The article information
- Wei Ren
- Nanodots of multiferroic oxide material BiFeO3 from the first principles
- Advances in Manufacturing, 2013, 1(2): 166-175
- http://dx.doi.org/10.1007/s40436-014-0076-z
-
Article history
- Received: 2013-04-20
- Accepted: 2013-03-08
- Published online: 2013-06-01
2. Physics Department and Institute for Nanoscience and Engineering, University of Arkansas, Fayetteville, AR 72701, USA
It tends to become a principle that experiment or theory alone is insufficient to solve the emerging complex science and engineering problemsinmodern days.Whenever possible the experimental studies should be paired with computational efforts to create an integrated experimental and theoretical approach. Material genome concept pursues computational research broadly aimed at predicting new and improving existing materials that can accelerate engineering applications at a fraction of the cost. In other words, we are interested in developing a biological-like approach to inorganic systems and constructing inorganic genes which can guide the development of new materials with targeted properties. This approach indeed shares some same spirits of the inverse materials design methodology, which integrates and combines (i) theory, or prediction, (ii) synthesis, or realization, and (iii) characterization, or validation. The target properties of interest may generally require desired electrical, magnetic, and optical nanostructures. The predictions of materials are examined iteratively by various synthetic approaches including high-throughput parallel materials science. Historically, lots of breakthroughs in physics have contributed to the development of many scientific disciplines such as biology, chemistry, materials science, and computer science. In this new century, we are witnessing some convergence toward a remarkable commonality and an increasingly strong interaction among various branches of science. Computational science is a very good example, and it is even starting to define computational scientists out of the traditional theorists and experimentalists.
In this review, we focus on the computational studies of one possible "ultimate memory device" made out of multiferroic BiFeO3 (BFO) nanodot materials. The memory bits smaller than 10 nm are expected to be able to store data as high as multi-terabits per inch squared (Tb/in2). This capacity gives three orders of magnitude improvement over currently available memory devices. As consequences, the devices will be smaller; the power consumption is less; and the speed can be even faster. To achieve this technology advance from microscale to nanoscale, first of all we need a deep understanding of the critical material properties. The atomistic scheme is introduced in this paper to study the dependences of nanodots made of the lead-free BFO multiferroic material on the electrical boundary conditions, size effect, and external field effects. The ground-state patterns of the electrical dipoles, oxygen octahedral tiltings and magnetic dipoles are found to be dramatically tuned by those controlling factors. A novel magnetoelectric (ME) effect based on the manipulation of ferroelectric vortex is predicted from the first-principles calculation. Some recent experimental progresses on the manufacturing and characterizing the relevant nanodots are provided. These remarkable works are of large fundamental importance, and may open the door for next-generation devices with unprecedented performances. The article is organized as follows: Section 2 presents an introduction to multiferroics; Section 3 describes the powerful computational method for predicting properties of low dimensional BFO systems; Section 4 reports the results from some systematical studies on BFO nanodots; Section 5 shows the latest experimental works of manufacturing BFO nanodots; and Section 6 concludes the article. 2 Multiferroics
A multiferroic phase combines two or more of the primary ferroic orderings in one single material, such as the ferroelectric, ferromagnetic, ferroelastics and ferrotoroidic [1]. A ferroic is a material that adopts a spontaneous, switchable internal alignment: in ferroelectrics, electric dipole-moment alignment can be switched by an electric field; in ferromagnetics, the alignment of electron spins can be switched by a magnetic field; in ferroelastics, strain alignment can be switched by a stress field; and in ferrotoroidics, toroidal alignment can be switched by a curled field. Individually, the ferroics are already of great interest both for their basic physics and for their technological applications. For instance, electrical polarization in ferroelectrics and magnetization in ferromagnets are exploited in data storage, with opposite orientations of the polarization or magnetization representing bistable "1" and "0" data bits. Combination of two or more primary ferroic orderings in the same phase is more interesting and versatile. For example, ferroelectric ferroelastics form the basis of piezoelectric transducers and ferromagnetic ferroelastics give rise to magnetostrictive materials, which have been widely applied in a number of research areas and industries.
Current convention, especially in the fields of electronics and spintronics, applies the term "multiferroic" primarily to materials that combine ferroelectricity with ferromagnetism or, more loosely, with any kind of magnetism. The terminology can also be extended to include composites, such as heterostructures of ferroelectrics interlayered with magnetic materials. Such multiferroics form a class of materials that can exhibit ferroelectricity and (anti-)ferromagnetism simultaneously. As a result, they are extremely promising for designing devices based on the control of magnetism by electric fields (or conversely, of electric properties by magnetic fields). Despite of this usefulness, multiferroic materials are actually very rare in nature, and even fewer of them have simultaneous responses to both applied magnetic and electric fields at room temperature. Nonetheless, there has been an increasing interest in the past years in the synthesis of multiferroic materials because of their scientific importance and widespread applications in electronics, sensing, catalysis, and nonlinear optics.
BiFeO3 (see Fig. 1) is the "holy grail" of all multiferroics up to now, because this single-phase perovskite oxide intrinsically shows large ferroelectricity below curie temperature 1, 100 K, and anti-ferromagnetism below Neel temperature 640 K. BFO materials are intensively studied because they possess both spontaneous polarization and magnetic orderings that are coupled to each other, at room temperature [2]. More precisely, because of slightly canting structure of the noncollinear Fe spins, there exist both a G-type antiferromagnetic (AFM) vector and a weak magnetization. It is accepted that the microscopic origin of such magnetic ordering arises from a "mysterious" coupling between magnetic dipoles and the tilting of the oxygen octahedra [3] (see Fig. 1), instead of a direct coupling between magnetic dipoles and electric polarization. BFO has also recently been found to exhibit many exciting effects such as in magnetic tunnel junctions, exchangement of bias heterostructure [4], conduction and functionality of domain walls [5, 6], and high voltage photovoltaic devices [7]. However, significant developments are still required to investigate how these magnetoelectric (ME) materials make a real contribution to potential applications. Therefore our first principles-based calculations at an atomistic level are important for the disruptive technology to eventually emerge.
![]() |
| Fig. 1 Schematic drawing of the crystal structure of perovskite BiFeO3 (space group No. 161: R3c). Bi atoms are displaced along [111] direction, Fe atoms adopt a G-type antiferromagnetic structure, and O octahedra tilt antiferrodistortively along [111] direction |
During the last decade, the bulk and thick-film forms of bismuth ferrite BFO have been extensively investigated [2, 8, 9, 10, 11, 12, 13, 14, 15, 16, 17, 18], while very little is currently understood about the properties of multiferroic nanodots. It is fundamentally and technologically important to know how their properties depend on the inherent characteristics of the nanoscale, for example, the electrical boundary conditions and dimensionality confinement. This knowledge may lead to novel phenomena and desired behaviors that are not achievable in the bulk, with atomic-scale insights into the mechanisms behind. Reasons for the lack of knowledge about properties of low-dimensional ferroelectrics are the difficulty in growing them at the nanoscale and in characterizing their properties, as well as, the scarcity of computational and theoretical work devoted to the study of these complex nanostructures. This latter limiting factor is the formidable challenge in accurately mimicking such low dimensional systems, because they not only exhibit electric and magnetic degrees-of-freedom, but also possess oxygen octahedral tiltings that are strongly coupled with each other and that may evolve when changing dimensionality. It is one of the purposes of this paper to clarify their underlying coupling mechanism and lay a theoretical foundation for possible applications. In particular, the electrically tunable properties hold great promise for the new advances in spintronics research. Controllable experimental synthesis of novel electric and magnetic nanostructures can be guided and tailored based on our presented computational results in the following. 3 Methods
Over the last decade, we have developed and used an atomistic effective Hamiltonian scheme to mimic properties of various multiferroic materials including BFO bulk, films and nanodots. The total internal energy is given as

The analytical expression of EFE-AFD is given in the previous work [20], except for the dipole-dipole interactions which presently correspond to open circuit (OC) electric boundary condition and to the zero-dimensional case [21]. The second energetic term of Eq. (1), EMAG-ANI, involves the magnetic interactions and their couplings with electric dipoles, tiltings of oxygen octahedral, and strain. Its analytical expression is provided in Ref. [8]. The last energetic term of Eq. (1) represents the depolarizing energy. It contains the maximum depolarizing field (which is self-consistently calculated as in Ref. [21]), the Born effective charge associated with the local soft-mode, Z*, and a screening parameter β that controls the magnitude of the residual depolarizing field. More precisely, β = 0 corresponds to ideal OC electrical boundary conditions, β = 1 corresponds to ideal short-circuit (SC) electrical boundary conditions (no residual depolarizing field); and a value of β in-between corresponds to intermediate cases for which a non-zero and non-maximum residual depolarizing field exists. All the parameters of Eq. (1) are determined from first-principle calculations on small cells [19]. The total energy of Eq. (1) is used in Monte Carlo (MC) simulations with up to 3, 000, 000 MC sweeps to get converged results. Here, we investigate stress-free systems, implying that the strain-tensor is allowed to fully relax during the simulations. The studied low-dimensional compounds are mimicked by l × m × n supercells (with l, m, and n being all integers, and whose products by ~4 Å provide the length of the super-cell along the [100], [010] and [001] directions, respectively).
Our primary approach also involves the application of density functional theory (DFT) methods to study the multiferroic material at a quantum mechanical level. Many atomistic DFT simulation software packages, like VASP, PWSCF, SIESTA and ABINIT, are able to study the advanced electronic structure, to compute crystalline or cluster properties with the goal of understanding basic mechanisms in materials science. Although DFT is a robust and accurate technique, it is limited to relatively small sized systems. Therefore, our effective Hamiltonian modeling methods are more proper to predict the larger-scale properties of materials from atomic scale results. The effective Hamiltonian techniques provide an unprecedented view on the finite-temperature dynamics of multiferroics and to unravel the mechanisms of the ME coupling. One of the most important aspects of this approach is the ability to directly compare theory with experimental data [15, 22, 23]. Molecular dynamics (MD) method can also be implemented with the same effective Hamiltonian to extend boundaries of DFT for describing more complex excitation phenomena in time domain [24]. Another important approach of computationally investigating functional materials is the phase field simulation (PFS) based on phenomenological theories. With appropriately defining the order parameters and taking into account effects of electro-magnetro-mechanic fields, ambient temperature, and surface effects, PFS is also suitable to study multiferroic materials. Nevertheless, although PFS has been demonstrated its vitality in lots of ferroelectric materials [25, 26, 27, 28, 29], the development of PFS for multiferroic materials is still at the very beginning stage. To my best knowledge, a complete thermodynamic potential which incorporates both ferromagnetic order and ferroelectric order has not yet been reported for any single phase multiferroics. It should be noted that phenomenological theories that describe well the bulk behavior sometimes fail when extended to nanoscale systems. The applicability of continuum theories to systems with physical quantities varying over interatomic distance needs further justification. 4 Nanodots from first principles
At first, a 16 × 16 × 16 stress-free BFO nanodot is investigated, whose lateral size is around 6.4 nm. Figure 2 shows the temperature evolution of the electric, AFD and magnetic order parameters for ideal SC conditions. Figure 2a shows the Cartesian components of the local mode which is proportional to the electric polarization. Figure 2b displays the Cartesian components of the antiferrodistortive vector, ωi. Figure 2c, d represent the magnitude of the AFM and ferromagnetic vectors, respectively.
![]() |
| Fig. 2 Temperature dependence of the order parameters in a BFO nanodot of 6.4 nm in lateral size and under ideal short-circuit electrical boundary conditions |
The x, y, and z axes are chosen along the pseudo-cubic [100], [010], and [001] directions, respectively [30]. Moreover, Fig. 3d-f display schematically the electric, AFD and magnetic configurations of the resulting ground states at low temperature. For β = 0 (see Fig. 3a-c) and β = 1 (see Fig. 3d-f), a BFO nanodot has a lateral size of 2.4 nm. These degrees-of-freedom are only shown in a given (110) plane for the sake of clarity [31]. This stress-free BFO dot, when under ideal SC conditions, exhibits properties that bear resemblance with those of the corresponding bulk, in the sense that (i) there is a critical Curie temperature TC around 1, 130 K [32], below which electric dipoles homogeneously lie along the [111] pseudo-cubic direction and below which any two neighboring oxygen octahedra tilt in antiphase about [111]; (ii) the dot also possesses another critical Neel temperature TN around 685 K, below which the zero-dimensional system acquires aG-type antiferromagnetism combined with a weak spin-canting-induced ferromagnetic vector, with the AFM vector lying near a [111] plane and with the FM vector being nearly perpendicular to both the AFD and AFM vectors; and (iii) above TC, the phase is purely antiferrodistortive (as consistent with the experimental findings of Refs. [33, 34]) until a third critical temperature, TAFD, at which the system becomes paraelectric cubic. However, some significant differences also exist between the properties of this dot under SC conditions and those of the bulk. For instance, the purely AFD phase existing above TC occurs in a much narrower temperature range in the dot than in the bulk: the difference between TAFD and TC is on the order of 200 K in the 6.4 nm dot versus 350 K in the bulk [33, 34]. In other words, size effects tend to suppress this high-temperature phase that solely exhibits tilting of oxygen octahedra. In fact, this purely AFD phase is numerically found to completely vanish in n × n × n nanoparticles with n smaller than ten, leading to a direct transition from the paraelectric cubic state to the rhombohedral ground-state phase for dots having a lateral size smaller than 4 nm.
![]() |
| Fig. 3 Snapshots of Monte Carlo simulations, at 20 K, for the local modes a, d, AFD b, e, and magnetic vectors c, f |
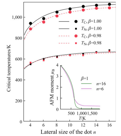
Then the size dependence of the TC and TN critical temperatures of the n × n × n BFO dots for ideal SC conditions is researched, as well as, for β = 0.98 that represents a point in the SC-like regime having a nonvanishing depolarizing field. From Fig. 4, it can be seen that the filled symbols correspond to ideal SC conditions while the red-filled symbols show data for nanodots with β = 0.98, and the lines represent fittings by A-B/n scaling laws. The inset displays the temperature evolution of the magnitude of the AFM vector when β = 1 for the 6 × 6 × 6 and 16 × 16 × 16 dots. It shows that the magnetic transition becomes more diffuse as the size of the dot decreases, and same conclusion is also found for BFO dots with β = 0.98. The uncertainty of the predicted critical temperatures is estimated to be 10 K. For each dot, the Neel temperature is identified as the inflection point of the AFM-temperature curve while TC is identified by the jumps of the local modes as shown in Fig. 2 [30]. Figure 4 indicates that, for n larger than 4, these transition temperatures decrease as the dot’s size decreases, which is in agreement with the corresponding decrease of the Neel temperature and of the electrical polarization observed in Ref. [35] for BFO nanoparticles. The inset of Fig. 4 confirms another experimental finding of Ref. [35], namely, that the magnetic transition becomes more diffuse as the dot shrinks in size. These predictions further demonstrate the accuracy of our numerical tool. Moreover, Fig. 4 reveals that the predicted critical temperatures follow rather
well an A-B/n
relation, where A and B are both positive constants for a given transition. Such relation is consistent with experimental and theoretical findings that the Curie temperature of ferroelectric nanowires obeys a 1/d scaling law, where β is the wire’s diameter [36]. For the dot under ideal SC electrical boundary conditions β = 1, TN decreases slightly with n in agreement with the observations of Ref. [35] while TC has a more pronounced variation with the dot’s size (the B parameter of the scaling law of the ferroelectric transition is around 70 % larger than that of the magnetic transition). The coupling between magnetism and polarization is thus rather weak in BFO dots under SC conditions which is similar to the case of the corresponding bulk. A ME coupling being weak can also be guessed by comparing the data for β = 1 and β = 0.98. As a matter of fact, the Curie temperature is considerably small for β = 0.98 reflecting the fact that the depolarizing field in the SC-like regime desires to annihilate the polarization while the Neel temperature is merely unaffected by such change in electrical boundary conditions. Interestingly, the much more pronounced sensitivity of TC than TN with size and electrical boundary conditions can be used as a route to bring these two critical temperatures closer to each other. For instance, for n = 4 and β = 0.98, the difference between TC and TN is around 320 K, that is around 24 % smaller than the bulk value of 420 K. Therefore tuning the size and electrical boundary conditions of the nanodot in the SClike regimes can lead to a tailoring of some BFO’s properties, such as an enhancement of piezoelectric and dielectric responses, as well as the ME coefficients, just below the Neel temperature. For instance, the magnitude of the quadratic ME coefficients [8] is increased by around 30 % (respectively, 20 %) at 500 K (respectively, 300 K) in the n = 6 dot (when β = 0.98) with respect to the corresponding values in the bulk.
![]() |
| Fig. 4 Size dependence of critical temperatures in n × n × n BFO nanodots whose lateral sizes are about 4n in Angstrom |
Figure 3a-c reveal that the properties of the dot under OC conditions are dramatically different from those of the dot under ideal SC conditions. For example, its ground-state structure at low temperature is very special, since it consists of a vortex formed by electric dipoles rotating in the (110) plane coexisting with a four-domain state for the AFD motions (with two of these domains having a chirality similar to that of the electric vortex while the other two domains have an opposite chirality). The electric dipoles and AFD xi vectors collectively align along one of these following four possible directions within this complex structure: [-11 -1], [-111], [1 -1 -1] and [1 -11]. This is in great contrast to the dot under ideal SC conditions, which exhibits properties that simply bear resemblance with those of the corresponding bulk: below Curie temperature electric dipoles homogeneously lie along the [111] pseudocubic direction (resulting in a polarization oriented along [111] and a vanishing electric toroidal moment), and any two neighboring oxygen octahedra tilt in opposite direction about [111] (generating a vector lying along [-1 -1 -1]).
The electric vortex originates from the necessity to eliminate any depolarizing field [37], and leads to the annihilation of the polarization in favor of an electric toroidal moment that is oriented along [110]. Despite the large similarity to the magnetic vortex, there is no out-of-plane component by short-range exchange interaction favoring parallel alignment of neighboring magnetic moments at our nanodot’s center [38]. Correspondingly, we have only two chirality states in BFO nanodots rather than four states in magnetic dots due to two additional polarity states superimposed. In addition, our ferroelectric vortex has an even smaller core region (lattice-constant scale versus 4-5 nm for magnetic vortex). The peculiar AFD pattern described in Fig. 3b is caused by the local coupling between electric dipoles and tilting of oxygen octahedra, and generates a nonvanishing average ω = (-1)nx(i) + ny(i) + nz(i)ωi (nx, ny, and nz are integer indices of site i) that is oriented along [-110] (i.e., perpendicular to the axis about which the electric vortex rotates). It is interesting that an electric vortex has been recently observed in a low-dimensional BFO and other ferroelectric systems [39, 40], while determination of the chiralAFDconfiguration [41] depicted in Fig. 2b is yet to be measured in laboratory. It was also found that the electric vortex and this exotic AFD pattern form at the same critical temperature denoted as TV around 725 K in the 4.8 nm dot under OC conditions. When temperatures are above TV and up to 1, 200 Kfor this dot, the phase is predicted to be a purely AFD state that does not possess any chiral organization (unlike the vortex configuration shown in Fig. 3b). The magnitude of the oxygen octahedral tilting decreases as the temperature is further increased, until completely vanishing at a critical temperature, TAFD, when the system becomes paraelectric cubic.
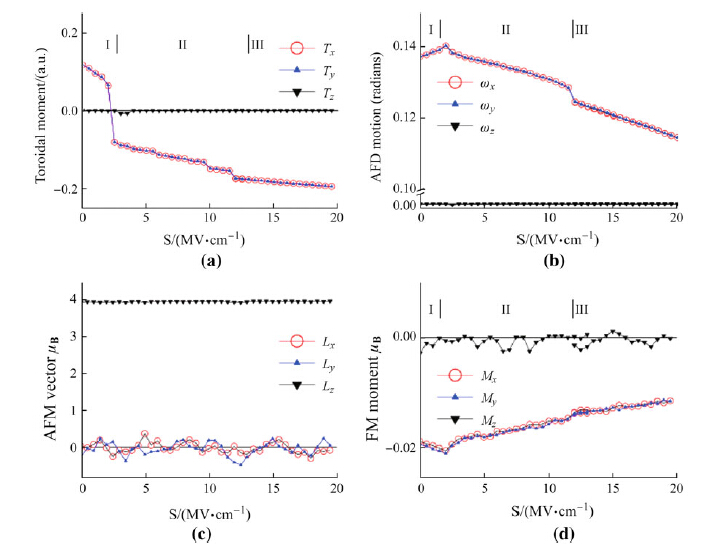
The order parameters associated with the complex structures displayed in Fig. 3 are determined. The quantity characterizing dipolar vortices is known to be the toroidal moment [37] with



Figure 5 shows the corresponding evolution of the patterns for the electric dipoles and AFD motions. Only a single (110) plane is shown for clarity. Figure 5a, e correspond to zero field, while Fig. 5b, f show the results for an S vector of 2 MV/cm magnitude (region I). Figure 5c, g show the similar results but for a field magnitude of 4 MV·cm-1 (region II). Finally, Fig. 5d, h report the predictions for a field magnitude of 12 MV/cm (region III). The electric antivortex is highlighted in Fig. 5c [42]. As the curled field gradually increasing in region I (see Fig. 6), small subvortex nucleation occurs at the four corner positions of the nanodot (see Fig. 5b). These cornered structures generate opposite toroidal moments compared with the centered vortex for zero field, thus reducing the total toroidal moment. In region II, the curled electric field generates a complex state (see Fig. 5c) that consists of two adjacent vortices whose chiralities are identical but opposite to the single initial vortex which is consistent with the 180° reversal of the toroidal moment displayed in Fig. 6a. As shown in Fig. 5c, this pair of vortices is separated by an antivortex in the dot center. It should be noted that the vortex-antivortex pair is a fundamental process that is well documented in nanoscale magnetization dynamics [43, 44, 45] while having just been recently experimentally discovered in ferroelectrics [39]. Moreover, we can recall that any vortex is associated with a winding number of +1, while the corresponding winding number of an antivortex is -1 [46]. As a result, the total winding number is equal to +1 in region II, exactly as for the single vortex state under no field. Finally, when the field magnitude further increases (region III), the resulting electric dipolar state is a single vortex state, as in the ground state but with an opposite chirality (compare Fig. 5d vs a). Figure 5f, g also reveal that the unusual electric dipolar patterns of regions I and II lead to novel and complex AFD organizations, because of the coupling between electric dipoles and tilts of oxygen octahedra. This computational work therefore not only confirms the hypothesis of Ref. [47] that a magnetotoroidic effect can indeed exist, but it also provides the microscopic origins of such an unusual effect [42]. Figure 6c, d further illustrates the different responses of AFM and FM moments under a curled field. It is discovered that by varying the direction of such fields can lead to a control of not only the magnitude but also the direction of the magnetization. Such control originates from the field-induced transformation or switching of electrical vortices and their couplings with oxygen octahedral tilts and magnetic dipoles [42].
![]() |
| Fig. 5 Snapshots of electric dipolar configurations a-d and (-1)nx(i) + ny(i) + nz(i)ωi, AFD patterns e-h in a BFO nanodot of 5 nm lateral size under a curled electric field oriented along [-1 -10] |
![]() |
| Fig. 6 Electrical toroidal moment a, AFD-related quantity x b, AFM vector c, and magnetization d as functions of the magnitude of the S vector applied along the [-1 -10] direction [42] |
Bismuth ferrite BFO is not a naturally occurring mineral, and several top-down and bottom-up synthesis routes to obtain the compound have been developed. Recently, the dip-pen nanolithography (DPN) based on scanning probe microscopy has enabled the production and handling of BFO nanodots at any desired position and size with nanometer- scale accuracy [48]. BFO nanodots were also fabricated by the etching process and focused ion-beam milling of the epitaxial BiFeO3 thin films [49]. The fabrication of multiferroic BFO nanodot pattern was already realized by the soft electron beam lithography technique from BFO liquid-phase precursor on diverse substrates [50]. As reported recently in Nature Materials [51], synthesized nanocrystals of GeTe and BaTiO3 with a single ferroelectric domain have also been made from colloidal methods, thus eliminating the effects of substrates that can confuse the already difficult analysis of nanocrystals deposited using other methods. The fabrication could be followed by high resolution transmission electron microscope (TEM) analysis to view the atomic displacement of cations and anions. It was demonstrated by using electron holography and piezoresponse force microscopy (PFM) that ferroelectric order at room temperature enabled stable ferroelectric switching down to dimensions of approximately 10 nm.
Fundamentally it can be further scaled down, thanks to the rapid development of nanofabrication technology, which might be incorporated into high-density memory devices. Moreover, by controlling the shape, sidewall orientation and crystallographic orientation of the nanodots, a variety of multiferroics can also be applied where the magnetic and electric orders are coupled in their own unique ways. 6 Conclusions
In summary, the first-principles-based calculations have been applied to investigate physical properties of BFO nanodots. It is found that structural, electric and magnetic properties generally depend on the electrical boundary conditions, on the reduced dimensionality of the BFO nanostructure, as well as on the external field. Such dependencies can be put in use to design devices with enhanced performance or original functionality in the areas of next generation high-density data storage, spintronic devices, and magnetic sensors. This review summarizes the critical path to exploit isolated nanodots for practical applications of BFO materials at the nanoscale.
Tremendous joint efforts in manufacturing and computing multiferroic materials have been demonstrated in the past decades. However, there are still many cases that we either have had a computational prediction but not yet realized experimentally, or we had some experimental data that are beyond the current computational capability to explain and understand [52, 53, 54, 55]. Working in concert, the ability to understand nanoscale multiferroics opens remarkable prospects for intriguing discoveries. It is hoped that the recent progress on the nanodot materials will stimulate many research communities to dream up entirely new device paradigms that exploit the novel and unique functionalities of multiferroics.
Acknowledgments This study is supported by the Eastern Scholar Program from the Shanghai Municipal Education Commission, the National Natural Science Foundation of China (Grant No. 11274222), the Shanghai Supercomputer Center, and the Shanghai Shuguang Program (Grant No. 12SG34).| 1. | Spaldin NA, Cheong SW, Ramesh R (2010) Multiferroics: past, present, and future. Phys Today 63:38-43 |
| 2. | Wang J, Neaton JB, Zheng H et al (2003) Epitaxial BiFeO3 multiferroic thin film heterostructures. Science 299:1719-1722 |
| 3. | Ederer C, Spaldin NA (2005) Weak ferromagnetism and magnetoelectric coupling in bismuth ferrite. Phys Rev B 71:060401 |
| 4. | Béa H, Gajek M, Bibes M et al (2008) Spintronics with multiferroics. J Phys Condens Matter 20:434221 |
| 5. | Seidel J, Martin LW, He Q et al (2009) Conduction at domain walls in oxide multiferroics. Nat Mater 8:229-234 |
| 6. | Ren W, Yang Y, Diéguez O et al (2013) Ferroelectric domains in multiferroic BiFeO3 films under epitaxial strains. Phys Rev Lett 110:187601 |
| 7. | Choi T, Lee S, Choi YJ et al (2009) Switchable ferroelectric diode and photovoltaic effect in BiFeO3. Science 324:63-66 |
| 8. | Albrecht D, Lisenkov S, Ren W et al (2010) Ferromagnetism in multiferroic BiFeO3 films: a first-principles-based study. Phys Rev B 81:140401 |
| 9. | Chen Z, Prosandeev S, Luo ZL et al (2011) Coexistence of ferroelectric triclinic phases in highly strained BiFeO3 films. Phys Rev B 84:094116 |
| 10. | Chen Z, Zou X, Ren W et al (2012) Study of strain effect on inplane polarization in epitaxial BiFeO3 thin films using planar electrodes. Phys Rev B 86:235125 |
| 11. | Yang Y, Stengel M, Ren W et al (2012) Epitaxial short-period PbTiO3/BiFeO3 superlattices studied by first-principles calculations. Phys Rev B 86:144114 |
| 12. | Chen W, Ren W, You L et al (2011) Domain structure and inplane switching in a highly strained Bi0.9Sm0.1FeO3 film. Appl Phys Lett 99:222904 |
| 13. | Daumont C, Ren W, Infante IC et al (2012) Strain dependence of polarization and piezoelectric response in epitaxial BiFeO3 thin films. J Phys Condens Matter 24:162202 |
| 14. | Yang Y, Ren W, Stengel M et al (2012) Revisiting properties of ferroelectric and multiferroic thin films under tensile strain from first principles. Phys Rev Lett 109:057602 |
| 15. | Rault JE, Ren W, Prosandeev S et al (2012) Thickness-dependent polarization of strained BiFeO3 films with constant tetragonality. Phys Rev Lett 109:267601 |
| 16. | Prosandeev S, Wang D, Ren W et al (2013) Novel nanoscale twinned phases in perovskite oxides. Adv Funct Mater 23: 234-240 |
| 17. | Barrett N, Rault JE, Wang JL et al (2013) Full field electron spectromicroscopy applied to ferroelectric materials. J Appl Phys 113:187217 |
| 18. | Sando D, Agbelele A, Daumont C et al (2013) Control of ferroelectricity and magnetism in multiferroic BiFeO3 by epitaxial strain. Phil Trans R Soc A (invited review) |
| 19. | Zhong W, Vanderbilt D, Rabe KM (1995) First-principles theory of ferroelectric phase transitions for perovskites: the case of BaTiO3. Phys Rev B 52:6301-6312 |
| 20. | Kornev IA, Bellaiche L, Janolin PE et al (2006) Phase diagram of Pb(Zr, Ti)O3 solid solutions from first principles. Phys Rev Lett 97:157601 |
| 21. | Ponomareva I, Naumov II, Kornev I et al (2005) Atomistic treatment of depolarizing energy and field in ferroelectric nanostructures. Phys Rev B 72:140102 |
| 22. | Infante IC, Juraszek J, Fusil S et al (2011) Multiferroic phase transition near room temperature in BiFeO3 films. Phys Rev Lett 107:237601 |
| 23. | Kiat JM, Bogicevic C, Karolak F et al (2010) Low-symmetry phases and loss of relaxation in nanosized lead scandium niobate. Phys Rev B 81:144122 |
| 24. | Wang D, Weerasinghe J, Bellaiche L (2012) Atomistic molecular dynamic simulations of multiferroics. Phys Rev Lett 109:067203 |
| 25. | Chen WJ, Zheng Y, Wang B et al (2013) Vortex domain structures of an epitaxial ferroelectric nanodot and its temperaturemisfit strain phase diagram. Phys Chem Chem Phys 15(19): 7277-7285 |
| 26. | Chen WJ, Zheng Y, Wang B (2012) Vortex domain structure in ferroelectric nanoplatelets and control of its transformation by mechanical load. Sci Rep 2:796 |
| 27. | Chen LQ (2008) Phase-field method of phase transitions/domain structures in ferroelectric thin films: a review. J Am Ceram Soc 91:1835-1844 |
| 28. | Slutsker J, Artemev A, Roytburd A (2008) Phase-field modeling of domain structure of confined nanoferroelectrics. Phys Rev Lett 100:087602 |
| 29. | Wu CM, Chen WJ, Ma DC et al (2012) Effects of the surface charge screening and temperature on the vortex domain patterns of ferroelectric nanodots. J Appl Phys 112:104108 |
| 30. | Ren W, Bellaiche L (2010) Size effects in multiferroic BiFeO3 nanodots: a first-principles-based study. Phys Rev B 82:113403 |
| 31. | Ren W, Bellaiche L, Lisenkov S (2010) Tackling complex phenomena in nanoscale multiferroics. In: High performance computing modernization program users group conference (HPCMPUGC), Schaumburg, IL, pp 259-262 |
| 32. | Kornev IA, Lisenkov S, Haumont R et al (2007) Finite-temperature properties of multiferroic BiFeO3. Phys Rev Lett 99:227602 |
| 33. | Arnold DC, Knight KS, Morrison FD et al (2009) Ferroelectricparaelectric transition in BiFeO3: crystal structure of the orthorhombic b phase. Phys Rev Lett 102:027602 |
| 34. | Haumont R, Kornev IA, Lisenkov S et al (2008) Phase stability and structural temperature dependence in powdered multiferroic BiFeO3. Phys Rev B 78:134108 |
| 35. | Selbach SM, Tybell T, Einarsrud MA et al (2007) Size-dependent properties of multiferroic BiFeO3 nanoparticles. Chem Mater 19: 6478-6484 |
| 36. | Spanier JE, Kolpak AM, Urban JJ et al (2006) Ferroelectric phase transition in individual single-crystalline BaTiO3 nanowires. Nano Lett 6:735-739 |
| 37. | Naumov II, Bellaiche L, Fu H (2004) Unusual phase transitions in ferroelectric nanodisks and nanorods. Nature 432:737-740 |
| 38. | Miltat J, Thiaville A (2002) Vortex cores-smaller than small. Science 298:555 |
| 39. | Balke N, Winchester B, Ren W et al (2012) Enhanced electric conductivity at ferroelectric vortex cores in BiFeO3. Nat Phys 8:81-88 |
| 40. | Rodriguez BJ, Gao XS, Liu LF et al (2009) Vortex polarization states in nanoscale ferroelectric arrays. Nano Lett 9:1127-1131 |
| 41. | Sichuga D, Ren W, Prosandeev S et al (2010) Chiral patterns of tilting of oxygen octahedra in zero-dimensional ferroelectrics and multiferroics: a first principle-based study. Phys Rev Lett 104: 207603 |
| 42. | Ren W, Bellaiche L (2011) Prediction of the magnetotoroidic effect from atomistic simulations. Phys Rev Lett 107:127202 |
| 43. | Van Waeyenberge B, Puzic A, Stoll H et al (2006) Magnetic vortex core reversal by excitation with short bursts of an alternating field. Nature 444:461-464 |
| 44. | Roy PE, Lee JH, Trypiniotis T et al (2009) Antivortex domain walls observed in permalloy rings via magnetic force microscopy. Phys Rev B 79:060407 |
| 45. | Li J, Rau C (2006) Three-dimensional, spin-resolved structure of magnetic vortex and antivortex states in patterned Co films using scanning Ion microscopy with polarization analysis. Phys Rev Lett 97:107201 |
| 46. | Mermin ND (1979) The topological theory of defects in ordered media. Rev Mod Phys 51:591-648 |
| 47. | Hans S (2008) Some symmetry aspects of ferroics and single phase multiferroics. J Phys Condens Matter 20:434201 |
| 48. | Jung I, Son JY (2012) Dip-pen lithography of BiFeO3 nanodots. J Am Ceram Soc 95:3716-3718 |
| 49. | Baek SH, Jang HW, Folkman CM et al (2010) Ferroelastic switching for nanoscale non-volatile magnetoelectric devices. Nat Mater 9:309-314 |
| 50. | Sun T, Pan Z, Dravid VP (2006) Nanopatterning of multiferroic BiFeO3 using "soft" electron beam lithography. Appl Phys Lett 89:163117/1-163117/3 |
| 51. | Polking MJ, Han MG, Yourdkhani A et al (2012) Ferroelectric order in individual nanometre-scale crystals. Nat Mater 11:700-709 |
| 52. | Lee JH, Jeong YK, Park JH et al (2011) Spin-canting-induced improper ferroelectricity and spontaneous magnetization reversal in SmFeO3. Phys Rev Lett 107:117201 |
| 53. | Yuan S, Ren W, Hong F et al (2013) Spin switching and magnetization reversal in single-crystal NdFeO3 Phys Rev B 87:184405 |
| 54. | Zhao HJ, Ren W, Yang Y et al (2013) Effect of chemical and hydrostatic pressures on structural and magnetic properties of rare-earth orthoferrites: a first-principles study (submitted) |
| 55. | Yang Y, Ren W, Wang D et al (2012) Understanding and revisiting properties of EuTiO3 bulk material and films from first principles. Phys Rev Lett 109:267602 |
2013, Vol. 1








