2. 杭州市气象局, 杭州 310051
2. Hangzhou Meteorological Administration, Hangzhou 310051
极端天气气候事件是指一个地区或时间出现的天气状态严重偏离其气候平均态,是统计意义上的极端事件。政府间气候变化专门委员会(Intergovernmental Panel on Climate Change, IPCC)第四次评估报告对极端天气事件给出了明确的定义:极端天气事件是指发生概率小于观测记录概率密度函数第10个百分位或者超过第90个百分位的天气事件。暴雨是我国常见的一种高影响天气,常常会带来洪涝、山体滑坡、泥石流等严重灾害性后果。伴随着全球气候变化,我国暴雨发生的频率和强度都有增加的趋势(陈海山等,2009;任玉玉和任国玉,2010;黄琰等,2011;姜德娟等,2011;苏志重等,2016;季晓东和漆梁波,2018)。暴雨预报一直是预报业务中的重点,但是由于其不确定性大,发生概率较低,因此预报难度也较大。过去几十年中,随着数值预报技术的飞速发展,气象部门对暴雨、暴雪等灾害性天气的预报能力有了显著提高。然而由于极端天气发生概率小,不确定性大,使用单一的数值预报模式分析其可能的发展演变是不严谨的,对暴雨等极端性天气的预报仍然面临巨大的挑战。20世纪90年代以来,随着集合预报系统(Ensemble Prediction System, EPS)的发展,天气预报的不确定性明显降低,使得对极端降水的预报能力有了显著的提升(陈静等,2005;刘琳等,2013;周迪等,2015;庞玥等,2019;武英娇等,2019)。
基于欧洲中期天气预报中心(ECMWF)集合预报系统,Lalaurette(2003)开发了极端天气指数(Extreme Forecast Index,EFI)。该指数假设: 如果模式天气相对于“模式气候”为极端事件,则实际天气相对于实际气候也为极端事件。其原理是基于计算集合预报的累计概率分布函数(Cumulative Distribution Function,CDF)与“模式气候”累计概率分布函数之间的差异。如果这种差异越大,则天气偏离气候态越大,发生极端事件的概率也就越大。该指数的一个优点是利用了模式回算资料,因此较好的剔除了集合预报的系统性偏差。有研究指出(Richardson et al., 2011)EFI可以提前几天对极端天气进行预报和预警。近几年我国研究人员也对EFI做了一些相关的研究工作,朱鹏飞等(2015)分析了降水EFI和强降水、降水气候距平之间的统计关系,结果表明降水EFI大值区和强降水具有较好的对应关系,EFI值越大,强降水的可能性越大,随着预报时效延长,EFI指示意义减弱。龙柯吉等(2016)研究了EFI指数对四川盆地暴雨的预警作用,指出EFI指数对暴雨落区有较好的指示意义。然而不同地理区域气候背景差异较大,EFI指数的表现与应用效果也有所不同。因此,本文选取浙江省作为典型区域对EFI指数在不同量级强降水预测、预警中的应用效果进行评估研究,其结果可以为EFI指数在实际业务中的应用提供参考依据和数据支撑。
1 资料和方法 1.1 EFI定义和评分方法根据ECMWF对极端天气指数(EFI) 的定义(Lalaurette,2003;Zsótér,2006),EFI指数代表累积“集合预报概率分布函数”和“模式气候概率分布函数”之差
| $EF{I_{AD}} = \frac{2}{\pi }\int\limits_0^1 {\frac{{p - {F_f}(p)}}{{\sqrt {p(1 - p)} }}} dp $ | (1) |
(1)式中EFIAD是极端天气指数,p是某一天气事件在模式气候中发生的概率,Ff(p)为集合预报成员中小于等于“模式气候”p分位数的概率,
|
|
表 1 两分类列联表 Table 1 Contingency table of dimorphic distribution. |
| $T S=\frac{N A}{N A+N B+N C} $ | (2) |
| $H=\frac{N A}{N A+N C} $ | (3) |
| $F=\frac{N B}{N B+N D} $ | (4) |
| $BS=\frac{N A+N B}{N A+N C} $ | (5) |
研究中用到的资料包括2016年6月—2017年5月ECMWF的极端降水指数资料以及浙江省75个国家站逐日降水观测资料,以及1981—2015年浙江省及其周边省份国家站逐日降水资料。
为了得到不同量级、不同预报时效降水的EFI阈值,分别将EFI值以0.1为间隔的区域作为不同量级降水预报落区,计算研究时段内不同起报时间(08时、20时)不同预报时效的TS评分、命中率H、空报率F、预报偏差BS,然后综合考虑这几个指标得到EFI的预报阈值。
EFI指数所反映的天气极端性是相对于其历史同期而言(翟盘茂和潘晓华,2003;翟盘茂等,2007;Dong et al., 2011;董全等,2017),即“模式气候”,这种“模式气候”的概率分布的构建采用过去20 a模式预报的某日及其前后各15 d的回算资料(Zsótér,2006)。因此本文计算历史同期降水气候百分位数时也采用类似的方法构建,即选取1981—2015年的每个日历前后各15 d的降水数据,共1 085个样本,构建该日的气候样本,然后通过这一样本计算每日降水相对于历史同期气候百分位。本文将第95百分位对应的日降水量定义为极端降水的阈值,当某测站日降水量超过这个阈值时,则认为该站出现了极端降水事件(翟盘茂和潘晓华,2003;董全等,2017;陶亦为等,2017)。
2 降水EFI阈值研究 2.1 逐日降水与EFI相关性评估降水EFI代表预报和“模式气候”的距平,因此EFI值越大,代表与气候平均态相差越大,对应更大的极端降水发生的可能性。图 1给出了降水EFI和大雨以上站点降水量之间的散点图,从图 1可知,对不同的预报时效,随着EFI值的增加降水量也呈现增加的趋势,两者呈现明显的正相关关系。也就是说EFI值越大,发生强降水的可能性越大。分析相关系数随预报时效的变化,发现相关系数R随着预报时效的延长,逐渐减小。相关系数R从24 h时效的0.25逐步下降到96 h时效的0.15。因此EFI指数对降水预报的指示意义随着预报时效的延长逐渐减弱。比较不同时效大雨、暴雨、大暴雨发生时EFI的平均值,可以发现不同量级的降水其对应的EFI平均值随着预报时效的延长而减小。以暴雨为例,暴雨发生时EFI的平均值从24 h时效的0.61到48 h时效的0.5,再到72 h时效的0.43,到96 h时效的0.40。观察不同EFI值对应的降水极值,也呈现出随着EFI值的增加其对应的降水极值逐渐增大的现象。以24 h时效为例,降水极值从EFI等于0时的80 mm增加到EFI接近1时的300 mm。总体而言,越大的EFI值普遍对应更极端的降水。
|
图 1 0—24 h (a)、24—48 h (b)、48—72 h (c)、72—96 h (d)预报时效站点观测降水量(25 mm以上)与降水EFI散点图 (红色实线为线性拟合结果,R为两者相关系数,EFI25、EFI50、EFI100分别为发生大雨、暴雨、大暴雨时的平均EFI值) Fig. 1 Scatter plot of the observed precipitation (above 25 mm) and the EFI at leading time of (a) 0-24 h, (b) 24-48 h, (c) 48-72 h, and (d) 72-96 h. Red solid line is the linear fitting result. R is the correlation coefficient between them. EFI25, EFI50, and EFI100 are the average values of EFI in the event of heavy rain, rainstorm and heavy rainstorm, respectively. |
ROC曲线(相对作用特征曲线)是评估概率预报技巧的有效方法,在坐标轴中完美预报位于左上角的顶部(H, F)=(0, 1),最差的预报位于坐标轴的右下角(H, F)= (1, 0),对角线以上代表正技巧,反之则为负技巧,ROC曲线以下的面积(AROC)可以用来衡量预报技巧的好坏,面积越大表示预报技巧越好,反之则表示技巧越差(Mason and Graham, 2002)。图 2给出了不同时效日降水EFI的大雨和暴雨预报的ROC曲线,从中可知,对于大雨(图 2a)和暴雨(图 2b),随着预报时效的延长,曲线以下的面积都在逐渐减小,说明EFI指数对于大雨和暴雨的预报技巧都随着预报时效的延长而逐渐降低。
|
图 2 不同时效日降水EFI的大雨(a)和暴雨(b)预报的ROC曲线 Fig. 2 The ROC curves of the EFI for (a) heavy rain and (b) rainstorm respectively for different leading time. |
以上主要是定性的对EFI在不同量级降水预报中的指示意义进行了分析,为了进一步了解EFI与降水量之间的对应关系,我们结合降水量和EFI的箱线图(图 3),进一步分析EFI与降水量之间的的统计特征。
|
图 3 0—24 h (a)、24—48 h (b)、48—72 h (c)、72—96 h (d)时效逐日EFI对应降水量的箱线图,红圈为平均值,红线为中位数 Fig. 3 Box plots of EFI of daily precipitation at leading time of (a) 0-24 h, (b) 24-48 h, (c) 48-72 h, and (d) 72-96 h. Red circle is the average value, and red line is the median value. |
图 3给出了不同时效逐日EFI对应降水的箱线图,由此可见,总体而言,随着EFI阈值的增加,对应的平均降水量和降水量中位数都呈现出增加趋势,仅在96 h时效EFI等于0.9时出现例外,这种例外的产生可能和样本量有关,对长时效,EFI阈值较大时其对应的降水样本较少。对24 h时效当EFI值从0.1增加到0.9,平均降水量从2.7 mm增加到67 mm,中位数从2 mm增加到50 mm,当EFI达到0.9时有75%的站点降水超过30 mm,更有25%的站点降水超过80 mm。因此强降水发生的可能性随着EFI值的增加而增加。此外,随着预报时效的延长,降水分布的离散度也在减小,平均降水量和降水量中位数随着EFI增加而增加的速率在减慢。对于72 h时效的预报,当EFI等于0.9时,其对应的降水量平均值和中位值分别为58 mm和35 mm,明显小于24 h时效,EFI等于0.9时对应的降水量平均值(67 mm)和中位值(50 mm)。因此随着预报时效的延长,相同EFI阈值对强降水的指示意义在减弱。
2.2 各EFI阈值对应暴雨发生频次和概率图 4给出了0~1之间不同EFI阈值对应的大雨、暴雨和大暴雨发生的频次和概率,横坐标点0.1代表EFI值在0~0.1的区间,以此类推。从图 4b中可见,随着EFI阈值的增加,各预报时效暴雨发生频次先增加后减小,以24 h预报时效为例,暴雨发生最大频次出现在EFI等于0.7时,对应的暴雨发生站次达到102次,而当EFI小于0.5时,暴雨发生站次都低于50次。值得注意的是,当暴雨频次达到最大值后,随着EFI阈值的增加,暴雨频次迅速减小,究其原因可能是由于大EFI值出现的几率较小,因此即使其对应暴雨发生概率很大,但由于其对应的暴雨样本仍较少,因此暴雨发生频次较少。从暴雨发生概率上分析,随着EFI阈值的增加,暴雨发生的概率迅速增加(图 4b),对于24 h时效,EFI值取0.8时暴雨概率为21%,而当EFI增加到0.9和1时暴雨概率发生迅速提升到51%和82%。分析(图 4a)和(图 4c),对于大雨和大暴雨也可得出相似的结论:随着EFI值增加,强降水发生的概率变大。对于更长的预报时效,结论与24 h时效类似,即随着EFI阈值增加,大雨、暴雨和大暴雨发生的频次先增加后减少,而大雨、暴雨、大暴雨发生的概率则单调增加。
|
图 4 各EFI阈值对应大雨(a)、暴雨(b)、大暴雨(c)发生的频次(实线)和概率(虚线) Fig. 4 The frequency(full line)and probability(dotted line)of EFI thresholds for (a) heavy rain, (b) rainstorm, and (c) heavy rainstorm. |
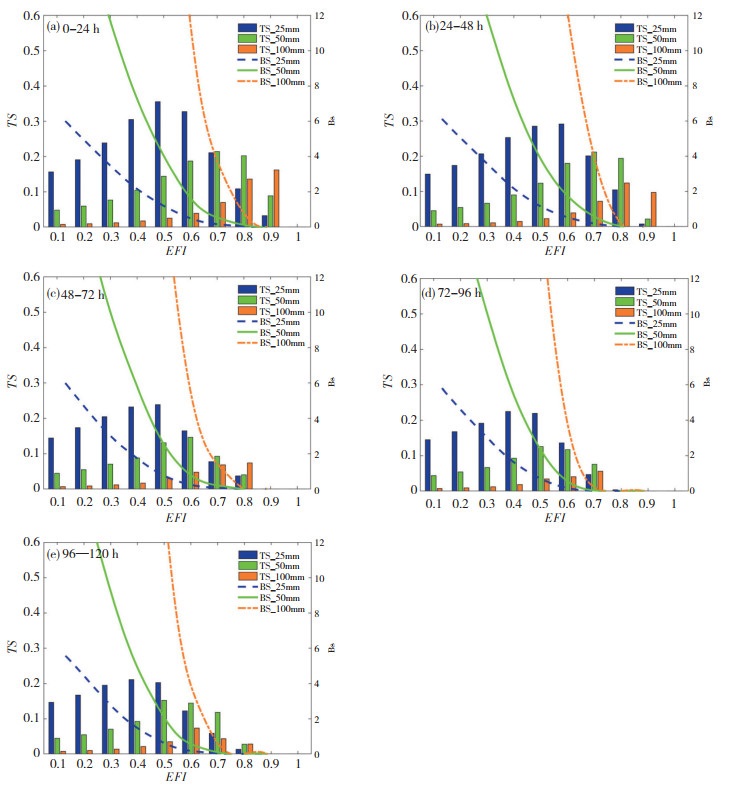
为了进一步分析降水EFI指数对不同量级降水的指示意义,得到定量的预报阈值,分别以不同的EFI值代表大雨、暴雨和大暴雨的落区。如以EFI指数大于0.5的区域代表不同量级降水的落区,然后分别计算大雨、暴雨和大暴雨的TS评分,预报偏差(BS), 最后综合考虑TS评分和合理的BS值,确定不同预报时效,不同量级降水的预报阈值。一般而言,TS评分越高,预报效果越好。BS评分越接近1,代表预报与实际降水落区偏差越小;BS大于1代表预报降水落区大于实际降水落区,BS小于1则代表预报落区小于实际降水落区。
图 5给出了不同预报时效逐日降水EFI对应的大雨、暴雨和大暴雨的TS评分和BS评分。从中可见,对不同量级的降水,随着EFI值的增加,BS评分都呈下降趋势,而TS评分则先增加后减小。以暴雨为例,对0—24 h时效的预报,当EFI取0.7时,TS评分最高,达到0.2,此时预报偏差在1.1左右,预报的暴雨范围略大于实际暴雨范围。当EFI值继续增加时虽然预报偏差迅速减小,但是TS评分也迅速减小;反之当EFI值减小时预报偏差迅速加大,TS评分也迅速减小,因此对于0—24 h预报的暴雨,EFI阈值可选做0.7。同理可以得到不同时效不同量级降水的EFI预报阈值: 24 h、48 h、72 h、96 h、120 h时效大雨的预报阈值分别为0.5、0.5、0.5、0.4、0.4,暴雨的预报阈值分别为0.7、0.7、0.6、0.5、0.5,大暴雨的预报阈值分别为0.9、0.8、0.8、0.7、0.6。总体而言,对于同一预报时效,降水量级越大,对应的EFI阈值越大;对于同一量级降水,预报时效越长,EFI阈值越小。随着降水量级增加、预报时效的延长,TS评分降低,降水EFI指数的预报能力也随之降低,这与前文对EFI指数的分析结果一致,进一步表明EFI作为不同量级降水预报指标的合理性。
|
图 5 0—24 h (a)、24—48 h (b)、48—72 h (c)、72—96 h (d)、96—120 h (e)预报时效逐日降水EFI对应的大雨、暴雨、大暴雨的TS评分(柱状)、BS评分(线条) Fig. 5 The TS score(bar) and BS score(line) with the different 24 h EFI thresholds for heavy rain, rainstorm and torrential rainstorm at leading time of (a) 0-24 h, (b) 24-48 h, (c) 48-72 h, (d) 72-96 h, and (e) 96-120 h. |
综上所述,降水EFI对不同量级降水的预报有一定的指示意义,综合考虑TS评分和预报偏差(BS)以及不同量级降水发生在EFI各区间的频次和概率,总的来说EFI阈值随着降水量级的增加而增大,而随着预报时效的增加而减小,对20时起报的EFI值与不同量级降水之间的关系与08时起报有着相似的变化规律(图略),具体阈值见表 2。
|
|
表 2 20时和08时起报的不同预报时效不同量级降水的EFI降水指数阈值 Table 2 The EFI thresholds for rainstorm at different forecast time length and different precipitation amount which are predicted from 20∶00 BT and 08∶00 BT (UTC+8). |
EFI值是通过对比集合预报成员与“模式气候”得到的,而“模式气候”与历史同期实际气候之间存在较强相关性,因此逐日EFI值与历史同期降水气候百分位之间也应存在相关性,图 6给出了逐日降水气候百分位和逐日降水EFI的散点图。从图中可见,各时效EFI值与降水气候百分位之间存在明显的正相关关系,相关系数随着预报时效的延长而降低,24 h两者相关系数达到0.6 2(p<0.01),而到了96 h时效相关系数降低到0.44 (p<0.01)。值得注意的是虽然总体上EFI值随着降水气候百分位的增加而增加,然而在各个时效的散点图中,都存在较大的气候百分位对应非常小的EFI值甚至负值的情况。造成这种现象的原因可能是模式对雨带预报的偏差或者对强降水的漏报,因此EFI对强降水的指示作用,比较依赖模式对降水雨带整体预报的准确性。总体而言,EFI值与逐日历史同期降水气候百分位存在显著的正相关关系,一定程度上可以反映当地将要发生降水的极端程度。
|
图 6 0—24 h (a)、24—48 h (b)、48—72 h (c)、72—96 h (d)预报时效,2017年6月—2018年5月浙江65站降水气候百分位与对应EFI值的散点图(红线为线性拟合,绿线为二次拟合曲线) Fig. 6 Scatter plot of climatic percentile and precipitation EFI for sixty-five stations in Zhejiang Province in the period from June 2016 to May 2017 at leading time of (a) 0-24 h, (b) 24-48 h, (c) 48-72 h, and (d) 72-96 h. The red line indicates the linear fitted curve, and green line indicates the second fitted curve. |
图 7给出了不同时效逐日降水EFI指数对应的历史同期降水气候百分位箱线图,利用其进一步分析历史同期降水气候百分位和降水EFI值之间的关系,从图中可以看出随着EFI值的增加,对于不同的预报时效,降水气候百分位分布的离散度都在减小,对应的降水气候百分位平均值和中位值明显增大。以24 h时效为例,当EFI值从0.1增加到0.8,平均降水气候百分位从0.22增加到0.9,中位数也从0.12增加到0.94,进一步分析,当EFI值增加到0.9时,降水平均值增加到0.95而中位值增加到0.98,也就是说,当EFI值等于0.1时,有一半的降水事件气候百分位低于0.12,而当EFI等于0.9时,有一半的降水事件气候百分位达到0.98。因此,当EFI值较高时,预示着较大的几率出现极端降水,此时可以参考当地对应的气候百分位降水量对模式降水预报进行订正。
|
图 7 0—24 h (a)、24—48 h (b)、48—72 h (c)、72—96 h (d)预报时效逐日降水EFI指数对应的气候百分位统计图,红圈为平均值 Fig. 7 Box-plots of precipitation EFI thresholds for climatic percentile at leading time of (a) 0-24 h, (b) 24-48 h, (c) 48-72 h, and (d) 72-96 h. Red circle indicates the average value, and red line indicates the median value. |
图 8给出了2015年8月8日08时—8月9日08时降水实况、历史同期降水气候百分位以及不同预报时效的EFI值,从中可知,受台风“苏迪罗”的影响,2015年8月8日08时-8月9日08时,浙江南部,福建东北部出现了大范围的暴雨、大暴雨天气(图 8a),浙江文成鳌洋村24 h降水量达到657.4 mm,浙江与福建共有200个站点(含中尺度站)降水超过250 mm,达到特大暴雨的量级,部分站点突破历史极值。从降水的极端性上看,浙江南部、福建东北部出现了超过历史同期第95百分位的降水,部分地区甚至超过了第99百分位值,达到了历史极值的水平(图 8b)。图 8c-8f分别为该时段24 h到168 h时效EFI指数的预报图。通过对比可以发现:24 h时效EFI指数大于0.8的区域与大暴雨的落区和超过历史同期95百分位值的区域基本吻合,都在浙南和福建的东北部地区。随着预报时效的延长,相同的降水量和历史同期降水百分位数对应的EFI指数在逐渐减小。到了120 h时效,大暴雨的落区与EFI指数大于0.6的区域接近,与前文得到的阈值比较吻合。对更长的168 h时效,EFI指数大值区与极端降水实际发生的区域有了明显的偏差,但是浙江东南部EFI指数也大于0.7,预示着强降水发生的可能性。总体看来,EFI指数对此次台风造成的极端降水有较好的识别能力,可以提前5 d左右发出极端降水的预警信号。
|
图 8 2015年8月8日08时—8月9日08时降水实况(a)、降水历史同期气候百分位(b)、0—24 h (c)、48—72 h (d)、96—120 h (e)、144—168 h (f)预报时效EFI值 Fig. 8 (a) The observed precipitation amount from 08∶00 BT 8 August 2015 to 08∶00 BT 9 August 2015, (b) the precipitation percentile according to the climate records, and the precipitation EFI thresholds at leading time of (c) 0-24 h, (d) 48-72 h, (e) 96-120 h, and (f) 144-168 h. |
本文对2016年6月—2017年5月ECMWF全球集合预报系统逐日降水EFI指数在浙江强降水预报中的表现进行了定性和定量的评估。得到以下结论:
(1) 各个预报时效的降水EFI值与实况降水存在明显的正相关关系,随着EFI值的增加,对应的实况降水量也逐渐增加。对于相同的预报时效,逐日降水EFI的预报技巧随着降水量级的增加而降低。此外,随着EFI阈值的增加,暴雨和大暴雨发生频次先增加后减少,而暴雨和大暴雨发生的概率单调增加。
(2) 以不同降水EFI阈值代表大雨、暴雨、大暴雨预报的落区,综合考虑TS、BS评分,得到各时效大雨、暴雨、大暴雨的预报阈值:24 h、48 h、72 h、96 h、120 h时效大雨的阈值分别为0.5、0.5、0.5、0.4、0.4,暴雨的EFI阈值分别为0.7、0.7、0.6、0.5、0.5,大暴雨的EFI阈值分别为0.9、0.8、0.8、0.7、0.6。36 h、60 h、84 h、108 h、132 h时效大雨的EFI阈值分别为0.5、0.5、0.4、0.4、0.4,暴雨的EFI阈值分别为0.7、0.6、0.5、0.5、0.5,大暴雨的EFI阈值分别为0.8、0.7、0.7、0.6、0.6。当EFI值达到或者超过阈值时,预示着强降水发生的可能性较大,可据此对强降水的预报落区进行订正。
(3) EFI值是通过对比集合预报成员与“模式气候”得到的,EFI值与历史降水气候百分位存在显著的正相关关系。因此,当EFI值较高时,预示着较大的出现极端降水的可能性,此时可以参考当地对应的气候百分位的降水量对模式降水预报进行订正。
(4) 降水指数代表集合预报累积降水的概率分布与模式气候累积降水的概率分布之差,其数值的大小代表未来可能发生的降水相对于当地历史同期降水的极端性,因此EFI降水指数对极端降水有较好的识别能力。
因为受资料长度所限,本文仅对2016年6月—2017年5月逐日降水EFI指数在浙江强降水预报中的应用效果进行了评估,得到了不同时效、不同量级降水的EFI预报阈值。由于降水存在较强的年际变化,目前对强降水的发生机理认识不够全面以及本文所选研究区域限于浙江省,这些因素影响了本文结论的代表性与普适性。在今后的工作中,将进一步对更长时间、更大范围内降水EFI指数的应用效果进行评估,提高对强降水的预报能力,推广EFI指数预报的业务化应用。
陈海山, 范苏丹, 张新华. 2009. 中国近50 a极端降水事件变化特征的季节性差异[J]. 大气科学学报, 32(6): 744-751. DOI:10.3969/j.issn.1674-7097.2009.06.003 |
陈静, 薛纪善, 颜宏. 2005. 一种新型的中尺度暴雨集合预报初值扰动方法研究[J]. 大气科学, 29(5): 717-726. DOI:10.3878/j.issn.1006-9895.2005.05.05 |
董全, 代刊, 陶亦为, 等. 2017. 基于ECMWF集合预报的极端天气预报产品应用和检验[J]. 气象, 43(9): 1095-1109. |
黄琰, 封国林, 董文杰. 2011. 近50年中国气温、降水极值分区的时空变化特征[J]. 气象学报, 69(1): 125-136. DOI:10.3969/j.issn.1004-4965.2011.01.015 |
姜德娟, 李志, 王昆. 2011. 1961-2008年山东省极端降水事件的变化趋势分析[J]. 地理科学, 31(9): 1118-1123. |
季晓东, 漆梁波. 2018. ECMWF模式降水预报与极端天气预报指数在暴雨预报中的评估与应用[J]. 暴雨灾害, 37(6): 566-573. DOI:10.3969/j.issn.1004-9045.2018.06.010 |
刘琳, 陈静, 程龙, 等. 2013. 基于集合预报的中国极端强降水预报方法研究[J]. 气象学报, 71(5): 854-866. |
龙柯吉, 陈朝平, 郭旭, 等. 2016. 基于ECMWF极端降水天气指数的四川盆地暴雨研究[J]. 高原山地气象研究, 36(2): 30-35. |
庞玥, 王欢, 夏蘩, 等. 2019. ECMWF集合预报统计量产品在重庆降水预报中的检验与分析[J]. 沙漠与绿洲气象, 13(3): 1-7. |
任玉玉, 任国玉. 2010. 1960-2008年江西省极端降水变化趋势[J]. 气候与环境研究, 15(4): 462-469. DOI:10.3878/j.issn.1006-9585.2010.04.14 |
苏志重, 石顺吉, 张伟, 等. 2016. 1960-2010年福建省极端降水事件变化趋势分析[J]. 暴雨灾害, 35(2): 166-172. DOI:10.3969/j.issn.1004-9045.2016.02.009 |
陶亦为, 代刊, 董全. 2017. 2016年1月寒潮天气过程极端性分析及集合预报检验[J]. 气象, 43(10): 1176-1185. DOI:10.7519/j.issn.10000526.2017.10.002 |
武英娇, 杨浩, 钱仙桃, 等. 2019. ECMWF集合预报在安徽大别山区降水预报中的检验[J]. 暴雨灾害, 38(1): 66-71. |
翟盘茂, 潘晓华. 2003. 中国北方近50年温度和降水极端事件变化[J]. 地理学报, 58(7s): 1-10. DOI:10.11821/xb20037s001 |
翟盘茂, 王萃萃, 李威. 2007. 极端降水事件变化的观测研究[J]. 气候变化研究进展, 3(3): 144-148. DOI:10.3969/j.issn.1673-1719.2007.03.004 |
周迪, 陈静, 陈朝平, 等. 2015. 暴雨集合预报-观测概率匹配订正法在四川盆地的应用研究[J]. 暴雨灾害, 34(2): 97-104. DOI:10.3969/j.issn.1004-9045.2015.02.001 |
朱鹏飞, 邱学兴, 王东勇, 等. 2015. ECMWF降水极端天气指数在安徽省的应用评估[J]. 暴雨灾害, 34(3): 316-323. |
Dong Quan, Chen Xing, Chen Tiexi. 2011. Characteristics and changes of extreme precipitation in the Yellow-Huaihe and Yangtze-Huaihe Rivers basins, China[J]. J Climate, 24(14): 3781-3795. DOI:10.1175/2010JCLI3653.1 |
Lalaurette F. 2003. Early detection of abnormal weather conditions using a probabilistic extreme forecast index[J]. Meteorol Soc, 129(594): 3037-3057. DOI:10.1256/qj.02.152 |
Richardson D S, Bidlot J, Ferranti L, et al. 2011. Verification statistics and evaluations of ECMWF forecasts in 2010-2011[R]. ECMWF Newsletter No.654.England: ECMWF
|
Mason S J, Graham N E. 2002. Areas beneath the relative operating characteristics (ROC) and relative operating level (ROL) curves; Statistical significance and interpretation[J]. Quart J Roy Meteor Soc, 128(584): 2145-2166. DOI:10.1256/003590002320603584 |
Zsótér E. 2006. Recent developments in extreme weather forecasting[R]. ECMWF Newsletter No.107. Reading United Kingdom: ECMWF: 8-17
|
2021, Vol. 40 
