2. 广西国土资源信息中心,广西 南宁 530029
2. Land and Resources Information Center of Guangxi,Nanning 530029,China
1 引 言
合成孔径雷达(synthetic aperture radar,SAR)测图技术目前广泛应用在多云雾等测绘困难地区,实现全天时、全天候快速成像、测图的遥感手段,具有传统光学遥感技术不可比拟的独特优势[1]。而机载SAR系统由于其机动灵活、能够实现按需成像的特点,已成为当前国际对地观测领域的一个重要发展方向,具有广泛的市场应用前景[2, 3]。随着机载SAR系统的飞速发展,机载双天线干涉SAR(interferometric SAR,InSAR)已在地形测图中被广泛应用[4]。
经干涉处理得到未经地理编码的高程图(斜距高程图),由于斜距表达形式,不能直接使用。在机载InSAR处理中,干涉几何定标误差会给斜距高程图的高程信息带来误差[5]。常规的处理方式是依据SAR几何构像模型(如距离-多普勒模型)对斜距高程图进行地理编码,生成地理坐标系下的DEM成果。地理编码有直接重采样和间接重采样,直接重采样使用斜距高程信息,其精度受本身高程误差的影响;间接重采样需要外部DEM辅助,其精度受外部DEM高程信息影响,同时本身高程误差并未消除[6]。针对这一问题本文提出了基于斜距高程图的绝对定向模型,利用斜距高程信息结合相似变换的思想消除高程误差,建立由影像点到物方坐标的转换关系,用于机载InSAR主动定位和高精度的地理编码。
稀少控制条件下测图能够突破复杂地形、恶劣条件下难以实测控制点的限制,是目前测图技术的重要发展方向,而区域网平差是减少控制点、提高测图精度的有效技术手段[7]。文献[8]研究了POS辅助的区域网平差方法,显著提高了航空摄影效率;文献[9]采用区域网平差手段实现地形复杂地区稀少控制测图,并成功应用于西部测图工程。目前,对机载SAR区域网平差的研究主要是基于SAR影像[10, 11, 12, 13, 14],而针对干涉处理的平差研究相对较少,主要集中在干涉定标参数和高程值的求解上[15, 16, 17]。
2 绝对定向模型机载InSAR斜距高程图绝对定向模型,基于斜距高程图的高程信息消除像点之间相对位移,结合相似变换的思想,改正传感器位置与姿态误差、干涉几何定标误差等引起的高程误差,实现由影像坐标和斜距高程信息到地面三维坐标的换算。
模型通过斜地距变换改正由地形起伏引起的像点之间相对位移,将斜距高程图转换成地距高程图。然后根据空间相似变换,将地距高程图视为刚体,将其变形视为平移、缩放、旋转的组合,转换到物方地理坐标系下,模型定向参数包括ΔX、ΔY、ΔZ、φ、ω、κ、λi、λj。对于平移和旋转变换,分别通过平移偏量(ΔX,ΔY,ΔZ)和旋转角(φ,ω,κ)实现[18]。而对于缩放变形,在经过斜地距转换之后,像点高程值为相对高程,无缩放变形,而在方位向和距离向上存在缩放变形。由于造成方位向与距离向误差原因不同,距离向误差主要来源于初始斜距误差及距离向分辨率误差,方位向误差主要来源于时间同步的误差,表现在影像成像起始时间的偏差及行成像时间的偏差,所以方位向与距离向缩放变形大小并不相同,因而在方位向与距离向分别设置缩放系数,其中λi为方位向缩放因子,λj为距离向缩放因子。借助高精度POS数据及控制点可以解算模型变换参数,实现模型绝对定向,其流程如图 1所示。
|
| 图 1 机载InSAR绝对定向流程 Fig. 1 Absolute orientation flow of airborne InSAR |
为得到用于相似变换的地距高程图,建立模型空间直角坐标系(S—xyz),原点S为模型成像开始时刻传感器的位置;y轴指向飞行方向;x轴与y轴垂直,由近距指向远距;假设雷达右侧视,z轴则构成右手坐标系,如图 2所示。图中,P为地物点;h为该点高程;Si为P点成像时传感器所在位置;Rj为P点对应的斜距;Dj为其经过多普勒改正后的地距;η为斜视角;y为传感器飞行方向;H为航高。
|
| 图 2 斜地距转换示意图 Fig. 2 Sketch map of transfer slant range to ground range |
在飞行时,雷达波束照射方向通常与速度方向不垂直(η≠90°),表现为多普勒频率不为0。所以在进行斜地距转换前,需进行斜视角改正,将视线改正到与速度垂直的方向上,即将Rj转换为R′j,如式(2),使影像坐标归化到直角坐标系下。由影像参数文件可读取距离向像元大小mj;方位向像元大小mi;v为速度矢量模;fd为多普勒频移;λ为载波波长。斜视角计算如下式
斜距改算如下要得到刚体,需要消除影像点之间的相对位移,联合高程信息,进行斜视角改正和斜地距转换,得到模型空间直角坐标下的地距DEM。结合高程信息,斜距与地距的转换关系
经过斜地距转换后,地距高程图上的高程点在模型空间直角坐标系下的坐标为 2.2 摄测坐标系建立摄测坐标系(O—XYZ),以控制点中心点O为原点,飞行方向为Y轴(由于直线飞行,该轴平行于水平面),Z轴指向铅垂方向,X轴垂直于Y、Z轴,构成右手坐标系(如图 3)。
|
| 图 3 影像空间直角坐标系(S—xyz)与摄测坐标系(O—XYZ) Fig. 3 Image space rectangular coordinate system (S—xyz) and photogrammetric coordinate system (O—XYZ) |
已知Y轴与北方向顺时针的夹角为β(如飞行方向为从西往东,则β=90°),假设摄测坐标系原点O的地理坐标(NO,EO,hO),由控制点地理坐标进行平均得到,则对于任意地面点(Nt,Et,ht),由地理坐标计算摄测坐标(Xtp,Ytp,htp)
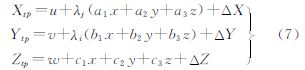
对上式进行变换,可得到由摄测坐标计算地理坐标公式。在地理坐标系下,由POS数据可以获得模型空间坐标原点S的地理坐标(NS,ES,hS),则可依据上式计算S在摄测坐标系下的坐标(u,v,w)。 2.3 相似变换经过斜视角改正和斜地距转换后,得到模型空间直角坐标系下的地距高程图,然后进行空间相似变换到摄测坐标系下。利用变换参数ΔX、ΔY、ΔZ、φ、ω、κ、λi、λj,两坐标系之间的变换公式如下
式中,(Xtp,Ytp,Ztp)为摄测坐标;(x,y,z)为模型空间直角坐标;MR是由旋转角计算得到的9个方向余弦所组成的旋转矩阵。 2.4 模型方程模型解算是利用控制点结合模型方程,反求模型参数,即ΔX、ΔY、ΔZ、φ、ω、κ、λi、λj。由式(6)得模型方程
将上式左边移到右边,并令其等于(F,G,H),得到平差观测方程上式即为机载InSAR斜距高程图绝对定向模型方程。对于控制点,已知其地理坐标(Ni,Ei,hi),可依据式(5)计算其摄测坐标(Xtpi,Ytpi,Ztpi),由其像点坐标(ii,ji)和斜距高程图中的高程信息可依据式(4)计算其模型空间坐标(xi,yi,zi),代入模型方程,利用3个以上控制点进行最小二乘平差解求变换参数,实现模型定向。从而建立由像点坐标和相对高程信息到地面三维坐标的映射关系,用于影像定位和地理编码。
3 区域网平差模型绝对定向模型不仅可以用于单个机载干涉像对斜距高程图的定位,也可以使用多个干涉像对构成区域网从而对多个斜距高程图联合区域网平差[9]。本文将基于绝对定向模型,进行斜距高程图区域网平差,实现机载InSAR区域网联合地理编码。平差过程首先将各个模型进行斜视角改正和斜地距转换得到地距高程图,然后将所有地距高程图经过相似变换到统一的摄测坐标系下,这样利用连接点将所有的模型关联起来,联合解算模型定向参数和模型公共点(加密点)摄测坐标[18]。区域网平差以各模型参数ΔX、ΔY、ΔZ、φ、ω、κ、λi、λj及加密点地理坐标为未知数,利用控制点信息,进行联合解算,其基本单元模型方程如式(9)。
设区域网内有m个模型,各模型上点数分别为n1、n2、…、nm,N=n1+n2+…+nm,其中量测点(多张影像同名点计为1个点)总数n,控制点数量p,加密点数量q,观测方程个数3N,未知数个数为8m+3q,有n<N,n=p+q。
对于每个影像点都能列出3个方程,并对未知数求导,线性化得到误差方程
其具体形式表现如下

t为模型定向未知数改正数;X为待定点的坐标改正数;d为模型点点号;c为模型编号;(X0,Y0,Z0)为加密点的摄测坐标均值,在迭代趋近中,每次用新坐标值代入求得。控制点摄测坐标为已知值,其改正数(dX,dY,dZ)为0。A矩阵是模型参数的系数矩阵,由多个3×8的单元模型系数矩阵组成,则A矩阵大小为3N×8m。B矩阵是加密点未知坐标的系数矩阵,由多个3×3的单元模型系数矩阵组成,大小为3N×3q。相应的法方程式为
对于模型方程的两类未知数,可以进行交替求解。即先解求模型参数改正数
然后将改正后的模型参数代入式(7)解求加密点的摄测坐标,对于加密点,其地理坐标有几个重叠模型方程联立进行解算,将新的模型参数和加密点摄测坐标作为初始值,进行反复迭代,直到定向参数改正值小于设定阈值[19]。不难看出,方程数量满足3N≥8×m+3×q是平差解算成功的必要条件。 4 机载InSAR区域网平差试验本文选取横断山脉地区的机载双天线InSAR数据[20],进行区域网平差试验。该试验区位于甘肃玛曲南部,高程范围从3400~3800 m,高差近400 m,属于山地地形,覆盖面积为16 km×14 km。试验选取3个航带,每个航带上各选取3个模型,航带号分别为2、4、6,模型编号为2-7、2-8、2-9、4-7、4-8、4-9、6-7、6-8、6-9,如图 4所示。模型航向重叠度为30%,旁向重叠度为65%以上,飞行方向均为由东向西,速度为130 m/s左右,飞行高度约为8700 m,X波段,单张影像大小为5460像素×9736像素,影像分辨率为2.5 m,干涉处理斜距高程图如图 5所示[21]。试验使用的控制点和检查点均由光学卫星影像加密获得,并通过人工立体量测方式转刺到SAR影像上,图 4中三角形即为转刺点。
|
| 图 4 机载InSAR区域网平差影像范围与点位分布(三角形为转刺点) Fig. 4 Image region of airborne InSAR block adjustment and location of points(trangles are transfer points) |
|
| 图 5 机载InSAR斜距高程图(编号2-7) Fig. 5 Slant range height map of airborne InSAR(model number is 2-7) |
平差试验中,点位布设方案如图 6所示,图中共有30个点,三角形为控制点,圆圈为加密点,矩形框为各个模型的边界。试验采取周边控制、周边及中心控制两种控制点布设原则,共设计了9种布设方案:4个控制点周边控制,5个控制点周边及中心控制,6个控制点周边控制,7个控制点周边及中心控制,8个控制点周边控制,9个控制点周边及中心控制,10个控制点全局控制,11个控制点全局控制,14个控制点全局控制。
|
| 图 6 平差控制点布设方案(三角) Fig. 6 Scheme of GCPs distribution in block adjustment |
利用上述9种布设方案分别进行平差处理,解算各模型定向参数。然后由控制点影像坐标出发,根据模型定向参数,解求得到地理坐标,和控制点已知地理坐标相减并统计中误差,由于控制点地理坐标时作为已知值参与平差,为内符合精度,故称为控制点残差。将平差解算得到的加密点地理坐标,和外业实测的地理坐标相减,统计中误差得到加密点误差。根据控制点布设方法的不同分成4组作对比分析,精度结果如表 1所示。
| m | ||||||
| 试验 | 布设原则 | 控制点 | 控制点残差 | 加密点误差 | ||
| 个数 | 平面 | 高程 | 平面 | 高程 | ||
| 1 | 周边控制 | 4 | 1.5 | 1.0 | 15.5 | 22.9 |
| 周边及中心控制 | 5 | 2.1 | 1.7 | 11.7 | 13.3 | |
| 2 | 周边控制 | 6 | 3.2 | 3.8 | 14.9 | 15.7 |
| 周边及中心控制 | 7 | 3.8 | 3.5 | 10.4 | 7.6 | |
| 3 | 周边控制 | 8 | 5.0 | 3.4 | 8.7 | 9.2 |
| 周边及中心控制 | 9 | 4.6 | 3.2 | 9.0 | 6.8 | |
| 4 | 全局控制 | 10 | 4.8 | 2.6 | 9.0 | 6.8 |
| 11 | 5.2 | 3.9 | 8.3 | 6.9 | ||
| 14 | 5.9 | 3.5 | 8.3 | 6.9 | ||
由于加密点地理坐标作为未知值进行平差,为外符合精度,故加密点误差为绝对误差,并作为平差解算精度的主要评价指标,以下所说的平差结果精度指的就是加密点误差。由以上平差试验结果可以看到,对于不同的控制点布设方案,平差结果精度也呈现一定的差异,并表现出一定的规律:
(1) 控制点布设方式对于平差结果的影响显著,特别是在控制点较少的情况下中心控制至关重要。试验结果表明,在进行周边控制基础上,加入中心控制,精度提高非常明显,第1组试验中由4个点周边控制平面精度15.5 m、高程22.9 m,在加入中心控制的以后精度提高到平面11.7 m、高程13.3 m,在第2组、第3组试验中呈现相同规律。
(2) 控制点数量对于平差精度也具有重要影响。在本次试验中,控制点布设数量逐步增加,在控制点数量较少的情况下,随着控制点数量增加平差精度提高较为明显,在分别采用5个、7个、9个周边及中心控制的布设方案时,各种方案的平差精度能得到快速提高,而在控制点超过9个时,平差精度趋于稳定。
(3) 在本次试验中,通过区域网平差能够求解出加密点地理坐标,说明了绝对定向模型的有效性,在9个控制点的情况下,平差精度趋于稳定达到平面9.0 m,高程6.8 m,结果表明,在利用光学区域网提供控制点的情况下,能够满足1∶50 000测图精度要求。
对于不同地形,区域网平差所需的控制点数量也不一样,在地形起伏较大地区,干涉处理容易受叠掩阴影的影响,误差分布较为复杂,需要较多的控制点才能满足测图要求,而在较为平坦的地形,干涉处理会较为理想,控制点需求也较少。
最后利用平差解算的模型定向参数可实现斜距高程图定位,将高程图按规则地理格网直接采样到地理坐标下生成DEM成果(图 7),即完成地理编码。
|
| 图 7 地理坐标系下的DEM(对应编号2-7) Fig. 7 DEM in geographic coordinate system (the original model number is 2-7) |
对于本文的方法和常规的干涉地理编码方法,基于距离-多普勒定位模型将模型2-7的高程图采样到地理坐标系下得到DEM成果,利用该区域内9个已知地面点,对DEM的高程精度进行检验(表 2),本文的地理编码方法消除了干涉几何定标误差导致高程误差,显著提高了DEM成果的精度。
| m | ||
| 点号 | 本文方法 DEM高程点误差 | 常规方法 DEM高程点误差 |
| 1 | 0.0 | 32.2 |
| 2 | -4.6 | -1.2 |
| 3 | -2.8 | 24.2 |
| 4 | 1.0 | 11.6 |
| 5 | -6.2 | -4.2 |
| 6 | -3.1 | 17.3 |
| 7 | 7.6 | 26.5 |
| 8 | 3.7 | 51.4 |
| 9 | -2.4 | 38.0 |
| RMS | 4.1 | 27.6 |
本文针对机载InSAR未经地理编码的斜距高程图,提出了机载InSAR斜距高程图绝对定向模型。模型利用高精度的相对高程信息,结合相似变换的思想,建立由影像坐标到地理坐标之间的映射关系。在绝对定向模型的基础上进行多个干涉对的区域网联合平差,实现稀少控制条件下的多片模型定向和模型公共点加密。利用高分辨率的机载InSAR数据进行区域网平差试验,对不同的点位布设方案进行比较分析,结果证明平差应采用周边及中心控制的控制点布设方式,在9个控制点情况下,加密精度趋于稳定,并且能够满足1∶50 000测图的精度要求。由于本文的控制点来自光学卫星影像,控制点本身具有一定的误差,如果利用外业实测控制点,区域网平差精度仍有较大的改善空间。
| [1] | SHU Ning. Principles of Microwave Remote Sensing [M]. Wuhan: Wuhan University Press, 2003:1-6. (舒宁.微波遥感原理[M].武汉:武汉大学出版社,2003:1-6. ) |
| [2] | ZHANG Jixian, YANG Minghui, HUANG Guoman. Prospect of Airborne SAR Technique in Terrain Mapping Application [J]. Science of Surveying and Mapping, 2004,29(6):24-26. (张继贤,杨明辉,黄国满.机载合成孔径雷达技术在地形测绘中的应用及其进展[J].测绘科学,2004,29(6):24-26.) |
| [3] | HAROLD A M. Digital Terrain Elevation Mapping System [C]//Proceedings of Aerospace Applications Conference.[s.l.]:IEEE, 1996, 4:91-105. |
| [4] | HUANG Guoman, ZHANG Jixian, ZHAO Zheng. Research on Airborne SAR Interferometry Mapping System [J]. Acta Geodaetica et Cartographica Sinica,2008, 37(3):277-279. (黄国满,张继贤,赵争.机载干涉SAR测绘制图应用系统研究[J]. 测绘学报,2008, 37(3):277-279.) |
| [5] | BELGUED Y. Application of Radar Triangulation to the Calibration of Interferometric DEM [C]//Proceedings of Geoscience and Remote Sensing Symposium (IGARSS 1998).Seattle:[s.n.],1998: 2665-2667. |
| [6] | YANG Jie, PAN Bin, LI Deren. Location of Spaceborne SAR Imagery without Reference Points [J]. Geomatics and Information Science of Wuhan University, 2006,31(2):144-147. (杨杰,潘斌,李德仁.无地面控制点的星载SAR影像直接对地定位研究[J].武汉大学学报:信息科学版,2006,31(2):144-147.) |
| [7] | PANG Lei, ZHANG Jixian. High Resolution Airborne SAR Triangulation Model [J]. Science of Surveying and Mapping, 2004, 29(6):38-40. (庞蕾,张继贤.高分辨率机载SAR影像空中三角测量模型[J].测绘科学, 2004, 29(6):38-40) |
| [8] | YUAN Xiuxiao. POS-supported Bundle Block Adjustment [J]. Acta Geodaetica et Cartographica Sinica, 2008, 37(2):342-348. (袁修孝.POS辅助光束法区域网平差[J].测绘学报,2008,37(2):342-348.) |
| [9] | ZHANG Li, ZHANG Jixian, CHEN Xiangyang, et al. Block-adjustment with SPOT-5 Imagery and Sparse GCPs Based on RFM [J]. Acta Geodaetica et Cartographica Sinica, 2009, 38(4):302-310. (张力, 张继贤, 陈向阳, 等. 基于有理多项式模型RFM的稀少控制SPOT-5卫星影像区域网平差[J]. 测绘学报, 2009, 38(4):302-310.) |
| [10] | PANG Lei, ZHANG Mingbo, ZHANG Jixian. High Resolution Airborne SAR Triangulation Application Supported by Sparse-GCPs [C]// Proceedings IEEE Transaction of Geosciences and Remote Sensing.[S.l.]:IEEE,2004: 2838 - 2840. |
| [11] | HUANG Guoman, YUE Xijuan, ZHAO Zheng. Block Adjustment with Airborne SAR Images Based on Polynomial Ortho-rectification [J]. Geomatics and Information Science of Wuhan University, 2008, 33(6): 569-572. (黄国满,岳昔娟,赵争.基于多项式正射纠正模型的机载SAR影像区域网平差[J].武汉大学学报:信息科学版, 2008, 33(6): 569-572.) |
| [12] | MA Jing, YOU Hongjian, LONG Hui. A New Method of Block Adjustment of Airborne SAR Images with Few GCPs [J]. Journal of Electronics and Information Technology,2010,32(12):2842-2846. (马婧,尤红建,龙辉.一种新的稀少控制条件下机载SAR影像区域网平差方法的研究[J]. 电子与信息学报,2010,32(12):2842-2846.) |
| [13] | THIERRY T. Path Processing and Bundle Adjustment with RADARSAT-1 SAR Images [C]// Proceedings of IEEE International Geosciences and Remote Sensing Symposium (IGARSS 2002).Toronto:IEEE,2002: 3432-3434. |
| [14] | ZHANG Jixian, CHENG Chunquan, HUANG Guoman. Block Adjustment of POS-supported Airborne SAR Images [C]//Proceedings of International Radar Symposium.[S.l.]:IRS,2011:863-868. |
| [15] | MA Jing, YOU Hongjian, HU Donghui. Principle and Accuracy Analysis of Block Adjustment for Airborne InSAR Image[C]//Proceedings of International Conference on Remote Sensing. [S.l.]:ICRS, 2010: 415-418. |
| [16] | HAN Songtao, XIANG Maosheng. A Bundle Adjustment Calibration Method for Airborne InSAR System Based on Weighting of Feature Points [J]. Journal of Electronics & Information Technology, 2010, 3(5): 1244-1247. (韩松涛, 向茂生. 一种基于特征点权重的机载InSAR 系统区域网干涉参数代表方法[J]. 电子与信息学报, 2010, 3(5): 1244-1247. ) |
| [17] | RAGGAM, GUTJAHR H, KARLHEINZ. InSAR Block Parameter Adjustment[C]//Proceedings of 3rd European Conference SAR.[S.l.]:NSF,2000: 493-496. |
| [18] | ZHANG Zuxun, ZHANG Jianqing. Digital Photogrammetry[M]. Wuhan:Wuhan University Press, 1997: 45-50. (张祖勋,张剑清. 数字摄影测量学[M]. 武汉:武汉大学出版社,1997: 45-50.) |
| [19] | YUE X J, HUANG G M, ZHANG Y. Multi-photo Combined Adjustment with Airborne SAR Images Based on Leberl Ortho-rectification Model [C]// Proceedings of the 21th ISPRS Congress.[S.l.]:ISPRS, 2008: 357-360. |
| [20] | ZHANG Jixian, WANG Zhang, HUANG Guoman.CASMSAR:The First Chinese Airborne SAR Mapping System [C]//Proceedings of SPIE-The International Society for Optical Engineering.[S.l.]:SPIE,2010. |
| [21] | WANG Ningna.Research on Airborne InSAR DEM Block Adjustment with Independent Model[D]. Beijing: Chinese Academy of Surveying and Mapping,2011.(王宁娜.机载InSAR独立模型法DEM区域网平差技术研究[D].北京:中国测绘科学研究院,2011.) |


