海面是自然界中最为常见和复杂的背景之一.海面的可见光散射与红外辐射特性,受海表面风场、空气温度、海水温度以及天空、云层、太阳等红外辐射的影响,同时也与传感器的观测角度有密切关系.当观测天顶角很大时,传感器视场中同时出现海面和天空背景,即海天背景.
1954年美国科学家Cox和Munk根据卫星拍摄的8~12 μm波段的海面红外图像,首次建立了计算海面红外辐射通量的理论模型[1].Saunders在Cox和Munk的经验模型的基础上,考虑了遮蔽对辐射特性的影响[2].Torrance和Sparrow则研究了粗糙面的双站反射,建立了海面的双站反射模型[3].Schwenger和Repasi引入大气辐射传输模型计算相关辐射量和透过率,并对比了仿真和实测结果,模型具有相当的逼真度[4].尽管Cox和Munk的经验模型具有数学上的严谨性,但因它已预先假定海面起伏为高斯分布或指数分布,这在几何层面与海谱生成的海面存在冲突,表现为在短波红外(SWIR)和中波红外(MWIR)谱段,仿真结果图呈现高斯分布[5].而且,该模型并未考虑传感器位置对观测的影响.
国内对海面红外仿真也展开了多方面的研究.Ren等人建立了海面波浪的发射率、反射率及遮蔽模型[6];杨尧等人建立了海面温度模型,并与实际测量结果进行了比对[7];石坤等人利用GPU提升了MWIR和LWIR(长波红外)谱段海面背景的渲染速度[8];Zhang等人仿真了海面及目标的热辐射图像[9].
本文从场景的几何关系出发,在前人工作的基础上建立了海天背景仿真模型:引入几何光学理论计算海面的反射光谱辐射,使得模型能够仿真海天背景随观测太阳方位与观测角度的变化;集成大气辐射传输模型计算路径辐射和透过率,用极限路径辐射处理天光辐射问题.
1 海天背景红外辐射方程
传感器接收的总辐射Lt可表示为

太阳辐射的入射方向由太阳所在方位决定.太阳方位的计算已比较成熟,算法本身并不复杂且精度差异不大,但是涉及到许多天文概念.本文采用文献[5]中的计算方法.
天光源于大气对太阳辐射的散射(主要发生在SWIR谱段)以及对太阳辐射吸收后的再辐射(主要发生在LWIR谱段).由散射和热辐射两部分组成,其中LWIR分量基本被海水吸收,SWIR分量与气象条件和入射方向有关.由于散射进入前向锥角的能量等价于直接透过[10],因此假定式(1)中的Lsky代表弥散部分的散射能量,不具有强烈的方向性;Lsun代表具有特定传播方向的透过能量. 2 海面反射计算模型 2.1 海面反射系数
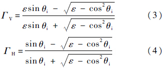
二维线性海面可由海谱快速傅里叶变换(FFT,Fast Fourier Transform)算法生成.海面的菲涅尔(Fresnel)反射系数可以表示为水平偏振反射系数和垂直偏振反射系数的简单平均[11]:


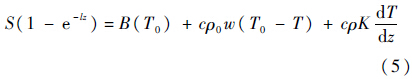
海水温度可以通过求解热平衡方程得到[9].水深z处的热平衡方程为

式(5)的求解基于以下客观事实:水温随深度的变化分为3个明显的部分——表面区域温度保持恒定,称之为同温层;同温层继续下潜,温度均匀变化,出现明显的对流区域,称之为对流层;随着深度进一步增加,水温趋于恒定,称之为深海区域.假定深海温度已知且不出现剧烈变化.
2.3 随观测方向变化的海面反射率
对于已经获得海面的高度分布和面元法线(场景几何模型已知)的情形,Cox和Munk的经验模型并不适用.假定每个小面元的双站反射率函数可分为镜面部分和弥散部分.根据几何光学理论,在某些观测角度下,传感器视场中将出现太阳耀斑.反射模型如图 1所示.
![]() |
| L—太阳辐射及天光的入射向量;Z—竖直方向向量;N—小面元法向量;V—传感器观测方向向量;R—镜面反射方向向量;θ—小面元法线与传感器视线的夹角. 图 1 小面元反射模型Fig. 1 Reflection model of facets |
传感器接收到的镜面反射部分为


海面光谱辐射可由海面温度和黑体辐射方程计算.具有方向性的海面发射率的经验公式由Wilson给出[13]:

将式(6)~式(8)代入式(1),所得方程可以求解每一小面元向传感器方向反射和发射的辐射强度.
应该指出,上述计算过程并未采用Cox和Munk对小面元斜率分布函数的假设.
2.4 遮蔽效应
式(1)中的遮蔽函数Sh可以采用经验公式计算.小面元一方面遮蔽入射辐射产生阴影,另一方面遮蔽传感器视线产生遮挡.
海面自身辐射仅有遮挡影响,可表示为[2]





3 透过率和路径辐射计算模型
本文采用大气辐射传输模型BHU-ARTM[15]计算大气透过率、路径辐射、到达海面的太阳辐射及天光辐射.BHU-ARTM模型是对SBDART模型的改进,其光谱分辨率为1 nm.
根据文献[10]中的论述,水平观测时的背景辐射即为极限路径辐射;路径辐射可由极限路径辐射Lps和透过率τ表示:

极限路径辐射由散射和热辐射两部分组成.热辐射部分取决于大气温度,与太阳的入射方向无关,可由大天顶角情况下的BHU-ARTM计算得到,记为Lhorizon;散射辐射中的前向散射部分等效于直接透过,弥散散射部分为大气顶层光谱辐射Ltop与底层光谱辐射Lbottom的差值.根据第2节中的假设,极限路径辐射可表示为

当传感器的高度角很小(天顶角很大)时,天空背景将出现在光学传感器的视场中.图 2示出了传感器视场中存在天空背景时的几何关系图.假定地球为半径为R的球体.图中PO,P1O分别为垂直向下观测和视场中存在天空背景时的观测视线,长度为定值H;α为传感器垂直向视角大小,假定不存在下视角,垂直视场关于观测方向对称;β=∠POP1为传感器的观测天顶角;A,B为传感器垂直视场与海面的交点;Q为地心.P1Q与地面的交点为C,弦CO对应的圆心角为φ.
![]() |
| 图 2 海天背景几何关系图Fig. 2 Geometrical relationship of sea-sky background |
令∠BP1O=μ,根据基本的几何关系有

求解式(17)可得视场中天空背景所占比例.对于给定的传感器垂直视场大小和垂直像素点数目,利用图 2几何关系可以计算出每一行像素的路径长度.路径长度的差异将导致透过率和路径辐射沿传感器垂直视场变化.
模型能够仿真多个谱段、不同观测条件下的海天背景辐射特性图像.对于可见光谱段,选取场景中存在太阳耀斑与不存在太阳耀斑的两组输入参数生成仿真结果.设定传感器视场为焦距50 mm的相机,可见光谱段的主要仿真参数如表 1所示.根据式(5)解得有耀斑时的海面温度为285.6 K,无耀斑时的海面温度为294.3 K.定义正北方向的方位角为0°,逆时针方向为正.
| 输入参数 | 取值 |
| 有耀斑 | 2013-08-13 北京时间6:30 | 仿真时间 |
| 无耀斑 | 2013-08-13 北京时间11:30
|
| 纬度 | 25°N |
| 经度 | 12.0°E |
| 大气廓线 | 中纬度夏季 |
| 传感器的观测天顶角/(°) | 83 |
| 传感器的观测方位角/(°) | 101 |
| 垂直视场/(°) | 26 |
| 水平视场/(°) | 39 |
| 光谱区间/μm | 0.4~0.76 |
| 光谱积分步长/μm | 0.01 |
| 海面风速/(m/s) | 2.6 |
| 海面风向/(°) | 25 |
| 气象视程/km | 21.0 |
| 海面的空气温度/K | 293.96 |
图 3为可见光谱段海天背景反射与辐射特性仿真对比图.当某些小面元的太阳辐射入射方向与传感器观测方向趋近于镜面反射时,场景中能够观测到太阳耀斑(图 3a).此时传感器面向太阳,散射路径辐射较强,天空背景明亮.随着时间的推移,镜面反射方向与传感器观测方向的夹角增大,传感器视场中的镜面分量及散射路径辐射减弱,同一观测位置不能再观测到太阳耀斑,并且天空背景变暗(图 3b).
![]() |
| 图 3 可见光谱段海天仿真对比图Fig. 3 Simulated comparison images of visible band |
对于MWIR谱段及LWIR谱段,选取文献[4]中的观测条件及传感器参数生成仿真结果,并与其中的实测结果进行比对.主要参数由表 2给出.
图 4为海天背景LWIR谱段反射与辐射特性仿真对比图.图 4a为本文的仿真结果,图 4b为文献[4]中的实测图像.由于海面温度高于空气温度,近距离处的海面辐射强于路径辐射.随着传感器观测路径长度的增加,大气的透过率降低、发射率升高,图像中的海面在较远处变得暗淡.在海天交界处,路径辐射到达极大值,图像中出现海天线.图 4c与图 4d分别为仿真图像(图 4a)与实测图像(图 4b)的背景辐射垂直向廓线.
![]() |
| 图 4 LWIR谱段海天仿真对比图Fig. 4 Simulated comparison images of LWIR |
图 5为海面背景MWIR谱段反射与辐射特性仿真对比图.图 4与图 5的观测时间及气象条件均相同.由于图 5中的传感器观测天顶角及垂直视场均较图 4传感器小,故图 5中仅存在海面背景.图 5a为本文的仿真结果,图 5b为文献[4]中的实测图像.图 5c与图 5d分别为仿真图像(图 5a)与实测图像(图 5b)的背景辐射垂直向廓线.
![]() |
| 图 5 MWIR谱段海面仿真对比图Fig. 5 Simulated comparison images of MWIR |
图 4与图 5的背景辐射廓线在近距离处存在明显的起伏,对应图像中海面的斑纹;随着观测路径长度增加,海面辐射的减小速率与路径辐射的增加速率相当,背景辐射廓线存在一段平缓区域,因此图像在远处变得均匀;在海天相接的位置,海面辐射迅速减小,路径辐射快速增加,背景辐射廓线出现快速上升区域,对应图像中的海天相接区域.此外,仿真图像的辐射垂直廓线图的浮动范围大于实测数据辐射垂直廓线,这可能是由于仿真中未加入传感器的响应函数及相关偏置量.
5 结 论
1) 本文建立了适用于可见光至长波红外谱段海天或海面背景图像仿真模型.
2) 与实测图像的比对表明,仿真所得辐射廓线的波动较实测辐射廓线剧烈,但是二者的变化趋势较为一致,且辐射强度相当.
3) 仿真结果符合物理原理,仿真模型具有一定的参考价值.
| [1] | Cox C,Munk M.Statistics of the sea surface derived from sun glitter[J].Journal of Marine Research,1954,13(2):198-227 |
| [2] | Saunders P M.Radiance of sea and sky in the infrared window 800-1 200 cm-1[J].J Opt Soc Am,1968,58(5):645-652 |
| Click to display the text | |
| [3] | Torrance K E,Sparrow E M.Theory for off-specular reflection from roughened surfaces[J].J Opt Soc Am,1981,15(3):307-316 |
| Click to display the text | |
| [4] | Schwenger F,Repasi E.Sea surface simulation in the infrared modeling and validation[C]//Proc of SPIE on Targets and Backgrounds XII:Characterization and Representation.Bellingham,WA:SPIE,2006,62390J:1-14 |
| Click to display the text | |
| [5] | 赵颖君.海天背景红外辐射特性建模研究[D].北京:北京航空航天大学,2008 Zhao Yingjun.Infrared radiation modeling for sea and sky background[D].Beijing:Beijing University of Aeronautics and Astronautics,2008(in Chinese) |
| Cited By in Cnki (3) | |
| [6] | Ren H G,Xin Q,Chen H P,et al.Modeling the infrared radiance of rough sea surface in the infrared windows:3-5 μm and 8-12 μm[J].Optik,2006,117(10):492-498 |
| Click to display the text | |
| [7] | 杨尧,吴振森,姚连兴.从红外辐照热平衡方程求解海面温度[J].红外与毫米波学报,2003,22(5):357-360 Yang Yao,Wu Zhensen,Yao Lianxing.Solving the sea surface temperature from the infrared radiation heat balance equation[J].Journal of Infrared and Millimeter Waves,2003,22(5):357-360(in Chinese) |
| Cited By in Cnki (9) | |
| [8] | 石坤,郝颖明,王明明,等.海面背景红外实时仿真[J].红外与激光工程,2012,41(1):25-29 Shi Kun,Hao Yingming,Wang Mingming,et al.Real-time simulation method of infrared sea background[J].Infrared and Laser Engineering,2012,41(1):25-29(in Chinese) |
| Cited By in Cnki (3) | |
| [9] | Zhang Z J,Wang C S,Song Y.Real-time infrared imaging simulation in sea background based on field tests[C]//Proc of SPIE on Optical Instruments and Technology:Optoelectronic Imaging and Processing Technology.Bellingham,WA:SPIE,2011,820004:1-15 |
| Click to display the text | |
| [10] | Brien S G O,Shirkey R C.Determination of atmospheric path radiance:sky-to-ground ratio for wargamers[R].ARL-TR-3285,2004 |
| Click to display the text | |
| [11] | Jiang Z Y,Wang X,Ling Y.Infrared simulation of ocean scene utilizing PC graphics hardware[C]//Education Technology and Training and International Workshop on Geoscience and Remote Sensing.Piscataway,NJ:IEEE Computer Society,2008,2:468-471 |
| Click to display the text | |
| [12] | 许小剑,黄培康.雷达系统及其信息处理[M].北京:电子工业出版社,2009:36 Xu Xiaojian,Huang Peikang.Radar system and its information processing[M].Beijing:Publishing House of Electronics Industry,2009:36(in Chinese) |
| [13] | Wilson D.A method of computing ship contrast temperature[R].AD-A078794,1979 |
| [14] | Sun Y L.Self shadowing and local illumination of randomly rough surfaces[C]//Proc of IEEE Computer Society Conference on Computer Vision and Pattern Recognition.Piscataway,NJ:IEEE Computer Society,2004,1:158-165 |
| Click to display the text | |
| [15] | Chen W S,Xu X J.Spectral resolution enhancement for SBDART[C]//1st International Congress on Image and Signal Processing.Piscataway,NJ:IEEE Computer Society,2008,5:523-527 |
| Click to display the text |







