2. 全军危险性天气监测预警研究中心,国防科技大学气象海洋学院,南京211101
2. Significant Weather Monitoring and Early Warning Research Center of the Whole Army, College of Meteorology and Oceanography, National University of Defense Technology, Nanjing 211101
强对流过程是指发生突然、移动迅速、天气剧烈、破坏力强的灾害性天气过程,强对流系统属中小尺度系统(刘鑫华,2012)。飑线是深厚强对流系统,表现为线状,生命期相对较长(曾庆存,1979)。飑线是非锋面的或狭窄的线状活跃雷暴带,其长度通常为几百公里,但宽度仅几十公里,典型生命期约6~12 h,大于雷暴单体的生命期;其过境时有地面风向急转,温度猛降,气压陡升等不连续现象出现(寿绍文等,2016;陈云辉等,2019;李曦,2020)。2010年7月21-23日苏皖出现了强对流过程,并伴有雷暴和暴雨。21日05∶00 (北京时,下同)-23日05∶00 2 d的累计降雨量大于100 mm。南京暴雨过程发生在22日17∶00左右,并伴有瞬时强风出现。该过程主要特点是短时降水强度大。17∶00-18∶00 1 h内,南京江宁的国家基准站的雨量达到了55 mm,其中10 min雨量超过了20 mm。随后南京主城区雨势开始迅猛起来。18∶00-19∶00 1 h内,江苏省气象局所在的北极阁雨量达45 mm,南京一中达39.4 mm,南京九中达42.4 mm,玄武湖为38.8 mm,瑞金小区为36.6 mm。19∶00之后,主城区雨势普遍减弱;强降水区移至南京长江以北,江北大厂的华能电厂在19∶00-20∶00 1 h内降雨量达32 mm。在18∶30-19∶30的1 h内,南京范围内最大降雨量为江宁的国家基准站,降雨量61.1 mm,城区1 h降水最多的观测点为省气象局的北极阁,降雨量45.2 mm。21日20∶00-22日20∶00,南京范围内24 h降水量最大值为江宁国家基准站的62.8 mm。这次暴雨降水强度极大,造成多处路段积水形成内涝,给南京交通、水利和生产、生活带来很大影响。朱娟等(2016)对这次强对流天气过程及南京暴雨已做过分析诊断,并指出此强对流系统是由苏北飑线以及其西南端的苏皖MCC组成,南京位于这两者结合部,这是导致南京暴雨的直接原因。然而要研究该强对流过程及其中飑线的细致结构和演变,则面临观测资料,特别是地面以上资料的严重匮乏问题。雷达回波资料虽然在某种程度上能解决一定问题,但仍不够。要解决此困难,使用中尺度数值模式对该强对流过程进行数值模拟则是一种可行的手段。若模拟效果与实况接近,则该模拟结果就可代替实况资料用于研究。
20世纪80年代末,Zhang和Xu(1989)在国内最早开展了飑线的数值模拟,讨论了对流凝结加热对飑线生成和演变的影响。现在国内外对飑线的数值模拟和实验已有不少。梁建宇和孙建华(2012)对2009年6月3-4日一次产生地面大风的“人”字形强飑线过程进行了观测资料分析和数值模拟研究,指出成熟阶段垂直于该飑线系统的有三股入流,即其前部向后的入流、中层从后部到前部的入流以及前部的低层入流。李娜等(2013)对2009年8月17日发生在我国华东地区的一次飑线过程做了高分辨率数值模拟,指出该飑线低层冷池外流的冷空气与环境场西南暖湿气流之间的辐合是飑线持续发展的主要动力。岳俗甲(2016)针对2013年7月4-5日一次槽前型的飑线做了数值模拟和敏感性试验,研究了该飑线的中尺度结构特征、内在不稳定机制以及凝结潜热和地表通量对飑线的作用。Alfaro和Khairoutdinov (2015)探讨了热力环境如何影响模拟的中纬度典型飑线形态的问题,指出常用的对流有效位能(CAPE)不适合诊断飑线的特征,而应使用完全对流有效位能(ICAPE)。French和Parke (2014)对一次飑线与对流超级单体的合并过程做了数值模拟和实验,指出强切变背景风场利于弓状回波的形成,而两者合并后会形成更紧凑的弓状回波结构。Liu等(2015)对2009年6月14日出现在苏皖的飑线做了数值模拟,分析了该飑线的结构特征和传播机制,指出在第二类条件不稳定波过程中,对流对重力波的传播和发展持续在起影响,该飑线的传播和发展主要依赖于中层重力波与阵风前缘冷流出的联合作用。Uebel和Bott (2016)利用高分辨率区域模式研究了欧洲的一次快速传播飑线过程,指出该飑线可分成具有连续强对流降水线的弓状较强部分,以及由强对流多单体组成的较弱部分,前者具有12~18 m·s-1的风速及中到强的风切变。张哲等(2018)利用观测和高分辨率数值模拟的资料对2014年6月辽东湾的一次飑线过程做了分析,并揭示了在地面辐合线南段其发展成飑线的原因。Jensen和Harrington (2018)利用冰粒演变模型模拟了一个准理想化的3D飑线个例,讨论了其中的层状降水及其过渡带的微观物理特性,指出冰粒的下降速度在很大程度上决定了加强的层状降水区的位置以及过渡带是否形成。张弛等(2019)推导出强对流天气发生发展的必要条件,并选择典型东北冷涡背景下的飑线过程,进行了高精度的数值模拟试验,并验证了理论结果。Varble等(2019)利用水平网格距为750 m和250 m的模式对在2011年中纬度大陆对流云实验(MC3E)期间5月20日的飑线做了数值模拟,并比较了两者的结果,指出模式分辨率不足会高估大气的垂直输送,这样会带来垂向位温和动量分布的误差,从而影响中尺度对流系统的演变。
在以上研究中,除Alfaro和Khairoutdinov (2015)的研究外,均是对各实况飑线个例所作的数值模拟或实验,这是由于飑线因其所处季节、地理环境和天气尺度背景的不同,各具有自身特点的缘故。这样看来,实施飑线的个例研究就不可或缺,且随着计算机的发展和所用模式的进步,数值模拟结果与实况也更加接近,对结果的揭示也更为深入,故而对各飑线个例进行数值模拟或实验仍然十分必要。对于本文上述的2010年7月21-23日的包含苏北飑线的强对流过程,采用数值模拟方法,给出其细致结构和演变过程,进而揭示背后的物理机制,这对今后类似过程的监测、预报以及理论研究均是十分必要的。为此本文采用三重嵌套的有限区域WRF (Weather Research and Forecast)模式对该强对流过程做了数值模拟,并着重于该过程中的苏北飑线部分,对模拟该飑线的结果作了分析讨论,给出了其时间演变情况和空间结构特点,揭示了其热力和动力机制,最后给出了该飑线的概念模型。
1 模拟方案和检验 1.1 方案和资料本文所用的数值模式为三重嵌套的有限区域WRF模式V3.5版本。模拟区域中心为(118°E,32°N);水平网格采用该模式的粗、中、细网格三重双向嵌套方案,其网格距分别为30、10和3.3 km,格点数分别为84×84、118×103和181×139。粗、细网格的范围分别如图 1、3所示。垂直分层均为28层,模式顶高取50 hPa。模式中对该三重网格均积分了24 h,积分起始时间为2010年7月22日08∶00,结束时间为7月23日08∶00,下文均讨论22日的情况。粗、中、细网格的积分步长分别为180、60和20 s,模拟结果输出均是每小时一次。模式微物理过程采用WSM3简单冰方案,长波辐射采用RRTM方案,短波辐射采用Dudhia方案,近地面过程采用Monin-Obukhov方案,陆面过程采用Noah方案,边界层过程采用YSU方案,积云对流参数化采用Kain-Fritsch方案。在选用扰动边界层和陆面物理过程时考虑地面热量和水汽通量,不考虑雪盖效应;辐射光学厚度中考虑云的影响。模拟所用的初始场为08∶00的1°×1°的NCEP资料。
|
图 1 2010年7月22日20∶00实况(a)和模拟(b)的500 hPa位势高度场 (单位: gpm, 黑色三角形为南京, 下同) Fig. 1 (a) Observed and (b) simulated value of 500 hPa geopotential height field at 20∶00 BT on July 22, 2010 (unit: gpm, black triangles represent Nanjing, the same hereafter). |
|
图 2 2010年7月22日TRMM资料(a)和WRF模式模拟的(b) 16∶00-17∶00 1 h累积降雨量(单位: mm) Fig. 2 One hour cumulative precipitation distribution of (a) TRMM and (b) simulation from 16∶00 BT to 17∶00 BT on July 22, 2010 (unit: mm). |
|
图 3 2010年7月22日15∶00-16∶00 (a)、17∶00-18∶00 (b)、19∶00-20∶00 (c)、21∶00-22∶00 (d) 1 h累积降雨量(单位: mm) Fig. 3 Simulated 1 h cumulative precipitation (a) from 15∶00 BT to 16∶00 BT, (b) from 17∶00 BT to 18∶00 BT, (c) from 19∶00 BT to 20∶00 BT, and (d) from 21∶00 BT to 22∶00 BT (unit: mm). |
为检验区域WRF模式模拟结果的可靠性,下面分别对该强对流过程模拟的形势场和降水场进行对比验证。由积分12 h (即2010年7月22日20∶00)粗网格模拟的500 hPa位势高度场与同时次NCEP再分析高度场的比较可知,模拟的副热带高压(以下简称副高) 主体位置和强度与实况非常接近(图 1a、b)。
评价一个中尺度模式的性能优劣,主要是看它对降水的模拟和预报能力。为考察该降水模拟的效果,使用TRMM (Tropical Rainfall Measuring Mission)降水资料与模拟的降水情况进行对比。TRMM是美国和日本合作开展的热带降雨测量计划,其利用气象卫星定量测量热带、亚热带的降水情况。本文所用TRMM数据为降水率,单位为mm·h-1,其代表前一个半小时和后一个半小时的平均降水率,分辨率为0.25°×0.25°。图 2给出了2010年7月22日从TRMM资料获得的和WRF模式模拟的16∶00-17∶00 1 h累积降雨量图。分析可知,模拟的降水较好地再现了16∶00-17∶00降水实况及降水特点,模拟出了苏北东北-西南向的降雨带和南京西南方的强降水雨团,降水率也大体相当;但在该雨带和雨团的某些地方,模拟的降水强度要更大些。
由此可见,区域WRF模式对此次盛夏苏皖强对流过程的大尺度环流系统和降雨量的模拟均与实况基本一致,可认为模拟结果是可靠的,并可用此模拟结果分析该强对流过程包括飑线的发生演变机制。本文以下的飑线、降水以及各物理量均指模拟的结果,若需指实况,则以“实况”两字说明,此外以下均指细网格模拟的结果。
2 飑线结构及演变 2.1 飑线的水平演变盛夏江淮间降水多为对流性,故用降水强度来表征对流强弱是合理的。飑线是线状深厚对流系统,故通常可用WRF模式模拟的带状降雨量演变来表征飑线演变的情况。图 3给出了2010年7月22日不同时段WRF模式模拟的1 h累积降雨量,16∶00-17∶00的累积降雨量如图 2b所示。15∶00-16∶00 (图 3a),从苏北过长江直至南京以东有一条东北西南向的线状降水带,带上有较强降水中心,其中在苏北沿海和苏皖交界处的降水更强,此时飑线已经发展成熟。16∶00-17∶00 (图 2b),降水带的东段南压,西段维持,降水强度维持,此时飑线东段南移,西段少动,其强度维持。17∶00-18∶00 (图 3b),降水带的东段仍在南压,西段有所北抬,降水强度继续维持,此时飑线东段仍在南移,飑线西段开始与南京西南方生成并北移的MCC合并。19∶00-20∶00 (图 3c),该降水带东段分裂,已不呈带状,原西段降水带则区域扩大后也不呈带状,并继续在北抬,此时东段飑线已消亡,西段飑线也已并入该MCC。21∶00-22∶00 (图 3d),该降水范围收缩成椭圆状,这表明降水已属MCC。由图 3还可见,在模拟的线状强降水带上,1 h降雨量呈不均匀分布,有的地方强,有的地方弱。该降水带上还有降水极大之处(图 3上的黄、红色斑)。这表明飑线是由很多尺度更小的强对流单体和多单体构成。
为进一步验证WRF模式对飑线的模拟效果,图 4给出了2010年7月22日17∶38南京站雷达回波图。从中可见,存在一条东北-西南向的带状回波带,带上有多个强回波区,南京西南面也有一片强回波区,这与WRF模式模拟的17∶00-18∶00 1 h累积降雨量(图 3b)的位置和强度总体很相近,这也进一步表明,用模拟的线状强降水带的位置和强度来确定飑线的位置和强度是可行的。
|
图 4 2010年7月22日17∶38南京站雷达反射率因子图(单位:dBz) Fig. 4 Radar echo map at Nanjing station at 17∶38 BT on July 22, 2010(unit: dBz). |
因该飑线大体呈现东西方向走势,为更具体细致分析东、西段飑线的物理量场垂直分布结构,分别沿120.5°E和119.5°E经强对流中心作高度-纬度剖面。下面对这两个剖面上的物理量场分布进行分析。
2.2.1 散度场由2010年7月22日16∶00、18∶00沿120.5°E和119.5°E经强对流中心的散度高度-纬度剖面图(图略) 可知,16∶00沿120.5°E的剖面上,在32.8°N附近500 hPa以下有呈柱状的强辐合存在,该柱状强辐合处可代表飑线的位置,这也表明东段飑线此时即位于该地;18∶00,上述柱状强辐合减弱南压至32.2°N左右,柱状已不清晰并略呈弯曲状,辐合区高度下降至700 hPa以下,不过在920 hPa以下至近地面辐合仍较强,这表明东段飑线南压减弱并即将消散。16∶00沿119.5°E的剖面上,31.9°N附近400 hPa以下存在柱状强辐合,西段飑线即位于此处;18∶00,在32.4°E处700 hPa以下仍存在柱状辐合区,这表明西段飑线开始与北抬的MCC合并。
2.2.2 垂直速度场由2010年7月22日16∶00、18∶00沿120.5 °E和119.5°E经强对流中心的垂直速度高度-纬度剖面图(图略)可知,16∶00沿120.5°E的剖面上,东段飑线处有深厚且强烈的呈柱状结构的上升运动区,其上升速度最大可达12 m·s-1,高度达200 hPa以上,表明此时对流强烈,飑线处旺盛阶段;18∶00东段飑线上的上述柱状上升运动区南压至32.2°N附近,但强度已经减弱,上升运动仅出现在500 hPa以下,最大上升速度只有0.6 m·s-1,这也表明东段飑线在南压减弱中。16∶00沿119.5°E的剖面上,在31.9°N处300 hPa以下也有柱状强上升运动,该处为西段飑线所在,该柱两侧均伴有下沉运动,这表明此时该飑线发展旺盛且其宽度约为10 km;18∶00,该柱状强上升运动北抬至32.4°N附近,其高度达400 hPa,这同样表明西段飑线与北抬的MCC开始合并。
2.2.3 二维流场图 5分别给出2010年7月22日16∶00、18∶00沿120.5°E和119.5°E经强对流中心的v-w (w放大了100倍)二维流场高度-纬度剖面图。从16∶00沿120.5°E的剖面图(图 5a)可见,16∶00在东段飑线的二维流场上,飑线处即在32.4°-32.8°N有一支强上升气流,高度可达200 hPa以上,在该上升气流南侧高层300 hPa附近有一逆时针旋转的次级环流涡旋,该涡旋中心以下有深厚的偏南风为飑线提供了入流。在该上升气流北侧低层则有一顺时针旋转的次级环流涡旋,该涡旋中心以下的浅薄偏北风也为飑线提供了入流。以上两支入流在32.5°N近地面处交汇,该处为飑锋所在。飑线有两支出流,分别出现在飑线南侧的高层和飑线北侧的中高层。从18∶00沿120.5°E的剖面图(图 5b)可见,此时飑锋南移至32.1°N,飑线处的上升气流南移,流速减小,高度仅至200 hPa,飑线北侧低层次级环流涡旋中心以下的浅薄偏北风减弱。此时低层南侧的水平入流仍然维持,然而强度也减弱;飑锋南移,上升气流减弱以及飑线南、北两支入流均减弱,东段飑线在南移减弱中。从16∶00沿119.5°E的剖面图(图 5c)可见,此时西段飑线位于31.8°-32.0°N处,同样有很强的上升气流,飑锋则位于31.9°N处。飑线南侧中低层为南风,其提供了飑线入流,高层为出流。飑线北侧中层为出流,低层顺时针旋转的涡旋中心以下的浅薄北风为飑线提供了入流。18∶00 (图 5d),原飑线处的强上升气流北抬至32.4°N处,其北侧的低层涡旋已消失,在中低层均为上升气流,并与之上的下沉气流在700 hPa附近形成辐合带。此时在中低层均为南风。这表明此时虽上升气流仍强,但因飑线与MCC开始合并融合,飑线的特征趋于消失。
|
图 5 2010年7月22日16∶00 (a)、18∶00 (b)沿120.5°E和16∶00 (c)、18∶00 (d)沿119.5°E的v-w(w扩大了100倍)二维流场高度-纬度剖面图 Fig. 5 The height-latitude cross section of v-w (w expands 100 times) two-dimensional flow field through the center of strong convection along 120.5°E at (a) 16∶00 BT and (b) 18∶00 BT, and along 119.5°E at (c) 16∶00 BT and (d) 18∶00 BT on July 22, 2010. |
假相当位温θse是在大气的干、湿、假绝热过程中均守恒的一个重要参数,θse的垂直分布可以反映大气的位势不稳定(赵世军和周军元,2002)。θse水平分布常用来反映大气中潜在能量的分布,其高值区为高温高湿能量区,θse等值线密集区对应能量锋区(徐双柱等,2012)。位势不稳定是一种潜在的不稳定,在无触发机制时真实的大气仍是稳定的,然而一旦受到触发,产生了潜热释放,此时潜在的不稳定就转化为真实的湿对流不稳定。
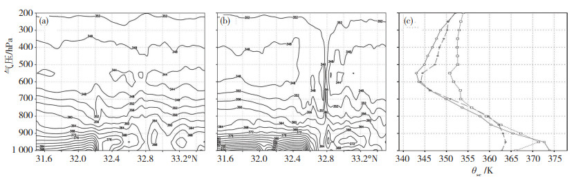
图 6分别是2010年7月22日16∶00、18∶00沿120.5°E经强对流中心的θse高度-纬度剖面图和θse沿(120.5°E,32.8°N)处在不同时刻的垂直分布,其反映了东段飑线上θse的演变。16∶00 (图 6a),东段飑线已进入强盛期,潜在的位势不稳定已被激发。此时在32.8°N附近从近地面至200 hPa有一高θse值的柱向上伸展,该柱所在处即为飑线位置,该柱为对流凝结加热释放所导致(张铭和邓冰,2003)。低层900 hPa以下飑线两侧为θse的高值区,南侧尤甚;而在900-300 hPa,在该柱两侧则为低值区。由于假绝热过程中θse保守,故流体微团只能在等θse面上运动,故在该过程中等θse线即相应于流线;对比图 5a、6a,两图相像,这表明该飑线过程的确大体可看作是假绝热的(注意到图 5a对w场放大了100倍,夸大了垂直运动)。此时飑线南侧的入流具有很高的θse值,其为飑线提供了大量的潜热能和水汽。18∶00 (图 6b),随着飑线的南压,原先飑线处的柱状θse高值区现已南压至32.2°N附近,且该柱已退化为在800-600 hPa上高θse值的峰,这说明飑线已减弱南压至此处。图 6b与图 5b相比仍较相像。16∶00东段飑线正位于该处,由图 6c上短虚线可见,950 hPa以下存在∂θse/∂z > 0,但在900-700 hPa上则有∂θse/∂z < 0;在700-200 hPa区间上θse随高度变化很小,层结大致呈中性,这表明在此区间凝结潜热大量释放,并对应有很强的降水,这也说明此时飑线处于强盛期。陶诗言(1980)指出,暴雨过程的强盛期常常对应着垂直方向存在着深厚的等θse的中性层结区;而16∶00正对应于这种情况。由图 6c可见,18∶00和20∶00,因飑线已移过该处,该处已不在飑线上,此时在950 hPa以上两者θse的垂直分布接近,在700 hPa以上θse的值均较16∶00有所减小,在500 hPa以上层结则均稳定。
|
图 6 2010年7月22日16∶00 (a)、18∶00 (b)沿120.5°E经强对流中心的θse高度-纬度剖面图以及沿(120.5°E,32.8°N) 处不同时刻的θse垂直分布(c, 单位: K; 短虚线为16∶00, 长虚线为18∶00, 实线为20∶00) Fig. 6 The height-latitude cross section of θse through the center of strong convection along 120.5°E at (a) 16:00 BT, (b) 18∶00 BT and (c) vertical distribution of θse along (120.5°E, 32.8°N) at different time on July 22, 2010 (Short dashed line denotes 16∶00 BT, long dashed line denotes 18∶00 BT and solid line denotes 20∶00 BT, unit: K). |
图 7分别是16∶00、18∶00沿119.5°E经强对流中心的θse高度-纬度剖面图和沿(119.5°E,31.9°N)处不同时刻的θse垂直分布,其对应于西段飑线θse的演变。16∶00 (图 7a),在31.9°N处也有一高θse值的柱状突起,此处即西段飑线所在,飑线处高θse值的伸展高度到500 hPa。18∶00 (图 7b),因西段飑线与北抬MCC开始合并,该柱状突起的位置已北移至32.4°N,且仅向上伸展至600 hPa。从图 7c上可见,16∶00 (短虚线) 西段飑线位于该处,并处于强盛期,中性层结出现在650-750 hPa,其厚度较飑线东段要薄,这表明该处凝结潜热释放及降水量均较东段飑线要少;此时在650 hPa以上θse随高度增加,湿层结稳定;18∶00与20∶00 θse的分布曲线两者也较接近,并与图 6c中相应时次的分布曲线类似,此时该处的对流已不强。
|
图 7 2010年7月22日16∶00 (a)、18∶00 (b)沿119.5°E经强对流中心的θse高度-纬度剖面图以及沿(119.5°E, 31.9°N)处不同时刻的θse垂直分布(c, 单位: K; 短虚线为16∶00, 长虚线为18∶00, 实线为20∶00) Fig. 7 The height-latitude cross section of θse through the center of strong convection along 119.5°E at (a) 16∶00 BT, (b) 18∶00 BT and (c) vertical distribution of θse along (119.5°E, 31.9°N) at different time on July 22, 2010 (Short dashed line denotes 16∶00 BT, long dashed line denotes 18∶00 BT and solid line denotes 20∶00 BT, unit: K). |
由以上数值模拟结果可见,该苏北飑线的生成是在行星、天气系统的背景下,首先由中γ尺度的对流单体发展而来,在飑线生成前500 hPa未来飑线发生处位于行星尺度的西太平洋副高边缘,700 hPa和850 hPa该处存在中α尺度的切变线,这为辐合上升运动创造了有利条件(朱娟等,2016)。由于午后太阳辐射增强造成地面气温增高,易发生对流,而在副高边缘,水汽也充沛,故层结处于位势不稳定状态;一旦发生对流,就会形成凝结潜热释放,从而潜在的位势不稳定就转化为真实的对流不稳定,导致强对流天气发生,形成中γ及小尺度的对流单体。然而对流单体究竟在何处首先形成则与具体的小气候环境密切有关。本文数值模拟的情况与真实情况虽然总体类似,但在细节上也有差异,这是因为这种小气候环境如小地形、下垫面及受其影响局地的温度、水汽和流场等目前尚不能被该WRF模式准确描写的缘故。当对流单体形成后,在以上大环境下,会迅速发展,并与邻近的对流单体合并壮大,形成中γ尺度的多单体,进而各单体和多单体彼此相连,最终形成中β尺度的飑线(图 3、4)。
该飑线一旦形成就向前方(东南方)移动(图 3),从模拟的散度场和垂直运动场(图略)上可见,在飑线处,辐合和上升运动均较大,且在垂直方向呈柱状分布(张铭和邓冰,2003)。这表明飑线属于非平衡运动,具有重力波的特点,Zhang(1992)中将其看作非线性重力波行波解则不是没有道理的。因飑线的该特点,故其形成后,运动就较天气背景系统要快。
当中β尺度的飑线移入行星尺度的副高中时,副高中的下沉运动,使得飑线处的对流减弱,对流减弱又进一步削弱了凝结加热释放,从而造成飑线减弱消亡,上述东段飑线的演变即是如此。而西段飑线情况有所不同。由于在该飑线过程中整个西太平洋副高略有西伸,表现为重力波的飑线虽然传播到副高内会导致其减弱消亡,但是作为天气背景的中低层切变线仍然存在少动(朱娟等,2016),此时在切变线处对流强降水生成的条件仍具备,故在该处仍有对流强降水发生;如此原飑线降水就会与MCC降水发生合并融合,此时对流强降水区位置也因副高西伸而有所北抬。这是东段飑线与西段飑线的差异所在。
总的说来,飑线这种中β尺度系统受500 hPa上行星尺度的副高和天气尺度的西风槽以及850 hPa上中α尺度的切变线控制,然而中β尺度系统的飑线却如上所述是由中γ尺度甚至是小尺度的对流单体发展而来,这表明在该飑线生成演变中存在各种尺度系统的相互作用。该行星、天气和中α尺度的系统影响中β尺度的飑线主要体现在动力作用方面,表现为控制其移动等;而中γ尺度和小尺度的对流单体生成中β尺度的飑线则主要体现在热力作用方面,表现为强对流发生造成的凝结潜热释放等。这个问题值得深入研究。
3.2 飑线径向剖面的概念模型根据这次飑线过程发生演变特点,可用图 8来描述该飑线成熟期径向剖面的概念模型。从图 8可见,该飑线前方即飑线移动的方向,对流层中低层有较强的高θse的入流,表现为较深厚的偏南风。在飑线后方低层有一个逆时针旋转的次级环流涡旋,注意这里飑线的移动方向是向右,与图 5中显示的方向相反,该次级环流涡旋中心以下也有入流,表现为浅薄的偏北风。飑线过境时近地面风向出现由偏南风到偏北风的急剧转变。在飑线处则有强上升运动区、强辐合区和强θse高值区,这三者均在该处呈柱状垂直向上伸展的态势,且伸展到对流层中层以上,并导致飑线过境时有很强的对流降水。高层在飑线处的两侧则为出流区。
|
图 8 飑线径向剖面的概念模型图(深色阴影为高θse区, 浅色阴影为低θse区, 斜线填充箭头为上升带, 白色箭头表示飑线移动方向, 黑色实箭头为气流运动方向, 蓝色三角形为地面飑锋位置所在) Fig. 8 Conceptual model diagram of squall line (Dark shadow denotes high value of θse, light shadow denotes low value of θse, slash area filled with arrow denotes rising zone, white arrow denotes moving direction of squall line, black arrow denotes the moving direction of airflow, and the blue triangle is the located of squall line). |
采用区域三重嵌套WRF模式,对2010年7月22日一次苏北飑线过程进行了数值模拟,并对模拟结果进行分析讨论,主要结论如下:
(1) 三重嵌套最细水平网格为3.3 km的区域WRF模式对此次强对流过程中的飑线具有较强模拟能力,模拟的飑线与实际飑线非常接近,具有与实况相同的性质和特点;利用模拟的线状强降水带及其降水强度来确定模拟飑线的位置和强度具有可行性。
(2) 发展成熟飑线的热力结构为,飑线处存在向上伸展的高θse值柱;低层飑线两侧为高θse区,在飑线前方有高θse值入流,为飑线带入大量水汽和能量;中层为θse值大致不变的中性层结,这与对流凝结潜热释放有关;该飑线过程可大体看成是假绝热过程,θse值具有准保守性。
(3) 发展成熟飑线的动力结构为,飑线处存在强辐合区,垂直上升运动明显,两者均呈柱状向上伸展,构成了强辐合上升流;飑线前方(飑线移动的方向)低层有较深厚入流(偏南风),后方低层存在逆时针旋转的次级环流涡旋,其中心以下也有浅薄的入流(偏北风),这使得飑线过境时地面风向发生由偏南风转偏北风的急剧变化。
(4) 在该飑线生成演变中,存在多尺度系统的相互作用;行星、天气和中α尺度系统影响中β尺度的飑线主要体现在动力方面,而中γ尺度和小尺度的对流单体生成中β尺度的飑线则主要体现在热力方面。
陈云辉, 许爱华, 许彬, 等. 2019. 江西一次极端雷暴大风过程的中尺度特征与成因分析[J]. 暴雨灾害, 38(2): 32-40. |
李娜, 冉令坤, 高守亭. 2013. 华东地区一次飑线过程的数值模拟与诊断分析[J]. 大气科学, 27(3): 595-608. |
李曦. 2020. 2019年4月9日四川东北部一次飑线大风的成因分析[J]. 沙漠与绿洲气象, 14(4): 52-60. |
梁建宇, 孙建华. 2012. 2009年6月一次飑线过程灾害性大风的形成机制[J]. 大气科学, 36(2): 316-336. |
刘鑫华. 2012. 两种垂直风切变条件下飑线过程对比分析[J]. 沙漠与绿洲气象, 6(5): 25-29. DOI:10.3969/j.issn.1002-0799.2012.05.008 |
寿绍文, 励申申, 寿亦萱, 等. 2016. 中尺度气象学[M]. 第三版. 北京: 气象出版社.
|
陶诗言. 1980. 中国之暴雨[M]. 北京: 科学出版社, 12-173.
|
徐双柱, 吴涛, 王艳. 2012. 2010年7月7-15日湖北省持续性暴雨分析[J]. 暴雨灾害, 31(1): 35-43. DOI:10.3969/j.issn.1004-9045.2012.01.006 |
岳俗甲. 2016. 2013年7月4~5日江淮地区一次飑线过程的数值模拟和诊断分析[D]. 南京: 南京信息工程大学
|
曾庆存. 1979. 数值天气预报的数学物理基础: 第一卷[M]. 北京: 科学出版社, 421-424.
|
张弛, 王咏青, 沈新勇, 等. 2019. 东北冷涡背景下飑线发展机制的理论分析和数值研究[J]. 大气科学, 43(2): 361-371. |
张铭, 邓冰. 2003. 暴雨雨团中物理量呈柱状分布的原因初探[C]//北京: 中国气象学会年会, 新世纪气象科技创新与大气科学发展-热带气旋和季风: 193-197
|
张哲, 周玉淑, 高守亭. 2018. 一次辽东湾飑线过程的观测与数值模拟分析[J]. 大气科学, 42(5): 1157-1174. |
朱娟, 张立凤, 张铭. 2016. 一次对流性强降水过程的分析及诊断[J]. 解放军理工大学学报(自然科学版), 17(3): 270-277. |
Alfaro D A, Khairoutdinov M. 2015. Thermodynamic Constraints on the Morphology of Simulated Midlatitude Squall Lines[J]. Journal of the Atmospheric Sciences, 72(8): 3116-3137. DOI:10.1175/JAS-D-14-0295.1 |
French A J, Parke M D. 2014. Numerical Simulations of Bow Echo Formation Following a Squall Line-Supercell Merger[J]. Monthly Weather Review, 142(12): 4791-4822. DOI:10.1175/MWR-D-13-00356.1 |
Jensen A A, Harrington J Y. 2018. Microphysical characteristics of squall-line stratiform precipitation and transition zones simulated using an ice particle property-evolving model[J]. Monthly Weather Review, 146: 723-743. DOI:10.1175/MWR-D-17-0215.1 |
Liu Lu, RAN Lingkun, SUN Xiaogong. 2015. Analysis of the Structure and Propagation of a Simulated Squall Line on 14 June 2009[J]. Advances in Atmospheric Sciences, 32(8): 1049-1062. DOI:10.1007/s00376-014-4100-9 |
Uebel M, Bott A. 2016. Mesoscale air transport at a midlatitude squall line in Europe - a numerical analysis[J]. Quarterly Journal of the Royal Meteorological Society, 141(693): 3297-3311. |
Varble A, Morrison H, Zipser E. 2019. Effects of under-resolved convective dynamics on the evolution of a squall line[J]. Monthly Weather Review. DOI:10.1175/MWR-D-19-0187.1 |
2022, Vol. 41 
