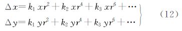
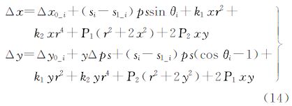
对于多线阵CCD传感器,考虑如下因素:① 像主点坐标系中满足x≈0(理想情况x=0);② 主距误差像点偏移-
Δf、与探元尺寸误差像点偏移(s-s0)Δps对定位误差规律一致,可合并处理;③ 各线阵CCD的偏移误差及排列旋转误差各不相同,需要分别解求各线阵的偏移误差及旋转误差;④ 为避免镜头畸变参数过度参数化降低内方位元素求解精度,对径向畸变仅解求k1、k2,偏心畸变解求P1、P2。综上,多线阵CCD内方位元素误差模型为
考虑到较短时间内相机内方位元素具有稳定性,因此当利用多检校场进行在轨几何检校时,利用所有影像控制点解求同一套内方位元素模型参数。
3 试验验证及分析 3.1 资源三号测绘卫星几何检校和验证数据本文利用登封检校场区域和天津范围的1∶2000 DOM、DEM作为联合检校的控制数据,其中,登封检校场数据采集于2010年,区域内基本是平原,在西南角存在高差在600 m的山地,覆盖范围为50 km×50 km;天津检校场数据采集于2008年,区域内均为平地,高差小于12 m。
联合几何检校中用到的资源三号影像分别为成像于2012-02-03的登封区域三线阵影像及成像于2012-02-28的天津区域三线阵影像。
为了验证偏置矩阵的有效性,选取多个非检校区域资源三号影像与Google Earth上同区域点进行坐标比对来评价偏置矩阵的补偿效果。在试验中,选取Google Earth上几何精度更高的Geoeye、IKONOS图层作为参考。
利用2012-02-18河北安平靶标区域的资源三号三线阵影像验证内方位元素检校的正确性和精确性。该区域覆盖了人工布设的30个靶标控制点,如图 4所示,它们的地面坐标由GPS测得,精度优于0.1 m;并通过高精度靶标提取算法获取像点坐标,靶标提取精度在0.07~0.1像素,利用该景30个靶标点验证了几何检校后的立体平差精度。
|
| 图 4 河北安平靶标控制点(▲控制点,● 检查点) Fig. 4 The reference points of Anping area (▲ control points,●check points) |
采用高精度相位相关的配准算法[24]对资源三号影像和DOM进行配准,获取高精度控制点。在2012-02-03登封景前、正、后视影像上分别获得4225、33 620、3566个控制点,2012-02-28天津景前、正、后视影像上分别获得1676、2395、1571个控制点。经过误配准点剔除后,各景影像的控制点分布均匀。由于天津区域资源三号影像与天津区域1∶2000的DOM成像间隔较大,地物有变化,配准精度和配准点个数不及2012-02-03登封景。表 2为资源三号正视相机偏置矩阵解求后精度评价结果(前后视相机结果一致),为方便比对说明,将内方位元素检校后精度评价结果提前列表。
| 像素 | |||||||
| 沿轨 | 垂轨 | ||||||
| min | max | RMS | min | max | RMS | ||
| 2012-02-03 登封景 | 直接定位 | 83.149 69 | 170.676 6 | 128.228 4 | 419.108 2 | 426.509 1 | 422.112 4 |
| 标定偏置 | 0.000 008 | 0.440 353 | 0.123 164 | 0.000 041 | 3.716 357 | 1.720 785 | |
| 内检校 | 0.000 008 | 0.444 277 | 0.121 68 | 0.000 005 | 0.798 071 | 0.206 387 | |
| 2012-02-28 天津景 | 直接定位 | 77.410 62 | 159.335 7 | 119.901 2 | 415.341 8 | 423.167 6 | 418.334 8 |
| 标定偏置 | 0.000 326 | 1.010 742 | 0.307 172 | 0.003 22 | 4.075 547 | 1.765 868 | |
| 内检校 | 0.000 123 | 0.990 044 | 0.308 07 | 0.000 349 | 1.540 99 | 0.551 337 | |
由表 2可知,2012-02-03登封景、2012-02-28天津景定位精度非常接近。由于卫星发射过程中受力,相机安装矩阵在轨后发生变化,影像的直接定位精度较差,沿轨约为128像素(128像素×2.1 m=268.8 m),垂轨向约422像素(422像素×2.1 m=886.2 m)。解求两景的偏置矩阵后,其几何定位精度提升明显,沿轨向精度优于1像素,垂轨向优于2像素。
3.2.2 偏置矩阵补偿精度验证利用2012-02-03登封景检校获得的偏置矩阵对其他时间和地点获取的资源三号影像进行补偿处理,利用Google Earth高分图层验证了内蒙古、安徽、江西、宁波等区域三线阵影像中正视影像平面精度均优于20 m,如表 3所示。该结果表明偏置矩阵补偿了资源三号相机安装及姿轨测量的系统误差,提升了资源三号三线阵无控定位精度。
| m | ||
| 地区 | 成像时间 | 平面精度 |
| 内蒙古 | 2012-02-02 | 14.109 8 |
| 安徽省合肥市 | 2012-03-24 | 8.671 85 |
| 江西省进贤县 | 2012-03-24 | 18.588 14 |
| 宁波地区 | 2012-03-25 | 9.261 451 |
| 四川凉山地区 | 2012-03-26 | 7.061 707 |
| 银川市 | 2012-04-15 | 18.720 4 |
| 印度(北方邦) | 2012-05-10 | 13.151 91 |
| 俄罗斯(秋明州) | 2012-07-28 | 13.959 96 |
从表 2可知,通过偏置标定后,垂直轨道方向存在接近两个像素的误差。2012-02-03登封景正视影像解求偏置矩阵以后的残差图(前、后视影像规律一致)如图 5所示,其中横坐标为影像列,纵坐标为垂轨、沿轨残差。
|
| 图 5 2012-02-03登封景正视影像解求偏置矩阵后残差规律图 Fig. 5 Residual error feature of 2012-02-03 Dengfeng nadir image after calculating the offset matrix |
从图 5可看到,垂轨、沿轨误差均呈现较为明显的线性规律,且各片CCD间残差大小略有差异(图中虚线椭圆所示)。资源三号三线阵相机设计为无镜头光学畸变系统,一般镜头畸变均为高阶误差,可推测正视相机镜头畸变非常小。考虑内方位元素线性误差中,比例误差仅影响垂轨向精度,而旋转角误差既影响垂轨向精度,又影响沿轨向精度,且均为线性规律。可推测正视相机中内方位元素误差不存在光学镜头畸变,而仅可能存在主点偏移、比例缩放及CCD排列旋转角误差。因此,本文标定中对资源三号三线阵影像仅解求主点偏移、比例缩放及CCD排列旋转误差。内方位元素检校后的精度评价结果见表 2。在式(14)中,由于线阵CCD中x≈0,且一般排列旋转角很小,因此内方位元素误差主要影响垂轨方向,经过内方位元素几何检校后主要提升垂轨向精度。由表 2可知,经过内方位元素检校后,沿轨向精度没有明显改善,但垂轨向精度提升明显,且两景均优于0.3像素。但2012-02-28天津景几何检校后精度不及2012-02-03登封景,这是由配准精度差异造成的。
图 6为2012-02-03登封景几何检校后的定位残差图,从图 6(a)中可以看到,经过偏置矩阵解求后,定位残差图呈现“两边大、中间小”的趋势,具有一定的对称性;而图 6(b)中,进一步经过内方位元素几何检校后,残差不存在明显的畸变特性,分布随机。
|
| 图 6 2012-02-03登封景前视影像几何检校残差图 Fig. 6 Residual error of 2012-02-03 Dengfeng foward image after geometric calibration |
在内方位元素检校基础上,利用河北安平区域靶标点验证整个几何检校后的立体平差精度(包含三视和两视情况)。采用高分光学影像中基于RFM模型的像面仿射模型作为立体平差模型,一共设置3组平差条件,平差结果如表 4所示:
(1)直接利用安平区域资源三号影像进行平差,30个靶标点均作为检查点。
(2)选取周边6个靶标点作为控制点,其余24个靶标点作为检查点,进行立体平差,控制点分布如图 4所示。
(3)将30个靶标点全部作为控制点,进行立体平差。
| m | |||||||
| 方案 | 控制点数 | 平面 | 高程 | ||||
| min | max | RMS | min | max | RMS | ||
| 前、后两视 立体平差 | 无控 | 11.019 | 12.604 | 11.722 | 6.332 | 8.045 | 7.396 |
| 6控 | 0.084 | 1.316 | 0.535 | 0.018 | 0.813 | 0.432 | |
| 全控 | 0.031 | 0.915 | 0.338 | 0.007 | 0.962 | 0.425 | |
| 前、正、后三视 立体平差 | 无控 | 10.123 | 11.834 | 10.963 | 6.022 | 8.876 | 7.768 |
| 6控 | 0.07 | 0.798 | 0.409 | 0.007 | 1.066 | 0.507 | |
| 全控 | 0.024 | 0.832 | 0.296 | 0.026 | 1.011 | 0.32 | |
资源三号测绘卫星设计的立体交会角约为47°,对应基高比约为0.87。靶标提取精度在0.07~0.15像素之间(提取精度与靶标清晰度和信噪比有关),根据摄影测量基高比与高程精度之间关系

在靶标点区域,资源三号理论高程精度在0.40~0.85 m之间。由表 4,利用多检校场联合几何检校的结果进行带控立体平差中,最大高程误差优于1 m,高程中误差优于0.5 m,均接近在靶标条件下资源三号所能达到的理论精度,也同时验证了几何检校结果的可靠性。
4 结 论本文对星载光学的常规严密成像几何模型进行了相关参数合并,构建了用于几何检校的严密成像几何模型,在模型中引入偏置矩阵,消除了由姿轨测量、载荷安装等系统误差对几何定位精度的影响,提升了卫星的无控制点定位精度;推导了多线阵CCD内方位元素模型,消除了相机内部畸变对几何定位精度的影响,提升了卫星影像的内部几何精度;提出了多检校场联合检校的几何模型及检校方案,利用该模型对资源三号三线阵影像进行在轨几何检校。通过对试验结果的分析,可以得出如下结论:① 偏置矩阵能够补偿资源三号测绘卫星在轨成像的载荷安装、姿轨测量等系统误差,从而提高影像的无控定位精度,经过偏置矩阵补偿后,资源三号三线阵影像无控平面精度优于20 m;② 建立多线阵CCD拼接的内方位元素模型,在完成在轨内方位元素检校后,资源三号三线阵影像带靶标控制点的平面定位精度优于0.6 m,高程精度优于0.5 m,达到在靶标点条件下资源三号测绘卫星所能达到的理论极限精度。
| [1] | XU Jianyan, HOU Minghui, YU Jin, et al. Study of CBERS CCD Camera Bias Matrix Calculation and Its Application[J]. Spacecraft Recovery and Remote Sensing,2004, 25(4): 25-29.(徐建艳,侯明辉,于晋,等. 利用偏移矩阵提供CBERS图像预处理几何定位精度的方法研究[J]. 航天返回与遥感, 2004, 25(4): 25-29.) |
| [2] | YUAN Xiuxiao, YU Xiang. Calibration of Angular Systematic Errors for High Resolution Satellite Imagery[J]. Acta Geodaetica et Cartographica Sinica,2012, 41(3): 385-392.(袁修孝,余翔. 高分辨率卫星遥感影像姿态角系统误差检校[J]. 测绘学报,2012, 42(3): 385-392.) |
| [3] | YUAN Xiuxiao, YU Junpeng. Calibration of Constant Angular Error for High Resolution Remotely Sensed Imagery[J]. Acta Geodaetica et Cartographica Sinica,2008, 37(1): 36-41. (袁修孝,余俊鹏. 高分辨率卫星遥感影像的姿态角常差检校[J]. 测绘学报,2008, 37(1): 36-41.) |
| [4] | BECKETT K, RAMPERSAD C, PUTIH R, et al. Rapideye Product Quality Assessment[C]// Proceedings of SPIE. Berlin:SPIE, 2009: 1-10. |
| [5] | BOUILLON A, BRETON E, DE LUSSY F, et al. SPOT5 HRG and HRS First In-flight Geometric Quality Results[C]// Pelagia:[s.n.],2002: 212-223. |
| [6] | BOUILLON A, BRETON E, DE LUSSY F. SPOT5 Geometric Image Quality[C]// Proceedings of 2003 IEEE International Geoscience and Remote Sensing Symposium.Toulouse:IEEE, 2003: 303-305. |
| [7] | TADONO T, SHIMADA M, MURAKAMI H, et al. Initial Results of Calibration and Validation for PRISM and AVNIR-2[J]. Asian Journal Geoinformation,2006, 6(4): 11-20. |
| [8] | DIAL G, GRODECKI J. Ikonos Accuracy without Ground Control[C]//Proceedings of ISPRS Commission. [S.l.]:ISPRS,2002. |
| [9] | GRODECKI J, DIAL G. Ikonos Geometric Accuracy Validation[C]//Proceedings of ISPRS Commission. [S.l.]:ISPRS,2002. |
| [10] | MULAWA D. On-orbit Geometric Calibration of the OrbView-3 High Resolution Imaging Satellite[J]. International Archives of the Photogrammetry, Remote Sensing and Spatial Information Sciences,2004, 35(B1): 1-6. |
| [11] | TADONO T, SHIMADA M, HASHIMOTO T, et al. Results of Calibration and Validation of ALOS Optical Sensors, and Their Accuracy Assesments[C]// Proceedings of Geoscience and Remote Sensing Symposium. Barcelona:IGARSS,2007. |
| [12] | TANG Zhiqiang, SU Wenbo, GE Haijun. The Inner Orientation Modeling and Optimization of Space Line-array CCD Sensor[J]. Remote Sensing Information,2010(6): 3-5.(汤志强,苏文博,葛海军. 航天线阵CCD传感器内方位建模与优化[J]. 遥感信息,2010(6): 3-5.) |
| [13] | TANG Zhiqiang, FAN Dazhao, LIU Chubin, et al. Inner Orientation Modeling and Validation for Nadir Sensor of ALSO/PRISM[J]. Science of Surveying and Mapping, 2011, 36(6): 35-36.(汤志强,范大昭,刘楚斌,等. ALSO/PRISM下视传感器内方位分析与建模[J]. 测绘科学, 2011, 36(6): 35-36.) |
| [14] | ZHANG Guo, LI Deren, YUAN Xiuxiao, et al. The Mapping Accuracy of Satellite Imagery Block Adjustment[J]. Journal of Zhengzhou Institute of Surveying and Mapping,2006, 23(4): 239-241.(张过,李德仁,袁修孝,等. 卫星遥感影像的区域网平差成图精度[J]. 测绘科学技术学报,2006, 23(4): 239-241.) |
| [15] | ZHANG Guo, LI Yang, ZHU Xiaoyong, et al. Application of RFM in Geometric Rectification of Optical Satellite Image[J]. Spacecraft Recovery and Remote Sensing,2010,31(4):51-57.( 张过,李扬,祝小勇,等.有理函数模型在光学卫星影像几何纠正中的应用[J]. 航天返回与遥感,2010, 31(4):51-57) |
| [16] | 卫星测绘应用中心.资源三号高分辨率立体测图卫星大事记[EB/OL]. [2012-02-01]. http://www.sasmac.cn/portal_space/ |
| [17] | LI Deren. China’s First Civilian Three-line-array Stereo Mapping Satellite: ZY-3[J]. Acta Geodaetica et Cartographica Sinica,2012,41(3):317-322 ( 李德仁. 我国第一颗民用三线阵立体测图卫星-资源三号卫星[J]. 测绘学报, 2012. 41(3) :317-322) |
| [18] | TANG Xinming, ZHANG Guo, ZHU Xiaoyong, et al. Triple Linear-array Imaging Geometry Model of ZIYuan-3 Surveying Satellite and Its Validation[J]. Acta Geodaetica et Cartographica Sinica,2012,41(2): 191-198.( 唐新明,张过,祝小勇,等. 资源三号测绘卫星三线阵成像几何模型构建与精度初步验证[J]. 测绘学报,2012, 41(2): 191-198) |
| [19] | ZHANG Guo. Rectification for High Resolution Remote Sensing Image under Lack of Ground Control Points[D]. Wuhan:Wuhan University,2005.( 张过. 缺少控制点的高分辨率卫星遥感影像几何纠正[D]. 武汉:武汉大学, 2005.) |
| [20] | LIU Bin. Space-ground Intergated Attitude Determination of High-resolution Satellite and Geometric Image Processing under Jitter Conditions[D]. Wuhan:Wuhan University, 2011.(刘斌. 高分辨率光学卫星空地一体化定姿及姿态抖动下影像几何处理方法研究[D]. 武汉: 武汉大学, 2011.) |
| [21] | BROWN D C. Close-range Camera Calibration[J]. Photogrammetric Engineering and Remote Sensing,1971, 37(8): 855-866. |
| [22] | FRASER C S. Digital Camera Self-calibration[J]. ISPRS Journal of Photogrammetry and Remote Sensing,1997, 52(4): 149-159. |
| [23] | FRYER J G. Lens Distortion for Close-range Photogrammetry[J]. Photogrammetric Engineering and Remote Sensing,1986, 52(1): 51-58. |
| [24] | LEPRINCE S, BARBOT S, AYOUB F, et al. Automatic and Precise Orthorectification,Coregistration, and Subpixel Correlation of Satellite Images, Application to Ground Deformation Measurements[J]. IEEE Transactions on Geoscience and Remote Sensing,2007, 45(6): 1529-1558. |



