1 引 言
卫星跟踪卫星技术可以快速获取全球地球重力场中长波信息的精细结构[1],不仅可以获取地球重力场静态信息,而且可以获得重力场的时变信息,已经成为国际上地学领域的研究热点之一。地球重力场及其随时间的变化量反映了地球表层及其内部物质的空间分布、运动和变化,同时决定着大地水准面的起伏及变化[2, 3, 4, 5]。因此,确定地球重力场的精细结构及其时变信息不仅是大地测量学、地球物理学、地震学、海洋学、空间科学、国防建设等的需求,同时也将为全人类寻求资源、保护环境和预测灾害提供重要的信息资源[6, 7, 8, 9, 10]。
如表 1所示,GRACE(gravity recovery and climate experiment)双星计划由美国航空航天局(NASA)和德国航天局(DLR)共同研制开发[11 , 12],采用近圆形和近极地轨道设计。GRACE利用K波段测量系统高精度测量星间距离和星间距离变化率,利用高轨GPS卫星对低轨双星精密跟踪定轨,利用高精度SuperSTAR加速度计测量作用于双星间的非保守力。GRACE系统包含两组SST-HL,同时利用K波段测量系统获得高精度星间距离变化率数据,因此它得到的静态和动态全球重力场的精度比CHAMP(challenging mini-satellite payload)至少高出一个数量级。基于GRACE双星高精度感测中长波地球重力场的优秀表现,NASA提出了又一项专用于中短波地球重力场精密探测GRACE Follow-On未来卫星计划[13,14, 15]。GRACE Follow-On双星预期采用近圆、近极地的轨道设计,利用无拖曳控制及微推进技术高精度补偿双星所受到的非保守力,利用激光干涉星间测量系统高精度测量星间速度,利用高轨GPS卫星对低轨双星精密跟踪定位[16]。由表 1、表 2可以看出,GRACE Follow-On较大程度地降低了轨道高度,从而有效抑制了地球重力场随卫星轨道高度增加的衰减的效应,大幅度地提高了激光干涉系统星间距离变率的测量精度,同时利用无阻尼系统高精度补偿了双星受到的非保守力,因此使得GRACE Follow-On能以更高的分辨率和至少比GRACE高一个数量级的精度恢复静态和动态地球重力场[17]。
| 参 数 | 指 标 | |
| GRACE | GRACE Follow-On | |
| 发射时间 | 2002-03-17 | 2015—2020 |
| 卫星寿命/a | 5~10 | >2 |
| 轨道高度/km | 500~300 | 200~250 |
| 轨道倾角/(°) | 89 | 89 |
| 轨道离心率 | <0.004 | 0.001 |
| 星间距离/km | 220±50 | 50 |
| 跟踪模式 | SST-HL/LL | SST-HL/LL |
| 观测值 | 指 标 | |
| GRACE | GRACE Follow-On | |
| 星间测速精度/(m/s) | 1×10-6 | 1×10-9 |
| 轨道位置/m | 3×10-2 | 3×10-5 |
| 轨道速度/(m/s) | 3×10-5 | 3×10-8 |
| 非保守力测量精度 | 3×10-10 | 3×10-13 |
自1960年文献[18]提出卫星跟踪卫星(SST)技术确定地球重力场以来,国际大地测量学界的许多学者都积极投身于地球重力场恢复的方法与算法的理论研究和数值计算之中。在众多方法中,对于低低跟踪测量卫星,按照观测值分类可分为:基于轨道数据恢复重力场方法和基于星间距离变率数据恢复地球重力场方法。国内外很多研究机构在利用轨道数据和星间变率数据恢复地球重力场方面做出了大量的研究工作,取得了很多研究成果。在这些研究工作中鲜见将谱分析的方法引入其中。
基于以上原因,本文开展了基于轨道扰动引力谱分析的方法有效估计将来GRACE Follow-On双星分别利用轨道数据和星间变率数据恢复地球重力场的空间分辨率。给出了空间扰动引力3个方向的谱表达式,从垂直和水平两个方向(分别对应其轨道数据和星间变率数据)分别计算了GRACE Follow-On双星所受的高空扰动引力,并根据其谱特性及星载加速度计的测量噪声水平分析了其能够反演重力场的阶数。
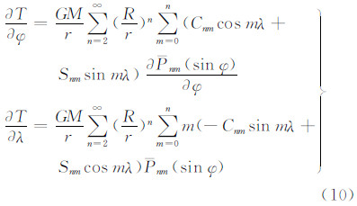
2 方 法 2.1 空间扰动引力谱表达式地球外部空间扰动位T的谱表达式为[19]
式中,T(r,φ,λ)表示点坐标为(r,φ,λ)处的扰动位;
是地球重力场一阶位;R是地球平均半径;
是正规化勒让德函数。空间扰动引力是空间扰动位方向导数,对其进行径向求导计算式为
式中,δgr是空间扰动引力在径向的分量,勒让德函数可采用递推式计算[20],这里不再给出详细递推式。进一步将式(2)写为谱表达式
式中
式(4)即为空间任意一点处第n阶的径向扰动引力谱表达式。在空间任意一点可计算扰动引力谱分量,显然绕卫星轨道一周,设定步长s°,在每一阶可算出K(K=360/s°+1)个扰动引力值,评价扰动引力谱的平均量级采用式(5)
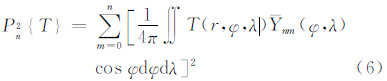
式中,[δgin]表示扰动引力谱的沿轨平均量级。式(5)在下文用于计算扰动引力谱平均量级。 2.2 累计大地水准面误差谱表达式模型地球扰动位的功率谱表达式为[19]
式中基于球谐函数的正交性,式(6)可简化为
大地水准面功率谱为
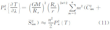
根据式(7)和式(8)可得P2n T与P2n N的关系为 由式(1)对φ和λ求异可得到 根据式(7)和式(10)可得到 由球对称性,
和
有相同的功率谱
根据能量守恒定律,单星观测方程可表示为
式中,
表示单星速度;V0表示中心引力位;C表示能量常数。
如图 1所示,OXYZ表示地心惯性系(ECI)GRACE Follow-On双星差分能量观测方程可表示为
式中,
表示沿星星连线方向的平均速度,
和
分别表示双星各自的绝对速度;
表示激光干涉星间测量系统的星间速度,
表示双星间的相对速度矢量,
表示由引导星指向尾随星的单位方向矢量;
表示双星扰动位差分,
表示地心角,ρ12表示双星间距离,
的功率谱表示为
|
| 图 1 GRACEFollow-On双星在轨飞行示意图 Fig. 1 ThetwosatellitesofGRACE Follow-On flyingfigure |
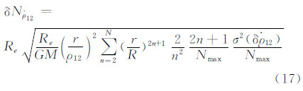
联合式(9)、式(12)和式(15)可得GRACE Follow-On卫星激光干涉星间测量系统星间速度误差谱
表示星间速度的方差;Nmax表示GRACE Follow-On地球重力场理论上可恢复的最高阶数
表示半波长空间分辨率;
表示卫星平均速度;Δt表示卫星观测值采样时间间隔。
基于式(15)和式(16),星间速度误差
影响累计大地水准面精度
的解析误差谱表达式模型如下
表示由每阶大地水准面误差转化到累计大地水准面误差的频谱因子。
3 结 果
GRACE Follow-On轨道高度、星间速度误差与空间地球重力场扰动引力谱特性及其反演地球重力场模型对应的累计大地水准面误差谱息息相关,须在扰动引力和累计大地水准面误差谱特性已知条件下,根据卫星轨道高度和星间速度误差确定其反演的地球重力场模型的分辨率。
本文主要从两个方面分析地球重力场空间扰动引力谱特性:一是空间地球重力场扰动引力谱垂直分布特性分析,即分析卫星轨道高度处扰动引力大小,与3×10-13 m/s2的星载加速度噪声水平比较,分析信噪比;二是累计大地水准面误差谱特性分析,即按照式(17)计算得到累计大地水准面误差谱,与GRACE Follow-On卫星设计的精度指标,分析其反演重力场模型的分辨率。空间扰动引力的计算采用EGM96地球重力场模型[21]。
3.1 径向扰动引力谱分布特性分析这里利用数值分析的方法计算GRACE Follow-On双星在不同轨道高度处径向扰动引力谱分量,分析其利用轨道数据能够反演地球重力场的空间分辨率。采用图示方法分析扰动引力径向分布特性,重点分析其250阶以后的扰动引力谱特性。
试验1:假设卫星轨道倾角为90°,设定卫星轨道高度分别为200 km和250 km,经度设定为0°,纬度为-90°~90°每隔0.5°计算一个空间扰动引力,绕轨道一周得到361个空间扰动引力值。按照式(5)计算一轨的空间扰动引力谱的标准差。将径向扰动引力分5段2~40、41~110、111~180、181~240、241~300分别表示在图 2(a)~2(e)中。
|
| 图 2 各谱段径向扰动引力标准差 Fig. 2 The std of radial disturbance gravity spectrum |
由图 2(a)~2(e)可见,扰动引力随轨道高度以及重力场模型阶数的增加而减少;200 km及250 km轨道高度处分别在242阶和281阶处的径向扰动引力值均超出了3×10-8 mGal(3×10-13 m/s2)的非保守力测量精度,显然在GRACE Follow-On星载加速度测量水平下,无法分离出相应的重力场信号。
因此,根据计算得到的空间扰动引力在各阶的谱量级,考虑到星载加速度噪声水平,利用GRACE Follow-On卫星的轨道数据在200 km和250 km轨高处分别能够反演至242阶和281阶的地球重力场模型。
3.2 大地水准面累计误差谱特性分析
研究表明,GRACE卫星任务恢复120阶地球重力场模型时对应的累计大地水准面精度约为18 cm[22],由于GRACE Follow-On任务的精度目标是高出GRACE卫星至少一个数量级,因此其所恢复的地球重力场最高阶所对应的累计大地水准面精度要优于1.8 cm。这里主要采用数值模拟方法计算GRACE Follow-On反演地球重力场对应的大地水准面累计误差,根据累计大地水准面误差谱特性及其优于1.8 cm的精度指标,分析该卫星利用星间距离变率数据能够反演重力场的分辨率。
试验2:假设GRACE Follow-On的轨道高度为200 km和250 km,星间距离为50 km,SST-LL系统的采样率为5 s,星间距离变化率误差为1×10-9 m/s,按照式(17)可以计算得到其恢复重力场所对应的累计大地水准面精度。计算结果统计分别如下图 3和表 3所示。
由图 3和表 3可以看出:轨道高度越低,GRACE Follow-On反演地球重力场所对应的累积大地水准面精度就越高。欲达到其1.8 cm的累计大地水准面精度指标,200 km和250 km轨道高度处分别能反演至286阶和228阶的地球重力场模型。
|
| 图 3 GRACE Follow-On星间变率数据反演地球重力场累计大地水准面误差谱(150~300阶) Fig. 3 The received gravity model corresponding accumulative geoid error spectrum using the satellite to satellite velocity data(150~300) |
| /cm | |||||||
| 轨道高度/km | 模型阶数 | ||||||
| 200 | 228 | 229 | 286 | 287 | 300 | 342 | |
| 200 | 0.17 | 0.35 | 0.36 | 1.75 | 1.81 | 2.60 | 8.75 |
| 250 | 0.68 | 1.76 | 1.82 | 13.6 | 14.1 | 46.0 | 97.2 |
本文开展了基于谱分析方法有效估计未来GRACE Follow-On卫星能够反演地球重力场空间分辨率的探索性研究,建立了空间径向扰动引力谱和累计大地水准面误差谱表达式模型,并利用该模型分别计算了扰动引力垂直谱与累计大地水准面谱,分析其谱特性,得到了一些有益的结论,具体如下:
(1) 扰动引力径向特性表明,根据对空间扰动引力在不同轨道高度处的谱特性分析,利用GRACE Follow-On的轨道数据,考虑到星载加速度计噪声水平,在200 km和250 km轨道高度处,分别能够反演281阶和242阶的地球重力场模型。
(2) 累计大地水准面误差谱特性表明,欲达到其1.8 cm的累计大地水准面精度指标,200 km和250 km轨道高度处分别能反演至286阶和228阶的地球重力场模型。
(3) 综合考虑加速度计噪声水平与大地水准面精度指标,GRACE Follow-On卫星在200 km和250 km轨道高度处,分别能够反演281阶和228阶的地球重力场模型。
| [1] | WANG Xingtao, LI Xiaoyan. Analysis of Errors for Earth Gravity Field Recovered by SST-LL[J]. Geomatics and Information Science of Wuhan University, 2009, 34(7): 770-773. (王兴涛,李晓燕. 低低卫卫跟踪恢复地球重力场的误差分析[J]. 武汉大学学报: 信息科学版, 2009, 34(7): 770-773.) |
| [2] | XU Houze. Satellite Gravity Missions: New Hot Point in Geodesy[J]. Science of Surveying and Mapping, 2001, 26(3): 1-3. (许厚泽. 卫星重力研究: 21世纪大地测量研究的新热点[J]. 测绘科学, 2001, 26(3): 1-3.) |
| [3] | NING Jinsheng. The Satellite Gravity Surveying Technology and Research of Earth’s Gravity Field[J]. Journal of Geodesy and Geodynamics, 2002, 22(1): 1-5. (宁津生. 卫星重力探测技术与地球重力场研究[J]. 大地测量与地球动力学, 2002, 22(1): 1-5.) |
| [4] | GAZENAVE A, NEREM R S. Redistributing Earth’s Mass[J]. Science, 2002, 297(5582): 783-784. |
| [5] | LI Fei, YUE Jianli, ZHANG Liming, et al. Determination of Geoid by GPS/Gravity Data[J]. Chinese Journal of Geophysics. 2005, 48(2): 294-298. (李斐,岳建利,张利明, 等. 应用GPS/重力数据确定(似)大地水准面[J]. 地球物理学报, 2005, 48(2): 294-298.) |
| [6] | XIAO Yun, XIA Zheren, WANG Xingtao. Recovering the Earth Gravity Field from Inter-satellite Range-rate of GRACE[J]. Acta Geodaetica et Cartographica Science, 2007,36(1):19-25. (肖云,夏哲仁,王兴涛. 用GRACE星间速度恢复地球重力场[J]. 测绘学报,2007,36(1):19-25.) |
| [7] | VELICOGNA I, WAHR J. Acceleration of Greenland Ice Mass Loss in Spring 2004[J]. Nature, 2006, 443(7109): 329-331. |
| [8] | SIMONS M, HAGER B H. Localization of the Gravity Field and the Signature of Glacial Rebound[J]. Nature, 1997, 390(6659): 500-504. |
| [9] | HAN S C, SHUM C K, BEVIS M, et al. Crustal Dilatation Observed by GRACE after the 2004 Sumatra-Andaman Earthquake[J]. Science, 2006, 313(5787): 658-662. |
| [10] | ZHONG M, NAITO I, KITOH A. Atmospheric, Hydrological and Ocean Current Contributions to Earth’s Annual Wobble and Length-of-day Signals Based on Output from a Climate Model[J]. Journal of Geophysical Research, 2003,108(B1): 2057-2064. |
| [11] | DAVID A. Gravity Measurement: Amazing GRACE[J]. Nature, 2002, 416(6876): 10-11. |
| [12] | RAMON V. GARCIA. Local Geoid Determination from GRACE Mission[R]. Ohio: Ohio State University, 2002. |
| [13] | ZHENG Wei, XU Houze, ZHONG Min, et al. Efficient and Rapid Estimation of the Accuracy of Future GRACE Follow-On Earth’s Gravitational Field Using the Analytic Method[J]. Chinese Journal of Geophysics, 2010, 53(4): 796-806. (郑伟, 许厚泽, 钟敏, 等. 利用解析法有效快速估计GRACE Follow-On地球重力场的精度[J]. 地球物理学报, 2010, 53(4): 796-806.) |
| [14] | LOOMIS B. Simulation Study of a Follow-On Gravity Mission to GRACE[D]. University of Colorado, 2005, 1-43. |
| [15] | FLECHTNER F, NEWMAYER K H, DOLL B, et al. GRAF: A GRACE Follow-On Mission Feasibility Study[R]. Vienna: EGU General Assembly 2009. |
| [16] | ZHENG W, XU H Z, ZHONG M, et al. Accurate and Rapid Error Estimation on Global Gravitational Field from Current GRACE and Future GRACE Follow-On Missions[J]. Chinese Physics: B,2009, 18(8): 3597-3604. |
| [17] | ZHENG Wei, XU Houze, ZHONG Min, et al. Research on Optimal Selection of Orbital Parameters in Improved-GRACE Satellite Gravity Measurement Mission[J]. Journal of Geodesy and Geodynamics, 2010, 30(2): 43-46. (郑伟,许厚泽,钟敏, 等. Improved-GRACE卫星重力轨道参数优化研究[J]. 大地测量与地球动力学,2010, 30(2): 43-46.) |
| [18] | BAKER R M L. Orbit Determination from Range and Range-rate Data[R]. Los Angeles: The Semi-annual Meeting of the American Rocket Society, 1960. |
| [19] | LU Zhonglian. Theories and Methods of the Gravitational Field[M]. Beijing: The Publishing Company of PLA,1996. (陆仲连. 地球重力场理论与方法[M]. 北京: 解放军出版社, 1996.) |
| [20] | LU Zhonglian. The Spherical Harmonic Function[R]. Zhengzhou:PLA Surveying and Mapping College, 1998. (陆仲连.球谐函数[R].郑州:解放军测绘学院, 1988.) |
| [21] | LIU Xiaogang, WU Xiaoping, ZHAO Dongming, WU Xing. Comparision of Trajectory Disturbing Gravity Calculated by the Earth Gravity Field Models of EGM96 and EGM2008[J]. Journal of Geodesy and Geodynamics, 2009,29(5):62-67. (刘晓刚,吴晓平,赵东明,吴星. EGM96和EGM2008重力场模型计算弹道扰动引力的比较[J]. 大地测量与地球动力学, 2009,29(5):62-67.) |
| [22] | LIU Xiaogang. Theory and Methods of Earth’s Gravity Field Model Recovery from GOCE Data[D]. Zhengzhou: PLA Information and Engineering University, 2011. (刘晓刚. GOCE卫星恢复地球重力场模型的理论与方法[D]. 郑州:解放军信息工程大学测绘学院, 2011.) |


